在接受选择性手术的儿科患者中,通过电阻抗断层扫描评估肺通气模式:来自前瞻性和观察性数据登记的见解。

IF 3.1
Daniela Rosalba, Grazia Meneghetti, Federico Verdina, Chiara Solai, Danila Azzolina, Laura Petronio, Matteo Guaraglia, Raffaella Buscaglia, Giulio Saviolo, Gaia Furlan, Filippo Vietti, Daniele Biasucci, Savino Spadaro, Rachele Simonte, Edoardo De Robertis, Federico Longhini, Serena Penpa, Michele Ubertazzi, Elena Panuccio, Paolo Aluffi, Stefano De Cillà, Matteo Brucoli, Rosanna Vaschetto, Gianmaria Cammarota
{"title":"在接受选择性手术的儿科患者中,通过电阻抗断层扫描评估肺通气模式:来自前瞻性和观察性数据登记的见解。","authors":"Daniela Rosalba, Grazia Meneghetti, Federico Verdina, Chiara Solai, Danila Azzolina, Laura Petronio, Matteo Guaraglia, Raffaella Buscaglia, Giulio Saviolo, Gaia Furlan, Filippo Vietti, Daniele Biasucci, Savino Spadaro, Rachele Simonte, Edoardo De Robertis, Federico Longhini, Serena Penpa, Michele Ubertazzi, Elena Panuccio, Paolo Aluffi, Stefano De Cillà, Matteo Brucoli, Rosanna Vaschetto, Gianmaria Cammarota","doi":"10.1186/s44158-025-00254-x","DOIUrl":null,"url":null,"abstract":"<p><strong>Background: </strong>The impact of anaesthesia on lung function during paediatric surgery remains an area of active investigation. Understanding respiratory mechanics under different anaesthetic approaches is crucial for optimising pulmonary management in this vulnerable population.</p><p><strong>Objective: </strong>To assess ventilation distribution changes during different phases of anaesthesia in paediatric patients, using electrical impedance tomography (EIT).</p><p><strong>Methods: </strong>This observational study included 76 paediatric surgical patients-57 under controlled mechanical ventilation (CMV) and 19 breathing spontaneously. EIT assessed lung ventilation at multiple timepoints (T1-T6), analyzing regional distribution (ROIs) and center of ventilation (CoV).</p><p><strong>Results: </strong>In the CMV group, ventilation progressively shifted toward ventral lung regions (p < 0.0001 from T1 to T2, T3, T4, T5) with a contemporaneously reduced ventilation switching from T1 to T2 (p = 0.005), T3 (p < 0.0001), T4 (p = 0.001), and T5 (p < 0.0001). Ventilation normalised upon restoration of spontaneous breathing at the end of surgery. In the same group, CoV shifted toward non-dependent lung regions from T1 to T2, T3, T4, and T5 (p < 0.0001) and returned to baseline at T6. Overall, no modifications were observed in the spontaneous breathing group.</p><p><strong>Conclusions: </strong>In paediatric surgical patients, contrariwise to spontaneous breath where no modifications occurred, CMV induced a progressive redistribution of ventilation towards the ventral lung regions, at the expense of the dorsal zones. These changes were reversible with the recovery of spontaneous breathing.</p><p><strong>Trial registration: </strong>NCT06370507.</p>","PeriodicalId":73597,"journal":{"name":"Journal of Anesthesia, Analgesia and Critical Care (Online)","volume":"5 1","pages":"34"},"PeriodicalIF":3.1000,"publicationDate":"2025-06-23","publicationTypes":"Journal Article","fieldsOfStudy":null,"isOpenAccess":false,"openAccessPdf":"https://www.ncbi.nlm.nih.gov/pmc/articles/PMC12183812/pdf/","citationCount":"0","resultStr":"{\"title\":\"Patterns of lung aeration assessed through electrical impedance tomography in paediatric patients undergoing elective surgery: insights from a prospective and observational data-registry.\",\"authors\":\"Daniela Rosalba, Grazia Meneghetti, Federico Verdina, Chiara Solai, Danila Azzolina, Laura Petronio, Matteo Guaraglia, Raffaella Buscaglia, Giulio Saviolo, Gaia Furlan, Filippo Vietti, Daniele Biasucci, Savino Spadaro, Rachele Simonte, Edoardo De Robertis, Federico Longhini, Serena Penpa, Michele Ubertazzi, Elena Panuccio, Paolo Aluffi, Stefano De Cillà, Matteo Brucoli, Rosanna Vaschetto, Gianmaria Cammarota\",\"doi\":\"10.1186/s44158-025-00254-x\",\"DOIUrl\":null,\"url\":null,\"abstract\":\"<p><strong>Background: </strong>The impact of anaesthesia on lung function during paediatric surgery remains an area of active investigation. Understanding respiratory mechanics under different anaesthetic approaches is crucial for optimising pulmonary management in this vulnerable population.</p><p><strong>Objective: </strong>To assess ventilation distribution changes during different phases of anaesthesia in paediatric patients, using electrical impedance tomography (EIT).</p><p><strong>Methods: </strong>This observational study included 76 paediatric surgical patients-57 under controlled mechanical ventilation (CMV) and 19 breathing spontaneously. EIT assessed lung ventilation at multiple timepoints (T1-T6), analyzing regional distribution (ROIs) and center of ventilation (CoV).</p><p><strong>Results: </strong>In the CMV group, ventilation progressively shifted toward ventral lung regions (p < 0.0001 from T1 to T2, T3, T4, T5) with a contemporaneously reduced ventilation switching from T1 to T2 (p = 0.005), T3 (p < 0.0001), T4 (p = 0.001), and T5 (p < 0.0001). Ventilation normalised upon restoration of spontaneous breathing at the end of surgery. In the same group, CoV shifted toward non-dependent lung regions from T1 to T2, T3, T4, and T5 (p < 0.0001) and returned to baseline at T6. Overall, no modifications were observed in the spontaneous breathing group.</p><p><strong>Conclusions: </strong>In paediatric surgical patients, contrariwise to spontaneous breath where no modifications occurred, CMV induced a progressive redistribution of ventilation towards the ventral lung regions, at the expense of the dorsal zones. These changes were reversible with the recovery of spontaneous breathing.</p><p><strong>Trial registration: </strong>NCT06370507.</p>\",\"PeriodicalId\":73597,\"journal\":{\"name\":\"Journal of Anesthesia, Analgesia and Critical Care (Online)\",\"volume\":\"5 1\",\"pages\":\"34\"},\"PeriodicalIF\":3.1000,\"publicationDate\":\"2025-06-23\",\"publicationTypes\":\"Journal Article\",\"fieldsOfStudy\":null,\"isOpenAccess\":false,\"openAccessPdf\":\"https://www.ncbi.nlm.nih.gov/pmc/articles/PMC12183812/pdf/\",\"citationCount\":\"0\",\"resultStr\":null,\"platform\":\"Semanticscholar\",\"paperid\":null,\"PeriodicalName\":\"Journal of Anesthesia, Analgesia and Critical Care (Online)\",\"FirstCategoryId\":\"1085\",\"ListUrlMain\":\"https://doi.org/10.1186/s44158-025-00254-x\",\"RegionNum\":0,\"RegionCategory\":null,\"ArticlePicture\":[],\"TitleCN\":null,\"AbstractTextCN\":null,\"PMCID\":null,\"EPubDate\":\"\",\"PubModel\":\"\",\"JCR\":\"\",\"JCRName\":\"\",\"Score\":null,\"Total\":0}","platform":"Semanticscholar","paperid":null,"PeriodicalName":"Journal of Anesthesia, Analgesia and Critical Care (Online)","FirstCategoryId":"1085","ListUrlMain":"https://doi.org/10.1186/s44158-025-00254-x","RegionNum":0,"RegionCategory":null,"ArticlePicture":[],"TitleCN":null,"AbstractTextCN":null,"PMCID":null,"EPubDate":"","PubModel":"","JCR":"","JCRName":"","Score":null,"Total":0}
引用次数: 0

摘要

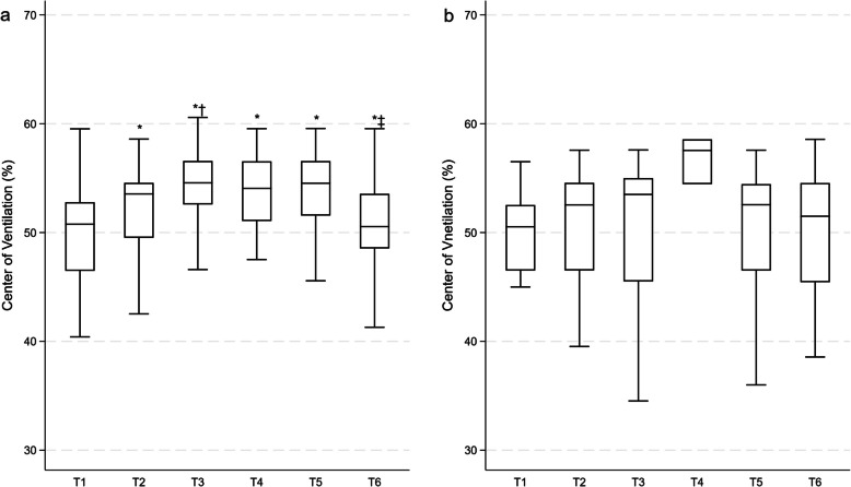
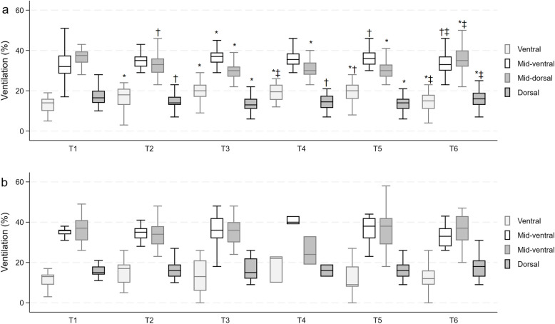
背景:麻醉对儿科手术中肺功能的影响仍然是一个积极研究的领域。了解不同麻醉方式下的呼吸力学对于优化这一易感人群的肺部管理至关重要。目的:应用电阻抗断层扫描(EIT)评价小儿麻醉不同阶段通气分布的变化。方法:本观察性研究纳入76例儿科外科患者,其中57例在控制机械通气(CMV)下,19例自主呼吸。EIT在多个时间点(T1-T6)评估肺通气,分析区域分布(roi)和通气中心(CoV)。结果:在CMV组中,通气逐渐向腹侧肺区转移(p结论:在儿科外科患者中,与自发呼吸相反,没有发生改变,CMV诱导通气逐渐向腹侧肺区重新分配,以牺牲背侧肺区为代价。随着自主呼吸的恢复,这些变化是可逆的。试验注册:NCT06370507。
本文章由计算机程序翻译,如有差异,请以英文原文为准。

Patterns of lung aeration assessed through electrical impedance tomography in paediatric patients undergoing elective surgery: insights from a prospective and observational data-registry.

Patterns of lung aeration assessed through electrical impedance tomography in paediatric patients undergoing elective surgery: insights from a prospective and observational data-registry.

Patterns of lung aeration assessed through electrical impedance tomography in paediatric patients undergoing elective surgery: insights from a prospective and observational data-registry.

Patterns of lung aeration assessed through electrical impedance tomography in paediatric patients undergoing elective surgery: insights from a prospective and observational data-registry.

Background: The impact of anaesthesia on lung function during paediatric surgery remains an area of active investigation. Understanding respiratory mechanics under different anaesthetic approaches is crucial for optimising pulmonary management in this vulnerable population.

Objective: To assess ventilation distribution changes during different phases of anaesthesia in paediatric patients, using electrical impedance tomography (EIT).

Methods: This observational study included 76 paediatric surgical patients-57 under controlled mechanical ventilation (CMV) and 19 breathing spontaneously. EIT assessed lung ventilation at multiple timepoints (T1-T6), analyzing regional distribution (ROIs) and center of ventilation (CoV).

Results: In the CMV group, ventilation progressively shifted toward ventral lung regions (p < 0.0001 from T1 to T2, T3, T4, T5) with a contemporaneously reduced ventilation switching from T1 to T2 (p = 0.005), T3 (p < 0.0001), T4 (p = 0.001), and T5 (p < 0.0001). Ventilation normalised upon restoration of spontaneous breathing at the end of surgery. In the same group, CoV shifted toward non-dependent lung regions from T1 to T2, T3, T4, and T5 (p < 0.0001) and returned to baseline at T6. Overall, no modifications were observed in the spontaneous breathing group.

Conclusions: In paediatric surgical patients, contrariwise to spontaneous breath where no modifications occurred, CMV induced a progressive redistribution of ventilation towards the ventral lung regions, at the expense of the dorsal zones. These changes were reversible with the recovery of spontaneous breathing.

Trial registration: NCT06370507.

求助全文
通过发布文献求助,成功后即可免费获取论文全文。 去求助
来源期刊
CiteScore
1.40
自引率
0.00%
发文量
0
×
引用
GB/T 7714-2015
复制
MLA
复制
APA
复制
导出至
BibTeX EndNote RefMan NoteFirst NoteExpress
×
提示
您的信息不完整,为了账户安全,请先补充。
现在去补充
×
提示
您因"违规操作"
具体请查看互助需知
我知道了
×
提示
确定
请完成安全验证×
copy
已复制链接
快去分享给好友吧!
我知道了
右上角分享
点击右上角分享
0
联系我们:info@booksci.cn Book学术提供免费学术资源搜索服务,方便国内外学者检索中英文文献。致力于提供最便捷和优质的服务体验。 Copyright © 2023 布克学术 All rights reserved.
京ICP备2023020795号-1
ghs 京公网安备 11010802042870号
Book学术文献互助
Book学术文献互助群
群 号:604180095
Book学术官方微信