高危性行为与hiv阴性男男性行为者肠道菌群的显著相关性

IF 3.1 2区 生物学 Q2 MICROBIOLOGY
mSphere Pub Date : 2025-07-29 Epub Date: 2025-06-25 DOI:10.1128/msphere.00232-25
Kangjie Li, Xinjing Liu, Xiaohua Zhong, Haijiao Zeng, Tian Liu, Bing Lin, Pinyi Chen, Biao Xie, Xiaoni Zhong
{"title":"高危性行为与hiv阴性男男性行为者肠道菌群的显著相关性","authors":"Kangjie Li, Xinjing Liu, Xiaohua Zhong, Haijiao Zeng, Tian Liu, Bing Lin, Pinyi Chen, Biao Xie, Xiaoni Zhong","doi":"10.1128/msphere.00232-25","DOIUrl":null,"url":null,"abstract":"<p><p>Gut microbiome of men who have sex with men (MSM) exhibits distinctive characteristics compared with general populations. The dysbiosis of the gut microbiome in MSM is also associated with the onset and evolution of HIV infection. Enterotype is an important feature of the gut microbiome and remains unaffected by demographic factors. However, the enterotypes of gut microbiome in MSM are unclear. The associations between enterotypes and high-risk sexual behaviors in this population also remain to be elucidated. HIV-negative MSM were recruited in this study. Fecal samples of the participants were collected and subjected to 16S rRNA gene sequencing. Enterotype clusters were determined by Jensen-Shannon divergence based on genus-level relative abundance. Microbial function predictions were conducted by PICRUSt2 software. Univariate and multivariate logistic regression approaches were utilized to analyze the associations of enterotypes with sexual behaviors. A three-category random forest machine learning model was performed to further examine the correlation between abundant microbiome in each enterotype cluster and anal sex roles. Two enterotype clusters were identified in our data sets, primarily driven by genera <i>Phocaeicola</i> and <i>Segatella</i>. The alpha diversity was comparable between the two enterotype clusters. Microbial metabolic functions significantly differed, and multivariate logistic regression indicated a significant association between anal sex role and enterotype. The results of the three-category random forest model indicate that the dominant bacterial communities in gut enterotypes can effectively differentiate MSM who engage exclusively in receptive anal intercourse from those who engage in insertive or versatile anal intercourse (AUC: 0.6400, 0.6929, respectively). We identified two enterotype clusters of gut microbiome in HIV-negative MSM. Enterotypes of MSM were significantly associated with anal sex roles. These findings further highlight the close correlation between the gut microbiome and anal intercourse roles.</p><p><strong>Importance: </strong>Our study's discovery that gut microbiome enterotypes are significantly associated with anal sex roles in HIV-negative MSM opens a new frontier in understanding the complex interplay between microbiology and sexual health. This finding underscores the urgency of delving into the mechanistic connections between the gut microbiome, sexual behaviors, and HIV infection. By identifying modifiable factors influencing gut microbiome composition, we have paved the way for developing personalized preventive strategies that could disrupt the transmission dynamics of HIV within this high-risk population. This research contributes to the fundamental understanding of the gut microbiome's role in the sexual health of MSM, making it a pivotal advancement in the fields of gut microbiome research and sexual health.</p>","PeriodicalId":19052,"journal":{"name":"mSphere","volume":" ","pages":"e0023225"},"PeriodicalIF":3.1000,"publicationDate":"2025-07-29","publicationTypes":"Journal Article","fieldsOfStudy":null,"isOpenAccess":false,"openAccessPdf":"https://www.ncbi.nlm.nih.gov/pmc/articles/PMC12306172/pdf/","citationCount":"0","resultStr":"{\"title\":\"Significant associations between high-risk sexual behaviors and enterotypes of gut microbiome in HIV-negative men who have sex with men.\",\"authors\":\"Kangjie Li, Xinjing Liu, Xiaohua Zhong, Haijiao Zeng, Tian Liu, Bing Lin, Pinyi Chen, Biao Xie, Xiaoni Zhong\",\"doi\":\"10.1128/msphere.00232-25\",\"DOIUrl\":null,\"url\":null,\"abstract\":\"<p><p>Gut microbiome of men who have sex with men (MSM) exhibits distinctive characteristics compared with general populations. The dysbiosis of the gut microbiome in MSM is also associated with the onset and evolution of HIV infection. Enterotype is an important feature of the gut microbiome and remains unaffected by demographic factors. However, the enterotypes of gut microbiome in MSM are unclear. The associations between enterotypes and high-risk sexual behaviors in this population also remain to be elucidated. HIV-negative MSM were recruited in this study. Fecal samples of the participants were collected and subjected to 16S rRNA gene sequencing. Enterotype clusters were determined by Jensen-Shannon divergence based on genus-level relative abundance. Microbial function predictions were conducted by PICRUSt2 software. Univariate and multivariate logistic regression approaches were utilized to analyze the associations of enterotypes with sexual behaviors. A three-category random forest machine learning model was performed to further examine the correlation between abundant microbiome in each enterotype cluster and anal sex roles. Two enterotype clusters were identified in our data sets, primarily driven by genera <i>Phocaeicola</i> and <i>Segatella</i>. The alpha diversity was comparable between the two enterotype clusters. Microbial metabolic functions significantly differed, and multivariate logistic regression indicated a significant association between anal sex role and enterotype. The results of the three-category random forest model indicate that the dominant bacterial communities in gut enterotypes can effectively differentiate MSM who engage exclusively in receptive anal intercourse from those who engage in insertive or versatile anal intercourse (AUC: 0.6400, 0.6929, respectively). We identified two enterotype clusters of gut microbiome in HIV-negative MSM. Enterotypes of MSM were significantly associated with anal sex roles. These findings further highlight the close correlation between the gut microbiome and anal intercourse roles.</p><p><strong>Importance: </strong>Our study's discovery that gut microbiome enterotypes are significantly associated with anal sex roles in HIV-negative MSM opens a new frontier in understanding the complex interplay between microbiology and sexual health. This finding underscores the urgency of delving into the mechanistic connections between the gut microbiome, sexual behaviors, and HIV infection. By identifying modifiable factors influencing gut microbiome composition, we have paved the way for developing personalized preventive strategies that could disrupt the transmission dynamics of HIV within this high-risk population. This research contributes to the fundamental understanding of the gut microbiome's role in the sexual health of MSM, making it a pivotal advancement in the fields of gut microbiome research and sexual health.</p>\",\"PeriodicalId\":19052,\"journal\":{\"name\":\"mSphere\",\"volume\":\" \",\"pages\":\"e0023225\"},\"PeriodicalIF\":3.1000,\"publicationDate\":\"2025-07-29\",\"publicationTypes\":\"Journal Article\",\"fieldsOfStudy\":null,\"isOpenAccess\":false,\"openAccessPdf\":\"https://www.ncbi.nlm.nih.gov/pmc/articles/PMC12306172/pdf/\",\"citationCount\":\"0\",\"resultStr\":null,\"platform\":\"Semanticscholar\",\"paperid\":null,\"PeriodicalName\":\"mSphere\",\"FirstCategoryId\":\"99\",\"ListUrlMain\":\"https://doi.org/10.1128/msphere.00232-25\",\"RegionNum\":2,\"RegionCategory\":\"生物学\",\"ArticlePicture\":[],\"TitleCN\":null,\"AbstractTextCN\":null,\"PMCID\":null,\"EPubDate\":\"2025/6/25 0:00:00\",\"PubModel\":\"Epub\",\"JCR\":\"Q2\",\"JCRName\":\"MICROBIOLOGY\",\"Score\":null,\"Total\":0}","platform":"Semanticscholar","paperid":null,"PeriodicalName":"mSphere","FirstCategoryId":"99","ListUrlMain":"https://doi.org/10.1128/msphere.00232-25","RegionNum":2,"RegionCategory":"生物学","ArticlePicture":[],"TitleCN":null,"AbstractTextCN":null,"PMCID":null,"EPubDate":"2025/6/25 0:00:00","PubModel":"Epub","JCR":"Q2","JCRName":"MICROBIOLOGY","Score":null,"Total":0}
引用次数: 0

摘要

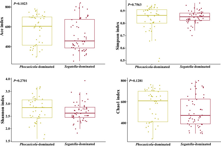
与一般人群相比,男男性行为者(MSM)的肠道微生物群表现出明显的特征。男男性接触者肠道微生物群的失调也与HIV感染的发生和进化有关。肠型是肠道微生物组的重要特征,不受人口统计学因素的影响。然而,男男性行为者肠道微生物群的肠型尚不清楚。在这一人群中,肠型与高危性行为之间的关系还有待阐明。本研究招募了hiv阴性的男男性行为者。收集参与者的粪便样本并进行16S rRNA基因测序。根据属级相对丰度,采用Jensen-Shannon散度法确定肠型聚类。利用PICRUSt2软件进行微生物功能预测。采用单变量和多变量逻辑回归方法分析肠型与性行为的关系。采用三类别随机森林机器学习模型进一步研究了每个肠型集群中丰富的微生物组与肛交角色之间的相关性。在我们的数据集中鉴定了两个肠型集群,主要由Phocaeicola属和Segatella属驱动。α多样性在两个肠型群之间具有可比性。微生物代谢功能差异显著,多因素logistic回归显示肛交角色与肠型有显著相关性。三类随机森林模型的结果表明,肠道肠道型中的优势菌群可以有效区分纯接受性肛交和插入性或多功能肛交的男男性接触者(AUC分别为0.6400和0.6929)。我们在hiv阴性的男男性行为者中发现了两种肠道微生物群。男男性行为者的肠型与肛交角色显著相关。这些发现进一步强调了肠道微生物群与肛交角色之间的密切联系。重要性:我们的研究发现,在hiv阴性的MSM中,肠道微生物组肠型与肛交角色显著相关,这为理解微生物学与性健康之间复杂的相互作用开辟了新的前沿。这一发现强调了深入研究肠道微生物群、性行为和HIV感染之间的机制联系的紧迫性。通过确定影响肠道微生物组组成的可改变因素,我们为制定个性化的预防策略铺平了道路,这些策略可能会破坏艾滋病毒在这一高危人群中的传播动态。该研究有助于从根本上了解肠道微生物组在男男性行为者性健康中的作用,是肠道微生物组研究和性健康领域的关键进展。
本文章由计算机程序翻译,如有差异,请以英文原文为准。

Significant associations between high-risk sexual behaviors and enterotypes of gut microbiome in HIV-negative men who have sex with men.

Significant associations between high-risk sexual behaviors and enterotypes of gut microbiome in HIV-negative men who have sex with men.

Significant associations between high-risk sexual behaviors and enterotypes of gut microbiome in HIV-negative men who have sex with men.

Significant associations between high-risk sexual behaviors and enterotypes of gut microbiome in HIV-negative men who have sex with men.

Gut microbiome of men who have sex with men (MSM) exhibits distinctive characteristics compared with general populations. The dysbiosis of the gut microbiome in MSM is also associated with the onset and evolution of HIV infection. Enterotype is an important feature of the gut microbiome and remains unaffected by demographic factors. However, the enterotypes of gut microbiome in MSM are unclear. The associations between enterotypes and high-risk sexual behaviors in this population also remain to be elucidated. HIV-negative MSM were recruited in this study. Fecal samples of the participants were collected and subjected to 16S rRNA gene sequencing. Enterotype clusters were determined by Jensen-Shannon divergence based on genus-level relative abundance. Microbial function predictions were conducted by PICRUSt2 software. Univariate and multivariate logistic regression approaches were utilized to analyze the associations of enterotypes with sexual behaviors. A three-category random forest machine learning model was performed to further examine the correlation between abundant microbiome in each enterotype cluster and anal sex roles. Two enterotype clusters were identified in our data sets, primarily driven by genera Phocaeicola and Segatella. The alpha diversity was comparable between the two enterotype clusters. Microbial metabolic functions significantly differed, and multivariate logistic regression indicated a significant association between anal sex role and enterotype. The results of the three-category random forest model indicate that the dominant bacterial communities in gut enterotypes can effectively differentiate MSM who engage exclusively in receptive anal intercourse from those who engage in insertive or versatile anal intercourse (AUC: 0.6400, 0.6929, respectively). We identified two enterotype clusters of gut microbiome in HIV-negative MSM. Enterotypes of MSM were significantly associated with anal sex roles. These findings further highlight the close correlation between the gut microbiome and anal intercourse roles.

Importance: Our study's discovery that gut microbiome enterotypes are significantly associated with anal sex roles in HIV-negative MSM opens a new frontier in understanding the complex interplay between microbiology and sexual health. This finding underscores the urgency of delving into the mechanistic connections between the gut microbiome, sexual behaviors, and HIV infection. By identifying modifiable factors influencing gut microbiome composition, we have paved the way for developing personalized preventive strategies that could disrupt the transmission dynamics of HIV within this high-risk population. This research contributes to the fundamental understanding of the gut microbiome's role in the sexual health of MSM, making it a pivotal advancement in the fields of gut microbiome research and sexual health.

求助全文
通过发布文献求助,成功后即可免费获取论文全文。 去求助
来源期刊
mSphere
mSphere Immunology and Microbiology-Microbiology
CiteScore
8.50
自引率
2.10%
发文量
192
审稿时长
11 weeks
期刊介绍: mSphere™ is a multi-disciplinary open-access journal that will focus on rapid publication of fundamental contributions to our understanding of microbiology. Its scope will reflect the immense range of fields within the microbial sciences, creating new opportunities for researchers to share findings that are transforming our understanding of human health and disease, ecosystems, neuroscience, agriculture, energy production, climate change, evolution, biogeochemical cycling, and food and drug production. Submissions will be encouraged of all high-quality work that makes fundamental contributions to our understanding of microbiology. mSphere™ will provide streamlined decisions, while carrying on ASM''s tradition for rigorous peer review.
×
引用
GB/T 7714-2015
复制
MLA
复制
APA
复制
导出至
BibTeX EndNote RefMan NoteFirst NoteExpress
×
提示
您的信息不完整,为了账户安全,请先补充。
现在去补充
×
提示
您因"违规操作"
具体请查看互助需知
我知道了
×
提示
确定
请完成安全验证×
copy
已复制链接
快去分享给好友吧!
我知道了
右上角分享
点击右上角分享
0
联系我们:info@booksci.cn Book学术提供免费学术资源搜索服务,方便国内外学者检索中英文文献。致力于提供最便捷和优质的服务体验。 Copyright © 2023 布克学术 All rights reserved.
京ICP备2023020795号-1
ghs 京公网安备 11010802042870号
Book学术文献互助
Book学术文献互助群
群 号:604180095
Book学术官方微信