COVID-19大流行缓解策略对癌症治疗试验的影响:行业和国家癌症研究所研究的荟萃分析

JCO oncology advances Pub Date : 2025-06-13 eCollection Date: 2025-06-01 DOI:10.1200/OA-25-00021
Joseph M Unger, Hillary S Andrews, Laura A Levit, Brittany A McKelvey, Mark Stewart, Beverly Canin, Keith Flaherty, Denise Kimball, Therica Miller, Adedayo Onitilo, Suanna Bruinooge, Elizabeth Garrett-Mayer, Caroline Schenkel
{"title":"COVID-19大流行缓解策略对癌症治疗试验的影响:行业和国家癌症研究所研究的荟萃分析","authors":"Joseph M Unger, Hillary S Andrews, Laura A Levit, Brittany A McKelvey, Mark Stewart, Beverly Canin, Keith Flaherty, Denise Kimball, Therica Miller, Adedayo Onitilo, Suanna Bruinooge, Elizabeth Garrett-Mayer, Caroline Schenkel","doi":"10.1200/OA-25-00021","DOIUrl":null,"url":null,"abstract":"<p><strong>Purpose: </strong>The onset of the COVID-19 pandemic in early 2020 disrupted the conduct of cancer clinical trials. In response, federal agencies allowed more flexibility for trial recruitment and patient follow-up. A key question is whether the benefits of adopting these strategies outweigh the potential detriments to quality metrics.</p><p><strong>Methods: </strong>A joint ASCO and Friends of Cancer Research task force invited industry and National Cancer Institute trial sponsors to contribute deidentified trial-level aggregate data on enrollment, major protocol deviations, dropouts, and severe adverse events (Common Terminology Criteria for Adverse Events grade 3-5). These quality metrics were examined as proportions of participants at risk during the pre-COVID-19 (January 2017-February, 2020), initial wave (March-April, 2020), initial recovery (May-December, 2020), and secondary recovery (January 2021-December 2022) periods. Multilevel beta-regression was used, adjusting for phase; study and sponsor were treated as random effects. Indicator variables were used with pre-COVID-19 as the reference.</p><p><strong>Results: </strong>Ten sponsors contributed 67 analyzable trials with N = 12,000 US-based participants. Enrollment odds decreased 49% in the initial wave (odds ratio [OR], 0.51 [95% CI, 0.30 to 0.86], <i>P</i> = .01) but recovered to pre-COVID-19 levels by 2021-2022 (OR, 1.01 [95% CI, 0.56 to 1.81], <i>P</i> = .97). Major protocol deviations, dropouts, and severe toxicity all had a lower incidence in the initial wave compared with pre-COVID-19; these outcomes were also less frequent (<i>P</i> < .05) in the initial recovery period but returned to pre-COVID-19 levels by 2021-2022.</p><p><strong>Conclusion: </strong>In this multicollaborator evaluation, large declines in enrollment, major protocol deviations, dropouts, and severe toxicity during the acute phase of the pandemic all returned to pre-COVID-19 levels by 2021-2022. These findings highlight the impact of the temporary disruption to trial conduct during the pandemic's peak, but suggest that pandemic-related procedural flexibility did not result in long-term reduced data quality. Sponsors and regulators should consider broader adaptation of trial flexibilities moving forward.</p>","PeriodicalId":520350,"journal":{"name":"JCO oncology advances","volume":"2 1","pages":"e2500021"},"PeriodicalIF":0.0000,"publicationDate":"2025-06-13","publicationTypes":"Journal Article","fieldsOfStudy":null,"isOpenAccess":false,"openAccessPdf":"https://www.ncbi.nlm.nih.gov/pmc/articles/PMC12178165/pdf/","citationCount":"0","resultStr":"{\"title\":\"Impact of the COVID-19 Pandemic Mitigation Strategies on Cancer Treatment Trials: A Meta-Analysis of Industry and National Cancer Institute Studies.\",\"authors\":\"Joseph M Unger, Hillary S Andrews, Laura A Levit, Brittany A McKelvey, Mark Stewart, Beverly Canin, Keith Flaherty, Denise Kimball, Therica Miller, Adedayo Onitilo, Suanna Bruinooge, Elizabeth Garrett-Mayer, Caroline Schenkel\",\"doi\":\"10.1200/OA-25-00021\",\"DOIUrl\":null,\"url\":null,\"abstract\":\"<p><strong>Purpose: </strong>The onset of the COVID-19 pandemic in early 2020 disrupted the conduct of cancer clinical trials. In response, federal agencies allowed more flexibility for trial recruitment and patient follow-up. A key question is whether the benefits of adopting these strategies outweigh the potential detriments to quality metrics.</p><p><strong>Methods: </strong>A joint ASCO and Friends of Cancer Research task force invited industry and National Cancer Institute trial sponsors to contribute deidentified trial-level aggregate data on enrollment, major protocol deviations, dropouts, and severe adverse events (Common Terminology Criteria for Adverse Events grade 3-5). These quality metrics were examined as proportions of participants at risk during the pre-COVID-19 (January 2017-February, 2020), initial wave (March-April, 2020), initial recovery (May-December, 2020), and secondary recovery (January 2021-December 2022) periods. Multilevel beta-regression was used, adjusting for phase; study and sponsor were treated as random effects. Indicator variables were used with pre-COVID-19 as the reference.</p><p><strong>Results: </strong>Ten sponsors contributed 67 analyzable trials with N = 12,000 US-based participants. Enrollment odds decreased 49% in the initial wave (odds ratio [OR], 0.51 [95% CI, 0.30 to 0.86], <i>P</i> = .01) but recovered to pre-COVID-19 levels by 2021-2022 (OR, 1.01 [95% CI, 0.56 to 1.81], <i>P</i> = .97). Major protocol deviations, dropouts, and severe toxicity all had a lower incidence in the initial wave compared with pre-COVID-19; these outcomes were also less frequent (<i>P</i> < .05) in the initial recovery period but returned to pre-COVID-19 levels by 2021-2022.</p><p><strong>Conclusion: </strong>In this multicollaborator evaluation, large declines in enrollment, major protocol deviations, dropouts, and severe toxicity during the acute phase of the pandemic all returned to pre-COVID-19 levels by 2021-2022. These findings highlight the impact of the temporary disruption to trial conduct during the pandemic's peak, but suggest that pandemic-related procedural flexibility did not result in long-term reduced data quality. Sponsors and regulators should consider broader adaptation of trial flexibilities moving forward.</p>\",\"PeriodicalId\":520350,\"journal\":{\"name\":\"JCO oncology advances\",\"volume\":\"2 1\",\"pages\":\"e2500021\"},\"PeriodicalIF\":0.0000,\"publicationDate\":\"2025-06-13\",\"publicationTypes\":\"Journal Article\",\"fieldsOfStudy\":null,\"isOpenAccess\":false,\"openAccessPdf\":\"https://www.ncbi.nlm.nih.gov/pmc/articles/PMC12178165/pdf/\",\"citationCount\":\"0\",\"resultStr\":null,\"platform\":\"Semanticscholar\",\"paperid\":null,\"PeriodicalName\":\"JCO oncology advances\",\"FirstCategoryId\":\"1085\",\"ListUrlMain\":\"https://doi.org/10.1200/OA-25-00021\",\"RegionNum\":0,\"RegionCategory\":null,\"ArticlePicture\":[],\"TitleCN\":null,\"AbstractTextCN\":null,\"PMCID\":null,\"EPubDate\":\"2025/6/1 0:00:00\",\"PubModel\":\"eCollection\",\"JCR\":\"\",\"JCRName\":\"\",\"Score\":null,\"Total\":0}","platform":"Semanticscholar","paperid":null,"PeriodicalName":"JCO oncology advances","FirstCategoryId":"1085","ListUrlMain":"https://doi.org/10.1200/OA-25-00021","RegionNum":0,"RegionCategory":null,"ArticlePicture":[],"TitleCN":null,"AbstractTextCN":null,"PMCID":null,"EPubDate":"2025/6/1 0:00:00","PubModel":"eCollection","JCR":"","JCRName":"","Score":null,"Total":0}
引用次数: 0

摘要

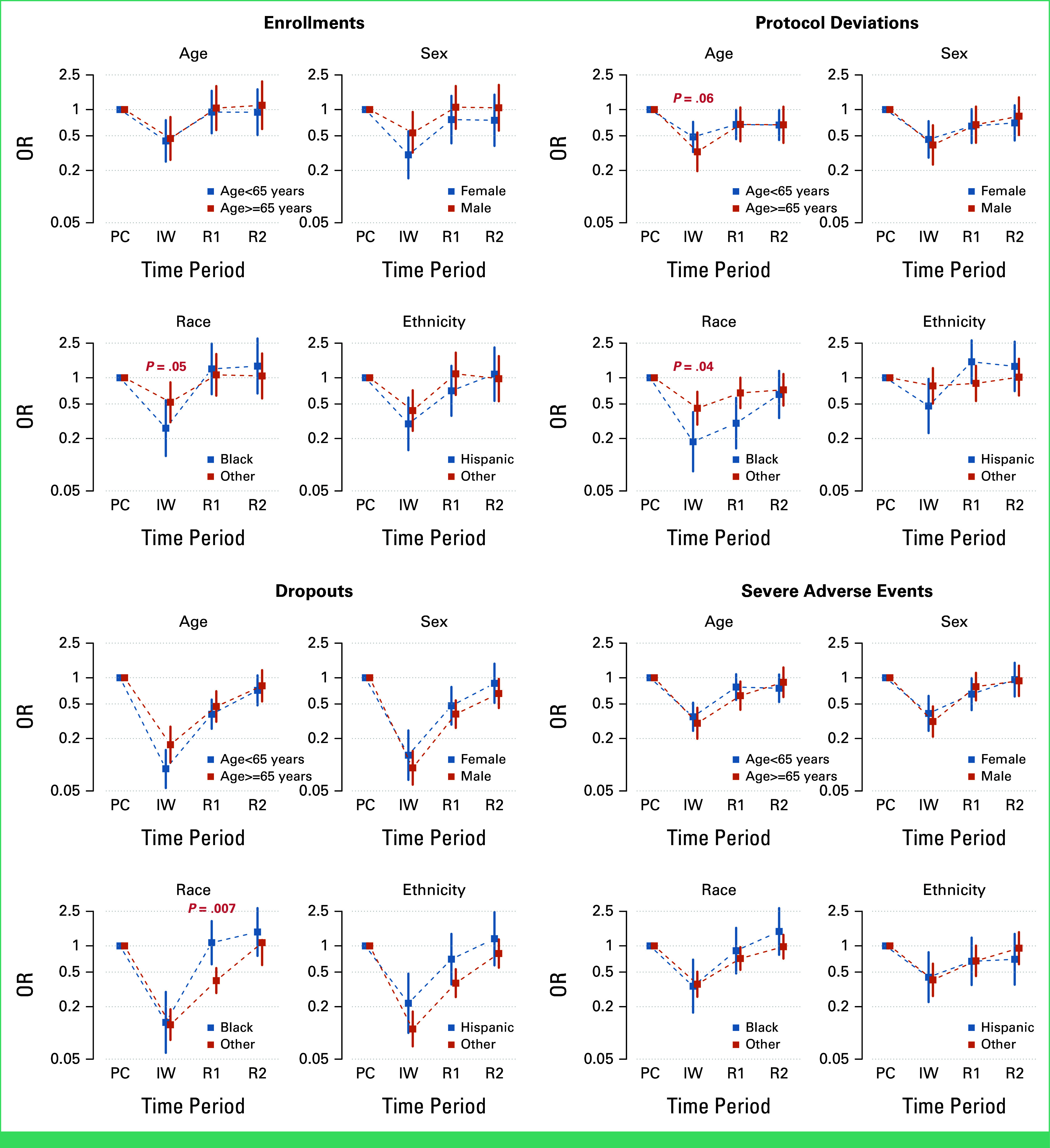
目的:2020年初新冠肺炎疫情的爆发扰乱了癌症临床试验的开展。作为回应,联邦机构允许在试验招募和患者随访方面有更大的灵活性。一个关键的问题是,采用这些策略的好处是否大于对质量度量的潜在危害。方法:ASCO和癌症研究之友联合工作组邀请行业和国家癌症研究所试验发起人提供关于入组、主要方案偏差、退出和严重不良事件(不良事件通用术语标准3-5级)的未确定试验级汇总数据。这些质量指标通过在covid -19前期(2020年1月至2月)、初始浪潮(2020年3月至4月)、初始恢复(2020年5月至12月)和二次恢复(2021年1月至2022年12月)期间处于风险中的参与者的比例进行了检验。采用多水平β -回归,进行相位调整;研究和赞助者被视为随机效应。指标变量以covid -19前为参考。结果:10家赞助商贡献了67项可分析试验,N = 12,000名美国参与者。入组几率在初始阶段下降49%(比值比[OR], 0.51 [95% CI, 0.30 ~ 0.86], P = 0.01),但到2021-2022年恢复到covid -19前的水平(OR, 1.01 [95% CI, 0.56 ~ 1.81], P = 0.97)。与covid -19前相比,初始波中主要方案偏差、退出和严重毒性的发生率均较低;这些结果在最初恢复期也较少见(P < 0.05),但到2021-2022年恢复到covid -19前的水平。结论:在这项多合作者评估中,到2021-2022年,大流行急性期的入组人数大幅下降、主要方案偏差、退出和严重毒性均恢复到covid -19前的水平。这些发现突出表明,在大流行高峰期间,试验进行暂时中断的影响,但表明与大流行相关的程序灵活性并未导致数据质量的长期下降。申办者和监管机构应考虑更广泛地适应试验的灵活性。
本文章由计算机程序翻译,如有差异,请以英文原文为准。

Impact of the COVID-19 Pandemic Mitigation Strategies on Cancer Treatment Trials: A Meta-Analysis of Industry and National Cancer Institute Studies.

Impact of the COVID-19 Pandemic Mitigation Strategies on Cancer Treatment Trials: A Meta-Analysis of Industry and National Cancer Institute Studies.

Impact of the COVID-19 Pandemic Mitigation Strategies on Cancer Treatment Trials: A Meta-Analysis of Industry and National Cancer Institute Studies.

Impact of the COVID-19 Pandemic Mitigation Strategies on Cancer Treatment Trials: A Meta-Analysis of Industry and National Cancer Institute Studies.

Purpose: The onset of the COVID-19 pandemic in early 2020 disrupted the conduct of cancer clinical trials. In response, federal agencies allowed more flexibility for trial recruitment and patient follow-up. A key question is whether the benefits of adopting these strategies outweigh the potential detriments to quality metrics.

Methods: A joint ASCO and Friends of Cancer Research task force invited industry and National Cancer Institute trial sponsors to contribute deidentified trial-level aggregate data on enrollment, major protocol deviations, dropouts, and severe adverse events (Common Terminology Criteria for Adverse Events grade 3-5). These quality metrics were examined as proportions of participants at risk during the pre-COVID-19 (January 2017-February, 2020), initial wave (March-April, 2020), initial recovery (May-December, 2020), and secondary recovery (January 2021-December 2022) periods. Multilevel beta-regression was used, adjusting for phase; study and sponsor were treated as random effects. Indicator variables were used with pre-COVID-19 as the reference.

Results: Ten sponsors contributed 67 analyzable trials with N = 12,000 US-based participants. Enrollment odds decreased 49% in the initial wave (odds ratio [OR], 0.51 [95% CI, 0.30 to 0.86], P = .01) but recovered to pre-COVID-19 levels by 2021-2022 (OR, 1.01 [95% CI, 0.56 to 1.81], P = .97). Major protocol deviations, dropouts, and severe toxicity all had a lower incidence in the initial wave compared with pre-COVID-19; these outcomes were also less frequent (P < .05) in the initial recovery period but returned to pre-COVID-19 levels by 2021-2022.

Conclusion: In this multicollaborator evaluation, large declines in enrollment, major protocol deviations, dropouts, and severe toxicity during the acute phase of the pandemic all returned to pre-COVID-19 levels by 2021-2022. These findings highlight the impact of the temporary disruption to trial conduct during the pandemic's peak, but suggest that pandemic-related procedural flexibility did not result in long-term reduced data quality. Sponsors and regulators should consider broader adaptation of trial flexibilities moving forward.

求助全文
通过发布文献求助,成功后即可免费获取论文全文。 去求助
来源期刊
自引率
0.00%
发文量
0
×
引用
GB/T 7714-2015
复制
MLA
复制
APA
复制
导出至
BibTeX EndNote RefMan NoteFirst NoteExpress
×
提示
您的信息不完整,为了账户安全,请先补充。
现在去补充
×
提示
您因"违规操作"
具体请查看互助需知
我知道了
×
提示
确定
请完成安全验证×
copy
已复制链接
快去分享给好友吧!
我知道了
右上角分享
点击右上角分享
0
联系我们:info@booksci.cn Book学术提供免费学术资源搜索服务,方便国内外学者检索中英文文献。致力于提供最便捷和优质的服务体验。 Copyright © 2023 布克学术 All rights reserved.
京ICP备2023020795号-1
ghs 京公网安备 11010802042870号
Book学术文献互助
Book学术文献互助群
群 号:604180095
Book学术官方微信