膝关节镜检查后半月板损伤和软骨软化对患者报告的生活质量、社会支持和心理健康的影响

IF 1.9 4区 医学 Q2 SURGERY
Videosurgery and Other Miniinvasive Techniques Pub Date : 2025-01-03 eCollection Date: 2025-04-09 DOI:10.20452/wiitm.2025.17923
Bartosz Turoń, Damian Małkowski, Maria Zabrzyńska, Krzysztof Buczkowski, Piotr Błaszak, Jakub Ohla, Michał Wilk, Janet Olagbaju, Agnieszka Witowska, Jan Zabrzyński
{"title":"膝关节镜检查后半月板损伤和软骨软化对患者报告的生活质量、社会支持和心理健康的影响","authors":"Bartosz Turoń, Damian Małkowski, Maria Zabrzyńska, Krzysztof Buczkowski, Piotr Błaszak, Jakub Ohla, Michał Wilk, Janet Olagbaju, Agnieszka Witowska, Jan Zabrzyński","doi":"10.20452/wiitm.2025.17923","DOIUrl":null,"url":null,"abstract":"<p><strong>Introduction: </strong>Meniscal tears and chondromalacia patellae (CP) are among the most common knee pathologies treated with arthroscopic partial meniscectomy. Chronic knee pain impairs mobility, functionality, and the overall quality of life (QOL).</p><p><strong>Aim: </strong>The study evaluates the relationship between meniscus injury and early-stage CP found intraoperatively, and pre- and postoperative patient-reported QOL, perceived social support, and mental health. MATERIALS AND METHODS Patients who underwent knee arthroscopy for meniscal and cartilage abnormality, without reconstructive or restorative procedures, between 2019 and 2021, were prospectively enrolled in this study.</p><p><strong>Methods: </strong>Patients who underwent knee arthroscopy for meniscal and cartilage abnormality, without reconstructive or restorative procedures, between 2019 and 2021, were prospectively enrolled in this study.</p><p><strong>Results: </strong>We observed a significant rise in the pre- and postoperative scores on the World Health Organization QOL Brief Version (WHOQOL-BREF) scale for various meniscal tears and different types of CP (grade 0-IV) in almost all domains. Education level did not significantly affect the WHOQOL-BREF assessment, and we found no statistical correlation between preoperative WHOQOL-BREF score in all domains and waiting time for surgery. However, there were significant differences between white- and blue-collar employees in the domains 1 and 2, that is, physical and psychological health.</p><p><strong>Conclusions: </strong>The study shows that the measured QOL improves in patients operated at the early stages of CP. Moreover, when both menisci are involved in the pathological process, the clinical outcomes are inferior. The education level and waiting time for surgery had no impact on QOL, contrary to the type of work, as white-collar workers had better outcomes in physical and psychological health domains.</p>","PeriodicalId":49361,"journal":{"name":"Videosurgery and Other Miniinvasive Techniques","volume":"20 1","pages":"84-92"},"PeriodicalIF":1.9000,"publicationDate":"2025-01-03","publicationTypes":"Journal Article","fieldsOfStudy":null,"isOpenAccess":false,"openAccessPdf":"https://www.ncbi.nlm.nih.gov/pmc/articles/PMC12177348/pdf/","citationCount":"0","resultStr":"{\"title\":\"Impact of meniscus injury and chondromalacia on the patient‑reported quality of life, social support, and mental health following knee arthroscopy.\",\"authors\":\"Bartosz Turoń, Damian Małkowski, Maria Zabrzyńska, Krzysztof Buczkowski, Piotr Błaszak, Jakub Ohla, Michał Wilk, Janet Olagbaju, Agnieszka Witowska, Jan Zabrzyński\",\"doi\":\"10.20452/wiitm.2025.17923\",\"DOIUrl\":null,\"url\":null,\"abstract\":\"<p><strong>Introduction: </strong>Meniscal tears and chondromalacia patellae (CP) are among the most common knee pathologies treated with arthroscopic partial meniscectomy. Chronic knee pain impairs mobility, functionality, and the overall quality of life (QOL).</p><p><strong>Aim: </strong>The study evaluates the relationship between meniscus injury and early-stage CP found intraoperatively, and pre- and postoperative patient-reported QOL, perceived social support, and mental health. MATERIALS AND METHODS Patients who underwent knee arthroscopy for meniscal and cartilage abnormality, without reconstructive or restorative procedures, between 2019 and 2021, were prospectively enrolled in this study.</p><p><strong>Methods: </strong>Patients who underwent knee arthroscopy for meniscal and cartilage abnormality, without reconstructive or restorative procedures, between 2019 and 2021, were prospectively enrolled in this study.</p><p><strong>Results: </strong>We observed a significant rise in the pre- and postoperative scores on the World Health Organization QOL Brief Version (WHOQOL-BREF) scale for various meniscal tears and different types of CP (grade 0-IV) in almost all domains. Education level did not significantly affect the WHOQOL-BREF assessment, and we found no statistical correlation between preoperative WHOQOL-BREF score in all domains and waiting time for surgery. However, there were significant differences between white- and blue-collar employees in the domains 1 and 2, that is, physical and psychological health.</p><p><strong>Conclusions: </strong>The study shows that the measured QOL improves in patients operated at the early stages of CP. Moreover, when both menisci are involved in the pathological process, the clinical outcomes are inferior. The education level and waiting time for surgery had no impact on QOL, contrary to the type of work, as white-collar workers had better outcomes in physical and psychological health domains.</p>\",\"PeriodicalId\":49361,\"journal\":{\"name\":\"Videosurgery and Other Miniinvasive Techniques\",\"volume\":\"20 1\",\"pages\":\"84-92\"},\"PeriodicalIF\":1.9000,\"publicationDate\":\"2025-01-03\",\"publicationTypes\":\"Journal Article\",\"fieldsOfStudy\":null,\"isOpenAccess\":false,\"openAccessPdf\":\"https://www.ncbi.nlm.nih.gov/pmc/articles/PMC12177348/pdf/\",\"citationCount\":\"0\",\"resultStr\":null,\"platform\":\"Semanticscholar\",\"paperid\":null,\"PeriodicalName\":\"Videosurgery and Other Miniinvasive Techniques\",\"FirstCategoryId\":\"3\",\"ListUrlMain\":\"https://doi.org/10.20452/wiitm.2025.17923\",\"RegionNum\":4,\"RegionCategory\":\"医学\",\"ArticlePicture\":[],\"TitleCN\":null,\"AbstractTextCN\":null,\"PMCID\":null,\"EPubDate\":\"2025/4/9 0:00:00\",\"PubModel\":\"eCollection\",\"JCR\":\"Q2\",\"JCRName\":\"SURGERY\",\"Score\":null,\"Total\":0}","platform":"Semanticscholar","paperid":null,"PeriodicalName":"Videosurgery and Other Miniinvasive Techniques","FirstCategoryId":"3","ListUrlMain":"https://doi.org/10.20452/wiitm.2025.17923","RegionNum":4,"RegionCategory":"医学","ArticlePicture":[],"TitleCN":null,"AbstractTextCN":null,"PMCID":null,"EPubDate":"2025/4/9 0:00:00","PubModel":"eCollection","JCR":"Q2","JCRName":"SURGERY","Score":null,"Total":0}
引用次数: 0

摘要

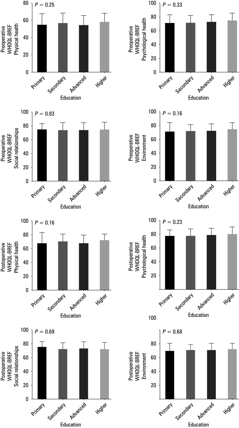
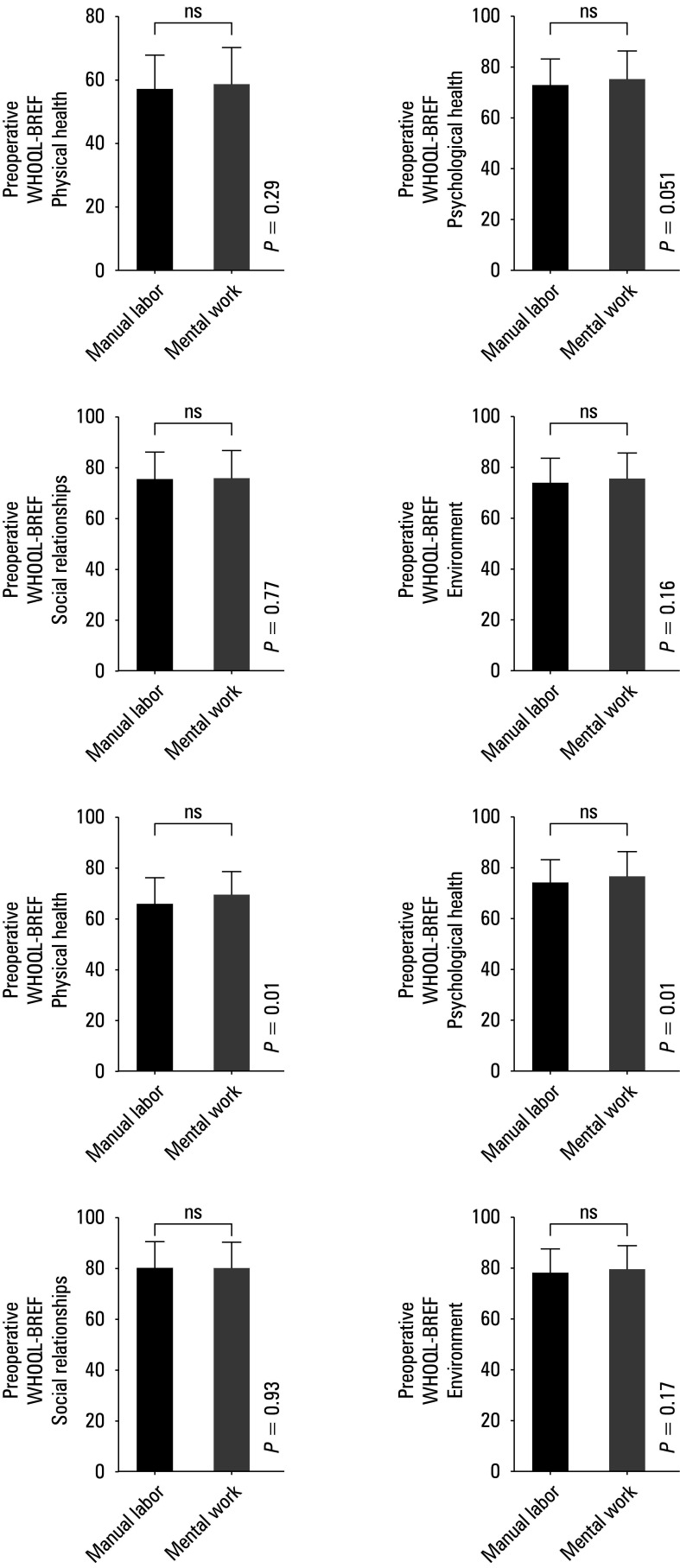
半月板撕裂和髌骨软骨软化症(CP)是关节镜下半月板部分切除术治疗的最常见的膝关节病变。慢性膝关节疼痛损害活动、功能和整体生活质量(QOL)。目的:研究半月板损伤与术中发现的早期CP、术前和术后患者报告的生活质量、感知的社会支持和心理健康之间的关系。材料和方法前瞻性纳入2019年至2021年期间因半月板和软骨异常接受膝关节镜检查且未进行重建或修复手术的患者。方法:前瞻性纳入2019年至2021年期间因半月板和软骨异常接受膝关节镜检查且未进行重建或修复手术的患者。结果:我们观察到世界卫生组织生活质量简要版(WHOQOL-BREF)量表对各种半月板撕裂和不同类型的CP (0-IV级)在几乎所有领域的术前和术后评分均有显著升高。教育程度对WHOQOL-BREF评估无显著影响,术前各领域WHOQOL-BREF评分与手术等待时间无统计学相关性。然而,白领和蓝领员工在领域1和2,即生理和心理健康方面存在显著差异。结论:研究表明,CP早期手术患者的生活质量得到改善,而当双半月板均参与病理过程时,临床结果较差。受教育程度和手术等待时间对生活质量没有影响,与工作类型相反,白领在生理和心理健康领域的结果更好。
本文章由计算机程序翻译,如有差异,请以英文原文为准。

Impact of meniscus injury and chondromalacia on the patient‑reported quality of life, social support, and mental health following knee arthroscopy.

Impact of meniscus injury and chondromalacia on the patient‑reported quality of life, social support, and mental health following knee arthroscopy.

Impact of meniscus injury and chondromalacia on the patient‑reported quality of life, social support, and mental health following knee arthroscopy.

Impact of meniscus injury and chondromalacia on the patient‑reported quality of life, social support, and mental health following knee arthroscopy.

Introduction: Meniscal tears and chondromalacia patellae (CP) are among the most common knee pathologies treated with arthroscopic partial meniscectomy. Chronic knee pain impairs mobility, functionality, and the overall quality of life (QOL).

Aim: The study evaluates the relationship between meniscus injury and early-stage CP found intraoperatively, and pre- and postoperative patient-reported QOL, perceived social support, and mental health. MATERIALS AND METHODS Patients who underwent knee arthroscopy for meniscal and cartilage abnormality, without reconstructive or restorative procedures, between 2019 and 2021, were prospectively enrolled in this study.

Methods: Patients who underwent knee arthroscopy for meniscal and cartilage abnormality, without reconstructive or restorative procedures, between 2019 and 2021, were prospectively enrolled in this study.

Results: We observed a significant rise in the pre- and postoperative scores on the World Health Organization QOL Brief Version (WHOQOL-BREF) scale for various meniscal tears and different types of CP (grade 0-IV) in almost all domains. Education level did not significantly affect the WHOQOL-BREF assessment, and we found no statistical correlation between preoperative WHOQOL-BREF score in all domains and waiting time for surgery. However, there were significant differences between white- and blue-collar employees in the domains 1 and 2, that is, physical and psychological health.

Conclusions: The study shows that the measured QOL improves in patients operated at the early stages of CP. Moreover, when both menisci are involved in the pathological process, the clinical outcomes are inferior. The education level and waiting time for surgery had no impact on QOL, contrary to the type of work, as white-collar workers had better outcomes in physical and psychological health domains.

求助全文
通过发布文献求助,成功后即可免费获取论文全文。 去求助
来源期刊
CiteScore
2.80
自引率
23.50%
发文量
48
审稿时长
12 weeks
期刊介绍: Videosurgery and other miniinvasive techniques serves as a forum for exchange of multidisciplinary experiences in fields such as: surgery, gynaecology, urology, gastroenterology, neurosurgery, ENT surgery, cardiac surgery, anaesthesiology and radiology, as well as other branches of medicine dealing with miniinvasive techniques.
×
引用
GB/T 7714-2015
复制
MLA
复制
APA
复制
导出至
BibTeX EndNote RefMan NoteFirst NoteExpress
×
提示
您的信息不完整,为了账户安全,请先补充。
现在去补充
×
提示
您因"违规操作"
具体请查看互助需知
我知道了
×
提示
确定
请完成安全验证×
copy
已复制链接
快去分享给好友吧!
我知道了
右上角分享
点击右上角分享
0
联系我们:info@booksci.cn Book学术提供免费学术资源搜索服务,方便国内外学者检索中英文文献。致力于提供最便捷和优质的服务体验。 Copyright © 2023 布克学术 All rights reserved.
京ICP备2023020795号-1
ghs 京公网安备 11010802042870号
Book学术文献互助
Book学术文献互助群
群 号:604180095
Book学术官方微信