性少数群体急诊科护理指南的系统回顾:改善护理的可实施行动。

IF 2 3区 医学 Q2 EMERGENCY MEDICINE
Michael I Kruse, Sawyer Karabelas-Pittman, Grace Northrop, Joanna Stuart, Suneel Upadhye, Blair L Bigham
{"title":"性少数群体急诊科护理指南的系统回顾:改善护理的可实施行动。","authors":"Michael I Kruse, Sawyer Karabelas-Pittman, Grace Northrop, Joanna Stuart, Suneel Upadhye, Blair L Bigham","doi":"10.5811/westjem.20355","DOIUrl":null,"url":null,"abstract":"<p><strong>Introduction: </strong>Sexual minorities, including lesbian, gay, bisexual, asexual, pansexual, and others make up 4.0-5.4% of the North American population. Stigmatization and minority stress can lead to poorer health status in sexual minorities, and a previous scoping review showed gaps in the emergency medicine (EM) literature for care of sexual minorities. In this review we sought to examine existing guidelines for the care of sexual minorities that made recommendations relevant to care in the emergency department (ED).</p><p><strong>Methods: </strong>Using the PRISMA criteria, we performed a systematic search of OVID Medline, EMBASE, CINAHL, and the grey literature for clinical practice guidelines (CPG) and best practice statements (BPS) published until July 31, 2022. Articles were included if they were in English, included medical care of sexual minority populations of any age, in any setting, region, or nation, and were of national or international scope. Exclusion criteria included primary research studies, systematic or narrative reviews or otherwise non-CPG or BPS statements, editorials or letters to the editor, articles of regional or individual hospital scope, non-medical articles, or if a more recent version of the CPG or BPS existed. We identified, recorded, and assessed for quality all recommendations relevant to using the AGREE-II and AGREE-REX tools. Inter-rater reliability was assessed using the interclass correlation coefficient. We coded recommendations for the relevant point of care while in the ED (triage, registration, rooming, investigations, etc).</p><p><strong>Results: </strong>We excluded 2,413 of 2,534 unique articles. Only nine articles contributed 11 ED-relevant recommendations. Seven of the nine articles were found to be of moderate to high quality; 6 of 11 recommendations were identified as high quality and adaptable. They included recommendations for screening, testing, and care of HIV+ sexual minority populations, and general or trauma care for men who have sex with men and sexual minority populations in general.</p><p><strong>Conclusion: </strong>This is the most comprehensive review of guidance documents for care of sexual minority populations to date. It identifies 11 actionable recommendations for the ED and identifies opportunities for community-led development of comprehensive clinical practice guidelines for care of sexual minority populations in the ED.</p>","PeriodicalId":23682,"journal":{"name":"Western Journal of Emergency Medicine","volume":"26 3","pages":"431-440"},"PeriodicalIF":2.0000,"publicationDate":"2025-03-13","publicationTypes":"Journal Article","fieldsOfStudy":null,"isOpenAccess":false,"openAccessPdf":"https://www.ncbi.nlm.nih.gov/pmc/articles/PMC12208086/pdf/","citationCount":"0","resultStr":"{\"title\":\"A Systematic Review of Guidelines for Emergency Department Care of Sexual Minorities: Implementable Actions to Improve Care.\",\"authors\":\"Michael I Kruse, Sawyer Karabelas-Pittman, Grace Northrop, Joanna Stuart, Suneel Upadhye, Blair L Bigham\",\"doi\":\"10.5811/westjem.20355\",\"DOIUrl\":null,\"url\":null,\"abstract\":\"<p><strong>Introduction: </strong>Sexual minorities, including lesbian, gay, bisexual, asexual, pansexual, and others make up 4.0-5.4% of the North American population. Stigmatization and minority stress can lead to poorer health status in sexual minorities, and a previous scoping review showed gaps in the emergency medicine (EM) literature for care of sexual minorities. In this review we sought to examine existing guidelines for the care of sexual minorities that made recommendations relevant to care in the emergency department (ED).</p><p><strong>Methods: </strong>Using the PRISMA criteria, we performed a systematic search of OVID Medline, EMBASE, CINAHL, and the grey literature for clinical practice guidelines (CPG) and best practice statements (BPS) published until July 31, 2022. Articles were included if they were in English, included medical care of sexual minority populations of any age, in any setting, region, or nation, and were of national or international scope. Exclusion criteria included primary research studies, systematic or narrative reviews or otherwise non-CPG or BPS statements, editorials or letters to the editor, articles of regional or individual hospital scope, non-medical articles, or if a more recent version of the CPG or BPS existed. We identified, recorded, and assessed for quality all recommendations relevant to using the AGREE-II and AGREE-REX tools. Inter-rater reliability was assessed using the interclass correlation coefficient. We coded recommendations for the relevant point of care while in the ED (triage, registration, rooming, investigations, etc).</p><p><strong>Results: </strong>We excluded 2,413 of 2,534 unique articles. Only nine articles contributed 11 ED-relevant recommendations. Seven of the nine articles were found to be of moderate to high quality; 6 of 11 recommendations were identified as high quality and adaptable. They included recommendations for screening, testing, and care of HIV+ sexual minority populations, and general or trauma care for men who have sex with men and sexual minority populations in general.</p><p><strong>Conclusion: </strong>This is the most comprehensive review of guidance documents for care of sexual minority populations to date. It identifies 11 actionable recommendations for the ED and identifies opportunities for community-led development of comprehensive clinical practice guidelines for care of sexual minority populations in the ED.</p>\",\"PeriodicalId\":23682,\"journal\":{\"name\":\"Western Journal of Emergency Medicine\",\"volume\":\"26 3\",\"pages\":\"431-440\"},\"PeriodicalIF\":2.0000,\"publicationDate\":\"2025-03-13\",\"publicationTypes\":\"Journal Article\",\"fieldsOfStudy\":null,\"isOpenAccess\":false,\"openAccessPdf\":\"https://www.ncbi.nlm.nih.gov/pmc/articles/PMC12208086/pdf/\",\"citationCount\":\"0\",\"resultStr\":null,\"platform\":\"Semanticscholar\",\"paperid\":null,\"PeriodicalName\":\"Western Journal of Emergency Medicine\",\"FirstCategoryId\":\"3\",\"ListUrlMain\":\"https://doi.org/10.5811/westjem.20355\",\"RegionNum\":3,\"RegionCategory\":\"医学\",\"ArticlePicture\":[],\"TitleCN\":null,\"AbstractTextCN\":null,\"PMCID\":null,\"EPubDate\":\"\",\"PubModel\":\"\",\"JCR\":\"Q2\",\"JCRName\":\"EMERGENCY MEDICINE\",\"Score\":null,\"Total\":0}","platform":"Semanticscholar","paperid":null,"PeriodicalName":"Western Journal of Emergency Medicine","FirstCategoryId":"3","ListUrlMain":"https://doi.org/10.5811/westjem.20355","RegionNum":3,"RegionCategory":"医学","ArticlePicture":[],"TitleCN":null,"AbstractTextCN":null,"PMCID":null,"EPubDate":"","PubModel":"","JCR":"Q2","JCRName":"EMERGENCY MEDICINE","Score":null,"Total":0}
引用次数: 0

摘要

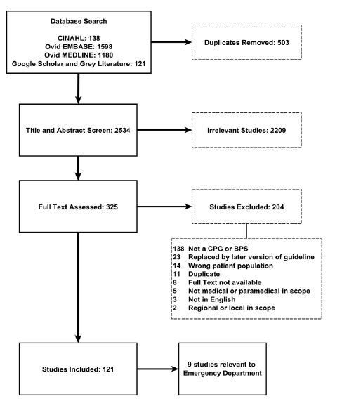
性少数群体,包括女同性恋、男同性恋、双性恋、无性恋、泛性恋等,占北美人口的4.0-5.4%。污名化和少数群体压力可能导致性少数群体的健康状况较差,之前的一项范围审查显示,急诊医学(EM)文献中存在关于性少数群体护理的空白。在这篇综述中,我们试图检查现有的性少数群体护理指南,这些指南对急诊科(ED)的护理提出了相关建议。方法:采用PRISMA标准,对截至2022年7月31日发表的OVID Medline、EMBASE、CINAHL以及临床实践指南(CPG)和最佳实践声明(BPS)灰色文献进行系统检索。文章如果是英文的,包括任何年龄、任何环境、地区或国家的性少数群体的医疗保健,并且是国内或国际范围的。排除标准包括初步研究、系统或叙述性评论或其他非CPG或BPS声明、社论或致编辑的信、区域或个别医院范围的文章、非医学文章,或存在较新版本的CPG或BPS。我们识别、记录并评估了与使用AGREE-II和AGREE-REX工具相关的所有建议的质量。用类间相关系数评估类间信度。我们为急诊科的相关护理点(分诊、登记、分房、调查等)编写了建议。结果:我们排除了2,534篇独特文章中的2,413篇。只有9篇文章提供了11条与ed相关的建议。九篇文章中有七篇是中等到高质量的;11项建议中有6项被确定为高质量和适应性强。其中包括对艾滋病毒阳性性少数人群的筛查、检测和护理的建议,以及对男男性行为者和一般性少数人群的一般或创伤护理的建议。结论:这是迄今为止对性少数人群照护指导文件最全面的综述。它为急诊科确定了11项可行的建议,并确定了以社区为主导制定急诊科性少数人群护理综合临床实践指南的机会。
本文章由计算机程序翻译,如有差异,请以英文原文为准。

A Systematic Review of Guidelines for Emergency Department Care of Sexual Minorities: Implementable Actions to Improve Care.

A Systematic Review of Guidelines for Emergency Department Care of Sexual Minorities: Implementable Actions to Improve Care.

Introduction: Sexual minorities, including lesbian, gay, bisexual, asexual, pansexual, and others make up 4.0-5.4% of the North American population. Stigmatization and minority stress can lead to poorer health status in sexual minorities, and a previous scoping review showed gaps in the emergency medicine (EM) literature for care of sexual minorities. In this review we sought to examine existing guidelines for the care of sexual minorities that made recommendations relevant to care in the emergency department (ED).

Methods: Using the PRISMA criteria, we performed a systematic search of OVID Medline, EMBASE, CINAHL, and the grey literature for clinical practice guidelines (CPG) and best practice statements (BPS) published until July 31, 2022. Articles were included if they were in English, included medical care of sexual minority populations of any age, in any setting, region, or nation, and were of national or international scope. Exclusion criteria included primary research studies, systematic or narrative reviews or otherwise non-CPG or BPS statements, editorials or letters to the editor, articles of regional or individual hospital scope, non-medical articles, or if a more recent version of the CPG or BPS existed. We identified, recorded, and assessed for quality all recommendations relevant to using the AGREE-II and AGREE-REX tools. Inter-rater reliability was assessed using the interclass correlation coefficient. We coded recommendations for the relevant point of care while in the ED (triage, registration, rooming, investigations, etc).

Results: We excluded 2,413 of 2,534 unique articles. Only nine articles contributed 11 ED-relevant recommendations. Seven of the nine articles were found to be of moderate to high quality; 6 of 11 recommendations were identified as high quality and adaptable. They included recommendations for screening, testing, and care of HIV+ sexual minority populations, and general or trauma care for men who have sex with men and sexual minority populations in general.

Conclusion: This is the most comprehensive review of guidance documents for care of sexual minority populations to date. It identifies 11 actionable recommendations for the ED and identifies opportunities for community-led development of comprehensive clinical practice guidelines for care of sexual minority populations in the ED.

求助全文
通过发布文献求助,成功后即可免费获取论文全文。 去求助
来源期刊
Western Journal of Emergency Medicine
Western Journal of Emergency Medicine Medicine-Emergency Medicine
CiteScore
5.30
自引率
3.20%
发文量
125
审稿时长
16 weeks
期刊介绍: WestJEM focuses on how the systems and delivery of emergency care affects health, health disparities, and health outcomes in communities and populations worldwide, including the impact of social conditions on the composition of patients seeking care in emergency departments.
×
引用
GB/T 7714-2015
复制
MLA
复制
APA
复制
导出至
BibTeX EndNote RefMan NoteFirst NoteExpress
×
提示
您的信息不完整,为了账户安全,请先补充。
现在去补充
×
提示
您因"违规操作"
具体请查看互助需知
我知道了
×
提示
确定
请完成安全验证×
copy
已复制链接
快去分享给好友吧!
我知道了
右上角分享
点击右上角分享
0
联系我们:info@booksci.cn Book学术提供免费学术资源搜索服务,方便国内外学者检索中英文文献。致力于提供最便捷和优质的服务体验。 Copyright © 2023 布克学术 All rights reserved.
京ICP备2023020795号-1
ghs 京公网安备 11010802042870号
Book学术文献互助
Book学术文献互助群
群 号:604180095
Book学术官方微信