体重指数对接受同种异体造血干细胞移植的急性白血病患者预后的影响:一项回顾性队列研究

IF 3.2 4区 医学 Q3 CELL & TISSUE ENGINEERING
Cell Transplantation Pub Date : 2025-01-01 Epub Date: 2025-06-25 DOI:10.1177/09636897251349377
Jing Yu, Zhuoyue Shi, Hengwei Wu, Yi Luo, Jian Yu, Yamin Tan, Xiaoyu Lai, Lizhen Liu, Huarui Fu, Yishan Ye, Luxin Yang, Congxiao Zhang, He Huang, Jimin Shi, Yanmin Zhao
{"title":"体重指数对接受同种异体造血干细胞移植的急性白血病患者预后的影响:一项回顾性队列研究","authors":"Jing Yu, Zhuoyue Shi, Hengwei Wu, Yi Luo, Jian Yu, Yamin Tan, Xiaoyu Lai, Lizhen Liu, Huarui Fu, Yishan Ye, Luxin Yang, Congxiao Zhang, He Huang, Jimin Shi, Yanmin Zhao","doi":"10.1177/09636897251349377","DOIUrl":null,"url":null,"abstract":"<p><p>Obesity is a well-known risk factor for many diseases, but the impact of baseline body mass index (BMI) on the outcomes of allogeneic hematopoietic stem cell transplantation (allo-HSCT) remains controversial. To elucidate the influence of pretransplant BMI on post-allo-HSCT outcomes including graft-versus-host disease (GVHD), overall survival (OS), relapse-free survival (RFS), and nonrelapse mortality (NRM), we conducted a retrospective study using registry data which comprised 1092 adult patients who underwent allo-HSCT between 2015 and 2023. Among the 1092 eligible patients (53.2% male), 56.5% were normal-weight; 24.8% were overweight and 9.1% were obese. Multivariable analyses revealed that compared with normal-weight patients, obese individuals had a higher risk of grade II-IV and III-IV acute GVHD (aGVHD), especially in the gastrointestinal system, with aHRs of 2.08 (95% CI, 1.47-2.94), 2.60 (95% CI, 1.52-4.44), and 3.71 (95% CI, 2.00-6.88), respectively. The probability of OS and RFS was significantly lower in overweight (<i>P</i> = 0.034, <i>P</i> = 0.015, respectively) and obese patients (<i>P</i> = 0.033, <i>P</i> = 0.024, respectively) as compared with normal-weight patients, with aHRs increasing by ~38% (aHR, 1.38; 95% CI, 1.03-1.86), ~40% (aHR, 1.40; 95% CI, 1.07-1.83), ~58% (aHR, 1.58; 95% CI, 1.04-2.40), and ~56% (aHR, 1.56; 95% CI, 1.06-2.29), respectively. Furthermore, the NRM of obese patients was statistically higher than normal-weight patients (<i>P</i> = 0.02, sHR, 2.19; 95% CI, 1.12-4.27). A subgroup analysis revealed that the adverse effects of obesity on OS, RFS, and NRM were primarily observed in the subgroup of patients aged < 40 years and patients with acute lymphoblastic leukemia. The increased risk of grade II-IV aGVHD due to obesity was observed across all subgroups. In conclusion, Obesity prior to allo-HSCT increases the risk of aGVHD and NRM, leading to poorer OS. These findings underscore the importance of closely monitoring high-risk patients and offering opportunities for early intervention.</p>","PeriodicalId":9721,"journal":{"name":"Cell Transplantation","volume":"34 ","pages":"9636897251349377"},"PeriodicalIF":3.2000,"publicationDate":"2025-01-01","publicationTypes":"Journal Article","fieldsOfStudy":null,"isOpenAccess":false,"openAccessPdf":"https://www.ncbi.nlm.nih.gov/pmc/articles/PMC12198581/pdf/","citationCount":"0","resultStr":"{\"title\":\"Prognostic effect of body mass index in patients with acute leukemia undergoing allogeneic hematopoietic stem cell transplantation: A retrospective cohort study.\",\"authors\":\"Jing Yu, Zhuoyue Shi, Hengwei Wu, Yi Luo, Jian Yu, Yamin Tan, Xiaoyu Lai, Lizhen Liu, Huarui Fu, Yishan Ye, Luxin Yang, Congxiao Zhang, He Huang, Jimin Shi, Yanmin Zhao\",\"doi\":\"10.1177/09636897251349377\",\"DOIUrl\":null,\"url\":null,\"abstract\":\"<p><p>Obesity is a well-known risk factor for many diseases, but the impact of baseline body mass index (BMI) on the outcomes of allogeneic hematopoietic stem cell transplantation (allo-HSCT) remains controversial. To elucidate the influence of pretransplant BMI on post-allo-HSCT outcomes including graft-versus-host disease (GVHD), overall survival (OS), relapse-free survival (RFS), and nonrelapse mortality (NRM), we conducted a retrospective study using registry data which comprised 1092 adult patients who underwent allo-HSCT between 2015 and 2023. Among the 1092 eligible patients (53.2% male), 56.5% were normal-weight; 24.8% were overweight and 9.1% were obese. Multivariable analyses revealed that compared with normal-weight patients, obese individuals had a higher risk of grade II-IV and III-IV acute GVHD (aGVHD), especially in the gastrointestinal system, with aHRs of 2.08 (95% CI, 1.47-2.94), 2.60 (95% CI, 1.52-4.44), and 3.71 (95% CI, 2.00-6.88), respectively. The probability of OS and RFS was significantly lower in overweight (<i>P</i> = 0.034, <i>P</i> = 0.015, respectively) and obese patients (<i>P</i> = 0.033, <i>P</i> = 0.024, respectively) as compared with normal-weight patients, with aHRs increasing by ~38% (aHR, 1.38; 95% CI, 1.03-1.86), ~40% (aHR, 1.40; 95% CI, 1.07-1.83), ~58% (aHR, 1.58; 95% CI, 1.04-2.40), and ~56% (aHR, 1.56; 95% CI, 1.06-2.29), respectively. Furthermore, the NRM of obese patients was statistically higher than normal-weight patients (<i>P</i> = 0.02, sHR, 2.19; 95% CI, 1.12-4.27). A subgroup analysis revealed that the adverse effects of obesity on OS, RFS, and NRM were primarily observed in the subgroup of patients aged < 40 years and patients with acute lymphoblastic leukemia. The increased risk of grade II-IV aGVHD due to obesity was observed across all subgroups. In conclusion, Obesity prior to allo-HSCT increases the risk of aGVHD and NRM, leading to poorer OS. These findings underscore the importance of closely monitoring high-risk patients and offering opportunities for early intervention.</p>\",\"PeriodicalId\":9721,\"journal\":{\"name\":\"Cell Transplantation\",\"volume\":\"34 \",\"pages\":\"9636897251349377\"},\"PeriodicalIF\":3.2000,\"publicationDate\":\"2025-01-01\",\"publicationTypes\":\"Journal Article\",\"fieldsOfStudy\":null,\"isOpenAccess\":false,\"openAccessPdf\":\"https://www.ncbi.nlm.nih.gov/pmc/articles/PMC12198581/pdf/\",\"citationCount\":\"0\",\"resultStr\":null,\"platform\":\"Semanticscholar\",\"paperid\":null,\"PeriodicalName\":\"Cell Transplantation\",\"FirstCategoryId\":\"3\",\"ListUrlMain\":\"https://doi.org/10.1177/09636897251349377\",\"RegionNum\":4,\"RegionCategory\":\"医学\",\"ArticlePicture\":[],\"TitleCN\":null,\"AbstractTextCN\":null,\"PMCID\":null,\"EPubDate\":\"2025/6/25 0:00:00\",\"PubModel\":\"Epub\",\"JCR\":\"Q3\",\"JCRName\":\"CELL & TISSUE ENGINEERING\",\"Score\":null,\"Total\":0}","platform":"Semanticscholar","paperid":null,"PeriodicalName":"Cell Transplantation","FirstCategoryId":"3","ListUrlMain":"https://doi.org/10.1177/09636897251349377","RegionNum":4,"RegionCategory":"医学","ArticlePicture":[],"TitleCN":null,"AbstractTextCN":null,"PMCID":null,"EPubDate":"2025/6/25 0:00:00","PubModel":"Epub","JCR":"Q3","JCRName":"CELL & TISSUE ENGINEERING","Score":null,"Total":0}
引用次数: 0

摘要

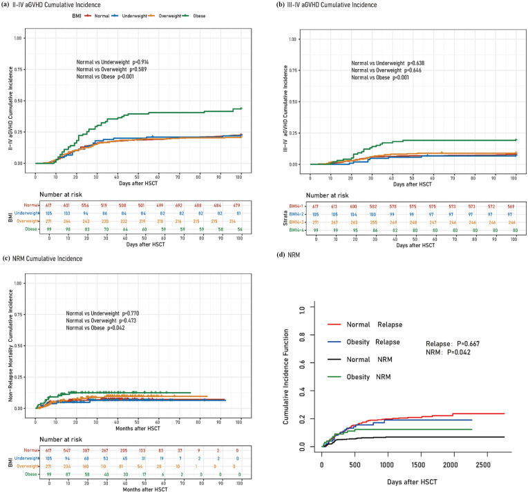
肥胖是许多疾病的一个众所周知的危险因素,但基线体重指数(BMI)对同种异体造血干细胞移植(alloo - hsct)结果的影响仍然存在争议。为了阐明移植前BMI对移植后移植后结果的影响,包括移植物抗宿主病(GVHD)、总生存期(OS)、无复发生存期(RFS)和非复发死亡率(NRM),我们使用登记数据进行了一项回顾性研究,其中包括2015年至2023年间接受同种异体移植的1092名成年患者。1092例符合条件的患者中,男性53.2%,体重正常者56.5%;超重占24.8%,肥胖占9.1%。多变量分析显示,与正常体重患者相比,肥胖个体发生II-IV级和III-IV级急性GVHD (aGVHD)的风险更高,尤其是在胃肠道系统,ahr分别为2.08 (95% CI, 1.47-2.94)、2.60 (95% CI, 1.52-4.44)和3.71 (95% CI, 2.00-6.88)。超重患者(P = 0.034, P = 0.015)和肥胖患者(P = 0.033, P = 0.024)发生OS和RFS的概率较正常体重患者明显降低,aHR升高约38% (aHR, 1.38;95% CI, 1.03-1.86), ~40% (aHR, 1.40;95% CI, 1.07-1.83), ~58% (aHR, 1.58;95% CI, 1.04-2.40)和~56% (aHR, 1.56;95% CI, 1.06-2.29)。肥胖患者的NRM高于正常体重患者(P = 0.02, sHR, 2.19;95% ci, 1.12-4.27)。亚组分析显示,肥胖对OS、RFS和NRM的不良影响主要见于年龄< 40岁的患者和急性淋巴细胞白血病患者亚组。所有亚组均观察到肥胖导致II-IV级aGVHD的风险增加。总之,移植前的肥胖增加了aGVHD和NRM的风险,导致较差的OS。这些发现强调了密切监测高危患者和提供早期干预机会的重要性。
本文章由计算机程序翻译,如有差异,请以英文原文为准。

Prognostic effect of body mass index in patients with acute leukemia undergoing allogeneic hematopoietic stem cell transplantation: A retrospective cohort study.

Prognostic effect of body mass index in patients with acute leukemia undergoing allogeneic hematopoietic stem cell transplantation: A retrospective cohort study.

Prognostic effect of body mass index in patients with acute leukemia undergoing allogeneic hematopoietic stem cell transplantation: A retrospective cohort study.

Prognostic effect of body mass index in patients with acute leukemia undergoing allogeneic hematopoietic stem cell transplantation: A retrospective cohort study.

Obesity is a well-known risk factor for many diseases, but the impact of baseline body mass index (BMI) on the outcomes of allogeneic hematopoietic stem cell transplantation (allo-HSCT) remains controversial. To elucidate the influence of pretransplant BMI on post-allo-HSCT outcomes including graft-versus-host disease (GVHD), overall survival (OS), relapse-free survival (RFS), and nonrelapse mortality (NRM), we conducted a retrospective study using registry data which comprised 1092 adult patients who underwent allo-HSCT between 2015 and 2023. Among the 1092 eligible patients (53.2% male), 56.5% were normal-weight; 24.8% were overweight and 9.1% were obese. Multivariable analyses revealed that compared with normal-weight patients, obese individuals had a higher risk of grade II-IV and III-IV acute GVHD (aGVHD), especially in the gastrointestinal system, with aHRs of 2.08 (95% CI, 1.47-2.94), 2.60 (95% CI, 1.52-4.44), and 3.71 (95% CI, 2.00-6.88), respectively. The probability of OS and RFS was significantly lower in overweight (P = 0.034, P = 0.015, respectively) and obese patients (P = 0.033, P = 0.024, respectively) as compared with normal-weight patients, with aHRs increasing by ~38% (aHR, 1.38; 95% CI, 1.03-1.86), ~40% (aHR, 1.40; 95% CI, 1.07-1.83), ~58% (aHR, 1.58; 95% CI, 1.04-2.40), and ~56% (aHR, 1.56; 95% CI, 1.06-2.29), respectively. Furthermore, the NRM of obese patients was statistically higher than normal-weight patients (P = 0.02, sHR, 2.19; 95% CI, 1.12-4.27). A subgroup analysis revealed that the adverse effects of obesity on OS, RFS, and NRM were primarily observed in the subgroup of patients aged < 40 years and patients with acute lymphoblastic leukemia. The increased risk of grade II-IV aGVHD due to obesity was observed across all subgroups. In conclusion, Obesity prior to allo-HSCT increases the risk of aGVHD and NRM, leading to poorer OS. These findings underscore the importance of closely monitoring high-risk patients and offering opportunities for early intervention.

求助全文
通过发布文献求助,成功后即可免费获取论文全文。 去求助
来源期刊
Cell Transplantation
Cell Transplantation 生物-细胞与组织工程
CiteScore
6.00
自引率
3.00%
发文量
97
审稿时长
6 months
期刊介绍: Cell Transplantation, The Regenerative Medicine Journal is an open access, peer reviewed journal that is published 12 times annually. Cell Transplantation is a multi-disciplinary forum for publication of articles on cell transplantation and its applications to human diseases. Articles focus on a myriad of topics including the physiological, medical, pre-clinical, tissue engineering, stem cell, and device-oriented aspects of the nervous, endocrine, cardiovascular, and endothelial systems, as well as genetically engineered cells. Cell Transplantation also reports on relevant technological advances, clinical studies, and regulatory considerations related to the implantation of cells into the body in order to provide complete coverage of the field.
×
引用
GB/T 7714-2015
复制
MLA
复制
APA
复制
导出至
BibTeX EndNote RefMan NoteFirst NoteExpress
×
提示
您的信息不完整,为了账户安全,请先补充。
现在去补充
×
提示
您因"违规操作"
具体请查看互助需知
我知道了
×
提示
确定
请完成安全验证×
copy
已复制链接
快去分享给好友吧!
我知道了
右上角分享
点击右上角分享
0
联系我们:info@booksci.cn Book学术提供免费学术资源搜索服务,方便国内外学者检索中英文文献。致力于提供最便捷和优质的服务体验。 Copyright © 2023 布克学术 All rights reserved.
京ICP备2023020795号-1
ghs 京公网安备 11010802042870号
Book学术文献互助
Book学术文献互助群
群 号:604180095
Book学术官方微信