用自动牙齿标记法测定全景x射线中的肯尼迪氏分类。

IF 2.3 3区 医学 Q3 ENGINEERING, BIOMEDICAL
Hans Meine, Marc Christian Metzger, Patrick Weingart, Jonas Wüster, Rainer Schmelzeisen, Anna Rörich, Joachim Georgii, Leonard Simon Brandenburg
{"title":"用自动牙齿标记法测定全景x射线中的肯尼迪氏分类。","authors":"Hans Meine, Marc Christian Metzger, Patrick Weingart, Jonas Wüster, Rainer Schmelzeisen, Anna Rörich, Joachim Georgii, Leonard Simon Brandenburg","doi":"10.1007/s11548-025-03469-z","DOIUrl":null,"url":null,"abstract":"<p><strong>Purpose: </strong>Panoramic X-rays (PX) are extensively utilized in dental and maxillofacial diagnostics, offering comprehensive imaging of teeth and surrounding structures. This study investigates the automatic determination of Kennedy's classification in partially edentulous jaws.</p><p><strong>Methods: </strong>A retrospective study involving 209 PX images from 206 patients was conducted. The established Mask R-CNN, a deep learning-based instance segmentation model, was trained for the automatic detection, position labeling (according to the international dental federation's scheme), and segmentation of teeth in PX. Subsequent post-processing steps filter duplicate outputs by position label and by geometric overlap. Finally, a rule-based determination of Kennedy's class of partially edentulous jaws was performed.</p><p><strong>Results: </strong>In a fivefold cross-validation, Kennedy's classification was correctly determined in 83.0% of cases, with the most common errors arising from the mislabeling of morphologically similar teeth. The underlying algorithm demonstrated high sensitivity (97.1%) and precision (98.1%) in tooth detection, with an F1 score of 97.6%. FDI position label accuracy was 94.7%. Ablation studies indicated that post-processing steps, such as duplicate filtering, significantly improved algorithm performance.</p><p><strong>Conclusion: </strong>Our findings show that automatic dentition analysis in PX images can be extended to include clinically relevant jaw classification, reducing the workload associated with manual labeling and classification.</p>","PeriodicalId":51251,"journal":{"name":"International Journal of Computer Assisted Radiology and Surgery","volume":" ","pages":"1835-1843"},"PeriodicalIF":2.3000,"publicationDate":"2025-09-01","publicationTypes":"Journal Article","fieldsOfStudy":null,"isOpenAccess":false,"openAccessPdf":"https://www.ncbi.nlm.nih.gov/pmc/articles/PMC12476436/pdf/","citationCount":"0","resultStr":"{\"title\":\"Determination of Kennedy's classification in panoramic X-rays by automated tooth labeling.\",\"authors\":\"Hans Meine, Marc Christian Metzger, Patrick Weingart, Jonas Wüster, Rainer Schmelzeisen, Anna Rörich, Joachim Georgii, Leonard Simon Brandenburg\",\"doi\":\"10.1007/s11548-025-03469-z\",\"DOIUrl\":null,\"url\":null,\"abstract\":\"<p><strong>Purpose: </strong>Panoramic X-rays (PX) are extensively utilized in dental and maxillofacial diagnostics, offering comprehensive imaging of teeth and surrounding structures. This study investigates the automatic determination of Kennedy's classification in partially edentulous jaws.</p><p><strong>Methods: </strong>A retrospective study involving 209 PX images from 206 patients was conducted. The established Mask R-CNN, a deep learning-based instance segmentation model, was trained for the automatic detection, position labeling (according to the international dental federation's scheme), and segmentation of teeth in PX. Subsequent post-processing steps filter duplicate outputs by position label and by geometric overlap. Finally, a rule-based determination of Kennedy's class of partially edentulous jaws was performed.</p><p><strong>Results: </strong>In a fivefold cross-validation, Kennedy's classification was correctly determined in 83.0% of cases, with the most common errors arising from the mislabeling of morphologically similar teeth. The underlying algorithm demonstrated high sensitivity (97.1%) and precision (98.1%) in tooth detection, with an F1 score of 97.6%. FDI position label accuracy was 94.7%. Ablation studies indicated that post-processing steps, such as duplicate filtering, significantly improved algorithm performance.</p><p><strong>Conclusion: </strong>Our findings show that automatic dentition analysis in PX images can be extended to include clinically relevant jaw classification, reducing the workload associated with manual labeling and classification.</p>\",\"PeriodicalId\":51251,\"journal\":{\"name\":\"International Journal of Computer Assisted Radiology and Surgery\",\"volume\":\" \",\"pages\":\"1835-1843\"},\"PeriodicalIF\":2.3000,\"publicationDate\":\"2025-09-01\",\"publicationTypes\":\"Journal Article\",\"fieldsOfStudy\":null,\"isOpenAccess\":false,\"openAccessPdf\":\"https://www.ncbi.nlm.nih.gov/pmc/articles/PMC12476436/pdf/\",\"citationCount\":\"0\",\"resultStr\":null,\"platform\":\"Semanticscholar\",\"paperid\":null,\"PeriodicalName\":\"International Journal of Computer Assisted Radiology and Surgery\",\"FirstCategoryId\":\"5\",\"ListUrlMain\":\"https://doi.org/10.1007/s11548-025-03469-z\",\"RegionNum\":3,\"RegionCategory\":\"医学\",\"ArticlePicture\":[],\"TitleCN\":null,\"AbstractTextCN\":null,\"PMCID\":null,\"EPubDate\":\"2025/6/24 0:00:00\",\"PubModel\":\"Epub\",\"JCR\":\"Q3\",\"JCRName\":\"ENGINEERING, BIOMEDICAL\",\"Score\":null,\"Total\":0}","platform":"Semanticscholar","paperid":null,"PeriodicalName":"International Journal of Computer Assisted Radiology and Surgery","FirstCategoryId":"5","ListUrlMain":"https://doi.org/10.1007/s11548-025-03469-z","RegionNum":3,"RegionCategory":"医学","ArticlePicture":[],"TitleCN":null,"AbstractTextCN":null,"PMCID":null,"EPubDate":"2025/6/24 0:00:00","PubModel":"Epub","JCR":"Q3","JCRName":"ENGINEERING, BIOMEDICAL","Score":null,"Total":0}
引用次数: 0

摘要

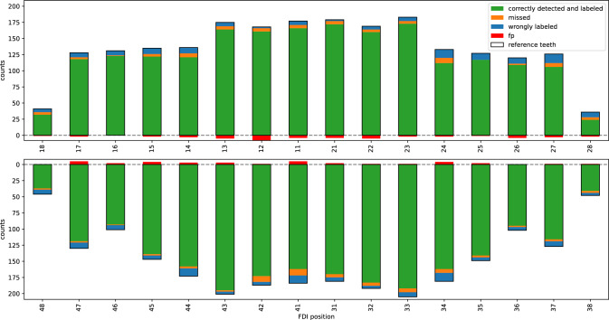
目的:全景x射线(PX)广泛应用于口腔和颌面诊断,提供牙齿和周围结构的全面成像。本研究探讨部分无牙颌中Kennedy分类的自动判定。方法:对206例患者的209张PX图像进行回顾性研究。建立基于深度学习的实例分割模型Mask R-CNN,对PX中牙齿的自动检测、位置标注(按照国际牙科联合会的方案)和分割进行训练。随后的后处理步骤通过位置标签和几何重叠过滤重复输出。最后,对Kennedy的部分无牙颌类进行了基于规则的确定。结果:在五重交叉验证中,肯尼迪分类的正确率为83.0%,其中最常见的错误是由于对形态相似的牙齿进行了错误标记。该算法在牙齿检测中具有较高的灵敏度(97.1%)和精度(98.1%),F1评分为97.6%。FDI位置标签准确率为94.7%。研究表明,重复滤波等后处理步骤显著提高了算法的性能。结论:我们的研究结果表明,PX图像的自动牙列分析可以扩展到包括临床相关的颌骨分类,减少了人工标记和分类的工作量。
本文章由计算机程序翻译,如有差异,请以英文原文为准。

Determination of Kennedy's classification in panoramic X-rays by automated tooth labeling.

Determination of Kennedy's classification in panoramic X-rays by automated tooth labeling.

Determination of Kennedy's classification in panoramic X-rays by automated tooth labeling.

Determination of Kennedy's classification in panoramic X-rays by automated tooth labeling.

Purpose: Panoramic X-rays (PX) are extensively utilized in dental and maxillofacial diagnostics, offering comprehensive imaging of teeth and surrounding structures. This study investigates the automatic determination of Kennedy's classification in partially edentulous jaws.

Methods: A retrospective study involving 209 PX images from 206 patients was conducted. The established Mask R-CNN, a deep learning-based instance segmentation model, was trained for the automatic detection, position labeling (according to the international dental federation's scheme), and segmentation of teeth in PX. Subsequent post-processing steps filter duplicate outputs by position label and by geometric overlap. Finally, a rule-based determination of Kennedy's class of partially edentulous jaws was performed.

Results: In a fivefold cross-validation, Kennedy's classification was correctly determined in 83.0% of cases, with the most common errors arising from the mislabeling of morphologically similar teeth. The underlying algorithm demonstrated high sensitivity (97.1%) and precision (98.1%) in tooth detection, with an F1 score of 97.6%. FDI position label accuracy was 94.7%. Ablation studies indicated that post-processing steps, such as duplicate filtering, significantly improved algorithm performance.

Conclusion: Our findings show that automatic dentition analysis in PX images can be extended to include clinically relevant jaw classification, reducing the workload associated with manual labeling and classification.

求助全文
通过发布文献求助,成功后即可免费获取论文全文。 去求助
来源期刊
International Journal of Computer Assisted Radiology and Surgery
International Journal of Computer Assisted Radiology and Surgery ENGINEERING, BIOMEDICAL-RADIOLOGY, NUCLEAR MEDICINE & MEDICAL IMAGING
CiteScore
5.90
自引率
6.70%
发文量
243
审稿时长
6-12 weeks
期刊介绍: The International Journal for Computer Assisted Radiology and Surgery (IJCARS) is a peer-reviewed journal that provides a platform for closing the gap between medical and technical disciplines, and encourages interdisciplinary research and development activities in an international environment.
×
引用
GB/T 7714-2015
复制
MLA
复制
APA
复制
导出至
BibTeX EndNote RefMan NoteFirst NoteExpress
×
提示
您的信息不完整,为了账户安全,请先补充。
现在去补充
×
提示
您因"违规操作"
具体请查看互助需知
我知道了
×
提示
确定
请完成安全验证×
copy
已复制链接
快去分享给好友吧!
我知道了
右上角分享
点击右上角分享
0
联系我们:info@booksci.cn Book学术提供免费学术资源搜索服务,方便国内外学者检索中英文文献。致力于提供最便捷和优质的服务体验。 Copyright © 2023 布克学术 All rights reserved.
京ICP备2023020795号-1
ghs 京公网安备 11010802042870号
Book学术文献互助
Book学术文献互助群
群 号:604180095
Book学术官方微信