模型预测的表观遗传年龄与女性不孕症的关系。

IF 3.5 Q3 GENETICS & HEREDITY
Elena Pozdysheva, Vitaly Korchagin, Tatiana Rumyantseva, Daria Ogneva, Vera Zhivotova, Irina Gaponova, Konstantin Mironov, Vasily Akimkin
{"title":"模型预测的表观遗传年龄与女性不孕症的关系。","authors":"Elena Pozdysheva, Vitaly Korchagin, Tatiana Rumyantseva, Daria Ogneva, Vera Zhivotova, Irina Gaponova, Konstantin Mironov, Vasily Akimkin","doi":"10.3390/epigenomes9020019","DOIUrl":null,"url":null,"abstract":"<p><strong>Background: </strong>To date, there are no precise clinical and laboratory methods to accurately predict the onset of fertility decline in women, with chronological age being the ultimate predictor. This has led to increased interest in developing methods to determine biological age, as it provides a more accurate understanding of individual age-related physiological changes.</p><p><strong>Methods: </strong>In this study, we developed a model for estimating biological age based on DNA methylation levels in the <i>ELOVL2</i>, <i>TRIM59</i>, <i>C1orf132</i>, <i>FHL2</i>, and <i>KLF14</i> genes using pyrosequencing. The model was tested in 64 Russian women, aged 25-39 years, to find an association between epigenetic age, infertility, low anti-Müllerian hormone (AMH) levels, and assisted reproductive technology (ART) failure.</p><p><strong>Results: </strong>The predictive performance of the model was evaluated. The mean absolute deviation of the model was 2.8 years; the mean absolute error was 2.6 years (R<sup>2</sup> = 0.95). In the studied cohort, 33% of women exhibited epigenetic age acceleration (EAA), while 45% showed epigenetic age deceleration (EAD). All women with an EAA of ≥3 years (n = 6) had a history of infertility.</p><p><strong>Conclusions: </strong>In this study, no statistically significant associations were observed between EAA/EAD and AMH, body mass index, infertility, or ART failure in women.</p>","PeriodicalId":55768,"journal":{"name":"Epigenomes","volume":"9 2","pages":""},"PeriodicalIF":3.5000,"publicationDate":"2025-06-05","publicationTypes":"Journal Article","fieldsOfStudy":null,"isOpenAccess":false,"openAccessPdf":"https://www.ncbi.nlm.nih.gov/pmc/articles/PMC12192080/pdf/","citationCount":"0","resultStr":"{\"title\":\"Association of Model-Predicted Epigenetic Age and Female Infertility.\",\"authors\":\"Elena Pozdysheva, Vitaly Korchagin, Tatiana Rumyantseva, Daria Ogneva, Vera Zhivotova, Irina Gaponova, Konstantin Mironov, Vasily Akimkin\",\"doi\":\"10.3390/epigenomes9020019\",\"DOIUrl\":null,\"url\":null,\"abstract\":\"<p><strong>Background: </strong>To date, there are no precise clinical and laboratory methods to accurately predict the onset of fertility decline in women, with chronological age being the ultimate predictor. This has led to increased interest in developing methods to determine biological age, as it provides a more accurate understanding of individual age-related physiological changes.</p><p><strong>Methods: </strong>In this study, we developed a model for estimating biological age based on DNA methylation levels in the <i>ELOVL2</i>, <i>TRIM59</i>, <i>C1orf132</i>, <i>FHL2</i>, and <i>KLF14</i> genes using pyrosequencing. The model was tested in 64 Russian women, aged 25-39 years, to find an association between epigenetic age, infertility, low anti-Müllerian hormone (AMH) levels, and assisted reproductive technology (ART) failure.</p><p><strong>Results: </strong>The predictive performance of the model was evaluated. The mean absolute deviation of the model was 2.8 years; the mean absolute error was 2.6 years (R<sup>2</sup> = 0.95). In the studied cohort, 33% of women exhibited epigenetic age acceleration (EAA), while 45% showed epigenetic age deceleration (EAD). All women with an EAA of ≥3 years (n = 6) had a history of infertility.</p><p><strong>Conclusions: </strong>In this study, no statistically significant associations were observed between EAA/EAD and AMH, body mass index, infertility, or ART failure in women.</p>\",\"PeriodicalId\":55768,\"journal\":{\"name\":\"Epigenomes\",\"volume\":\"9 2\",\"pages\":\"\"},\"PeriodicalIF\":3.5000,\"publicationDate\":\"2025-06-05\",\"publicationTypes\":\"Journal Article\",\"fieldsOfStudy\":null,\"isOpenAccess\":false,\"openAccessPdf\":\"https://www.ncbi.nlm.nih.gov/pmc/articles/PMC12192080/pdf/\",\"citationCount\":\"0\",\"resultStr\":null,\"platform\":\"Semanticscholar\",\"paperid\":null,\"PeriodicalName\":\"Epigenomes\",\"FirstCategoryId\":\"1085\",\"ListUrlMain\":\"https://doi.org/10.3390/epigenomes9020019\",\"RegionNum\":0,\"RegionCategory\":null,\"ArticlePicture\":[],\"TitleCN\":null,\"AbstractTextCN\":null,\"PMCID\":null,\"EPubDate\":\"\",\"PubModel\":\"\",\"JCR\":\"Q3\",\"JCRName\":\"GENETICS & HEREDITY\",\"Score\":null,\"Total\":0}","platform":"Semanticscholar","paperid":null,"PeriodicalName":"Epigenomes","FirstCategoryId":"1085","ListUrlMain":"https://doi.org/10.3390/epigenomes9020019","RegionNum":0,"RegionCategory":null,"ArticlePicture":[],"TitleCN":null,"AbstractTextCN":null,"PMCID":null,"EPubDate":"","PubModel":"","JCR":"Q3","JCRName":"GENETICS & HEREDITY","Score":null,"Total":0}
引用次数: 0

摘要

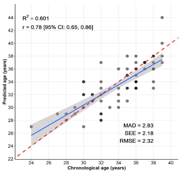
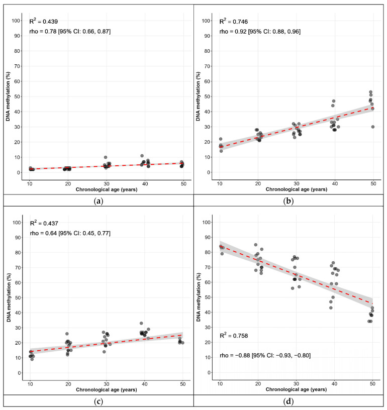
背景:到目前为止,还没有精确的临床和实验室方法来准确预测女性生育能力下降的开始,实足年龄是最终的预测因素。这增加了人们对确定生物年龄的方法的兴趣,因为它提供了对个体年龄相关生理变化的更准确理解。方法:在本研究中,我们利用焦磷酸测序技术建立了一个基于ELOVL2、TRIM59、C1orf132、FHL2和KLF14基因DNA甲基化水平估计生物年龄的模型。该模型在64名年龄在25-39岁的俄罗斯女性中进行了测试,以发现表观遗传年龄、不孕症、低抗勒氏杆菌激素(AMH)水平和辅助生殖技术(ART)失败之间的关联。结果:对模型的预测性能进行了评价。模型的平均绝对偏差为2.8年;平均绝对误差为2.6年(R2 = 0.95)。在研究队列中,33%的女性表现出表观遗传年龄加速(EAA),而45%的女性表现出表观遗传年龄减速(EAD)。所有EAA≥3年的女性(n = 6)均有不孕史。结论:在本研究中,EAA/EAD与女性AMH、体重指数、不孕症或ART失败之间没有统计学意义上的关联。
本文章由计算机程序翻译,如有差异,请以英文原文为准。

Association of Model-Predicted Epigenetic Age and Female Infertility.

Association of Model-Predicted Epigenetic Age and Female Infertility.

Association of Model-Predicted Epigenetic Age and Female Infertility.

Association of Model-Predicted Epigenetic Age and Female Infertility.

Background: To date, there are no precise clinical and laboratory methods to accurately predict the onset of fertility decline in women, with chronological age being the ultimate predictor. This has led to increased interest in developing methods to determine biological age, as it provides a more accurate understanding of individual age-related physiological changes.

Methods: In this study, we developed a model for estimating biological age based on DNA methylation levels in the ELOVL2, TRIM59, C1orf132, FHL2, and KLF14 genes using pyrosequencing. The model was tested in 64 Russian women, aged 25-39 years, to find an association between epigenetic age, infertility, low anti-Müllerian hormone (AMH) levels, and assisted reproductive technology (ART) failure.

Results: The predictive performance of the model was evaluated. The mean absolute deviation of the model was 2.8 years; the mean absolute error was 2.6 years (R2 = 0.95). In the studied cohort, 33% of women exhibited epigenetic age acceleration (EAA), while 45% showed epigenetic age deceleration (EAD). All women with an EAA of ≥3 years (n = 6) had a history of infertility.

Conclusions: In this study, no statistically significant associations were observed between EAA/EAD and AMH, body mass index, infertility, or ART failure in women.

求助全文
通过发布文献求助,成功后即可免费获取论文全文。 去求助
来源期刊
Epigenomes
Epigenomes GENETICS & HEREDITY-
CiteScore
3.80
自引率
0.00%
发文量
38
审稿时长
11 weeks
×
引用
GB/T 7714-2015
复制
MLA
复制
APA
复制
导出至
BibTeX EndNote RefMan NoteFirst NoteExpress
×
提示
您的信息不完整,为了账户安全,请先补充。
现在去补充
×
提示
您因"违规操作"
具体请查看互助需知
我知道了
×
提示
确定
请完成安全验证×
copy
已复制链接
快去分享给好友吧!
我知道了
右上角分享
点击右上角分享
0
联系我们:info@booksci.cn Book学术提供免费学术资源搜索服务,方便国内外学者检索中英文文献。致力于提供最便捷和优质的服务体验。 Copyright © 2023 布克学术 All rights reserved.
京ICP备2023020795号-1
ghs 京公网安备 11010802042870号
Book学术文献互助
Book学术文献互助群
群 号:604180095
Book学术官方微信