躯体症状障碍儿童糖皮质激素受体基因甲基化:一项病例对照研究

IF 3.5 Q3 GENETICS & HEREDITY
Kyoko Hatta, Masato Kantake, Kyoko Tanaka, Hirofumi Nakaoka, Toshiaki Shimizu, Hiromichi Shoji
{"title":"躯体症状障碍儿童糖皮质激素受体基因甲基化:一项病例对照研究","authors":"Kyoko Hatta, Masato Kantake, Kyoko Tanaka, Hirofumi Nakaoka, Toshiaki Shimizu, Hiromichi Shoji","doi":"10.3390/epigenomes9020022","DOIUrl":null,"url":null,"abstract":"<p><p><b>Background:</b> Somatic symptom disorder (SSD) in children may be influenced by stress reactivity and psychosocial factors. The glucocorticoid receptor (GR), encoded by NR3C1, is a key mediator of stress responses. However, the relationship between NR3C1 methylation and SSD remains unclear. <b>Methods:</b> We analyzed NR3C1 exon 1F methylation in cell-free DNA from saliva in 34 children with SSD and 29 age- and sex-matched controls using bisulfite amplicon sequencing. Psychological assessments included the Beck Depression Inventory-II (BDI-II) and KINDL questionnaires to evaluate associations with methylation patterns. <b>Results:</b> Methylation levels showed age-related differences. In children under 13, CpG sites displayed mixed methylation, and specific sites correlated with KINDL and BDI-II scores. KINDL physical and total well-being scores negatively correlated with CpG30 and positively with CpG35; BDI-II scores negatively correlated with CpG32 and CpG35. In children aged 13 or older, CpG sites showed uniformly high methylation with no correlation to psychological measures. The SSD group showed significantly higher average methylation across the exon 1F region than controls in the older age group. These children also had more cases of orthostatic dysregulation and longer illness duration. <b>Conclusions:</b> This study suggests age-dependent epigenetic regulation of NR3C1 in SSD. While younger children showed CpG-specific correlations with psychological symptoms, older children demonstrated uniformly high methylation and potentially reduced gene expression, potentially reflecting cumulative stress, autonomic dysfunction, and internalizing disorders such as anxiety and depression.</p>","PeriodicalId":55768,"journal":{"name":"Epigenomes","volume":"9 2","pages":""},"PeriodicalIF":3.5000,"publicationDate":"2025-06-13","publicationTypes":"Journal Article","fieldsOfStudy":null,"isOpenAccess":false,"openAccessPdf":"https://www.ncbi.nlm.nih.gov/pmc/articles/PMC12192148/pdf/","citationCount":"0","resultStr":"{\"title\":\"Methylation of the Glucocorticoid Receptor Gene in Children with Somatic Symptom Disorder: A Case-Control Study.\",\"authors\":\"Kyoko Hatta, Masato Kantake, Kyoko Tanaka, Hirofumi Nakaoka, Toshiaki Shimizu, Hiromichi Shoji\",\"doi\":\"10.3390/epigenomes9020022\",\"DOIUrl\":null,\"url\":null,\"abstract\":\"<p><p><b>Background:</b> Somatic symptom disorder (SSD) in children may be influenced by stress reactivity and psychosocial factors. The glucocorticoid receptor (GR), encoded by NR3C1, is a key mediator of stress responses. However, the relationship between NR3C1 methylation and SSD remains unclear. <b>Methods:</b> We analyzed NR3C1 exon 1F methylation in cell-free DNA from saliva in 34 children with SSD and 29 age- and sex-matched controls using bisulfite amplicon sequencing. Psychological assessments included the Beck Depression Inventory-II (BDI-II) and KINDL questionnaires to evaluate associations with methylation patterns. <b>Results:</b> Methylation levels showed age-related differences. In children under 13, CpG sites displayed mixed methylation, and specific sites correlated with KINDL and BDI-II scores. KINDL physical and total well-being scores negatively correlated with CpG30 and positively with CpG35; BDI-II scores negatively correlated with CpG32 and CpG35. In children aged 13 or older, CpG sites showed uniformly high methylation with no correlation to psychological measures. The SSD group showed significantly higher average methylation across the exon 1F region than controls in the older age group. These children also had more cases of orthostatic dysregulation and longer illness duration. <b>Conclusions:</b> This study suggests age-dependent epigenetic regulation of NR3C1 in SSD. While younger children showed CpG-specific correlations with psychological symptoms, older children demonstrated uniformly high methylation and potentially reduced gene expression, potentially reflecting cumulative stress, autonomic dysfunction, and internalizing disorders such as anxiety and depression.</p>\",\"PeriodicalId\":55768,\"journal\":{\"name\":\"Epigenomes\",\"volume\":\"9 2\",\"pages\":\"\"},\"PeriodicalIF\":3.5000,\"publicationDate\":\"2025-06-13\",\"publicationTypes\":\"Journal Article\",\"fieldsOfStudy\":null,\"isOpenAccess\":false,\"openAccessPdf\":\"https://www.ncbi.nlm.nih.gov/pmc/articles/PMC12192148/pdf/\",\"citationCount\":\"0\",\"resultStr\":null,\"platform\":\"Semanticscholar\",\"paperid\":null,\"PeriodicalName\":\"Epigenomes\",\"FirstCategoryId\":\"1085\",\"ListUrlMain\":\"https://doi.org/10.3390/epigenomes9020022\",\"RegionNum\":0,\"RegionCategory\":null,\"ArticlePicture\":[],\"TitleCN\":null,\"AbstractTextCN\":null,\"PMCID\":null,\"EPubDate\":\"\",\"PubModel\":\"\",\"JCR\":\"Q3\",\"JCRName\":\"GENETICS & HEREDITY\",\"Score\":null,\"Total\":0}","platform":"Semanticscholar","paperid":null,"PeriodicalName":"Epigenomes","FirstCategoryId":"1085","ListUrlMain":"https://doi.org/10.3390/epigenomes9020022","RegionNum":0,"RegionCategory":null,"ArticlePicture":[],"TitleCN":null,"AbstractTextCN":null,"PMCID":null,"EPubDate":"","PubModel":"","JCR":"Q3","JCRName":"GENETICS & HEREDITY","Score":null,"Total":0}
引用次数: 0

摘要

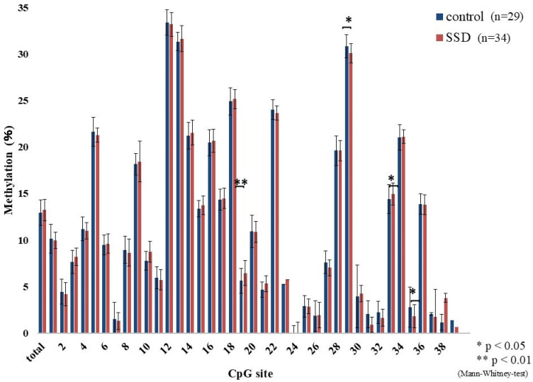
背景:儿童躯体症状障碍(SSD)可能受到应激反应和社会心理因素的影响。由NR3C1编码的糖皮质激素受体(GR)是应激反应的关键介质。然而,NR3C1甲基化与SSD之间的关系尚不清楚。方法:我们使用亚硫酸盐扩增子测序分析了34例SSD儿童和29例年龄和性别匹配的对照组唾液中无细胞DNA NR3C1外显子1F的甲基化。心理评估包括贝克抑郁量表- ii (BDI-II)和KINDL问卷来评估甲基化模式的相关性。结果:甲基化水平存在年龄相关差异。在13岁以下的儿童中,CpG位点显示混合甲基化,特定位点与KINDL和BDI-II评分相关。KINDL身体和总幸福感得分与CpG30呈负相关,与CpG35呈正相关;BDI-II评分与CpG32、CpG35呈负相关。在13岁或以上的儿童中,CpG位点一致显示高甲基化,与心理测量无关。与老年对照组相比,SSD组外显子1F区域的平均甲基化水平明显更高。这些儿童也有更多的直立失调病例和更长的疾病持续时间。结论:本研究提示SSD中NR3C1存在年龄依赖性表观遗传调控。年龄较小的儿童表现出cpg特异性与心理症状的相关性,而年龄较大的儿童则表现出一致的高甲基化和潜在的基因表达减少,这可能反映了累积压力、自主神经功能障碍以及焦虑和抑郁等内化障碍。
本文章由计算机程序翻译,如有差异,请以英文原文为准。

Methylation of the Glucocorticoid Receptor Gene in Children with Somatic Symptom Disorder: A Case-Control Study.

Methylation of the Glucocorticoid Receptor Gene in Children with Somatic Symptom Disorder: A Case-Control Study.

Methylation of the Glucocorticoid Receptor Gene in Children with Somatic Symptom Disorder: A Case-Control Study.

Methylation of the Glucocorticoid Receptor Gene in Children with Somatic Symptom Disorder: A Case-Control Study.

Background: Somatic symptom disorder (SSD) in children may be influenced by stress reactivity and psychosocial factors. The glucocorticoid receptor (GR), encoded by NR3C1, is a key mediator of stress responses. However, the relationship between NR3C1 methylation and SSD remains unclear. Methods: We analyzed NR3C1 exon 1F methylation in cell-free DNA from saliva in 34 children with SSD and 29 age- and sex-matched controls using bisulfite amplicon sequencing. Psychological assessments included the Beck Depression Inventory-II (BDI-II) and KINDL questionnaires to evaluate associations with methylation patterns. Results: Methylation levels showed age-related differences. In children under 13, CpG sites displayed mixed methylation, and specific sites correlated with KINDL and BDI-II scores. KINDL physical and total well-being scores negatively correlated with CpG30 and positively with CpG35; BDI-II scores negatively correlated with CpG32 and CpG35. In children aged 13 or older, CpG sites showed uniformly high methylation with no correlation to psychological measures. The SSD group showed significantly higher average methylation across the exon 1F region than controls in the older age group. These children also had more cases of orthostatic dysregulation and longer illness duration. Conclusions: This study suggests age-dependent epigenetic regulation of NR3C1 in SSD. While younger children showed CpG-specific correlations with psychological symptoms, older children demonstrated uniformly high methylation and potentially reduced gene expression, potentially reflecting cumulative stress, autonomic dysfunction, and internalizing disorders such as anxiety and depression.

求助全文
通过发布文献求助,成功后即可免费获取论文全文。 去求助
来源期刊
Epigenomes
Epigenomes GENETICS & HEREDITY-
CiteScore
3.80
自引率
0.00%
发文量
38
审稿时长
11 weeks
×
引用
GB/T 7714-2015
复制
MLA
复制
APA
复制
导出至
BibTeX EndNote RefMan NoteFirst NoteExpress
×
提示
您的信息不完整,为了账户安全,请先补充。
现在去补充
×
提示
您因"违规操作"
具体请查看互助需知
我知道了
×
提示
确定
请完成安全验证×
copy
已复制链接
快去分享给好友吧!
我知道了
右上角分享
点击右上角分享
0
联系我们:info@booksci.cn Book学术提供免费学术资源搜索服务,方便国内外学者检索中英文文献。致力于提供最便捷和优质的服务体验。 Copyright © 2023 布克学术 All rights reserved.
京ICP备2023020795号-1
ghs 京公网安备 11010802042870号
Book学术文献互助
Book学术文献互助群
群 号:604180095
Book学术官方微信