网络枪支安全伤害预防资源的内容评估和可读性:医院和国家伤害预防文献的横断面分析

IF 2.2 Q3 CRITICAL CARE MEDICINE
Trauma Surgery & Acute Care Open Pub Date : 2025-06-22 eCollection Date: 2025-01-01 DOI:10.1136/tsaco-2024-001665
Arnav Mahajan, Pooja Podugu, Nicholas Beattie, Anthony Zalewski, Megen Simpson, Sarah A Sweeney, Vanessa P Ho
{"title":"网络枪支安全伤害预防资源的内容评估和可读性:医院和国家伤害预防文献的横断面分析","authors":"Arnav Mahajan, Pooja Podugu, Nicholas Beattie, Anthony Zalewski, Megen Simpson, Sarah A Sweeney, Vanessa P Ho","doi":"10.1136/tsaco-2024-001665","DOIUrl":null,"url":null,"abstract":"<p><strong>Background: </strong>Firearm-related injuries are a preventable public health epidemic and the leading cause of pediatric death in America. Online injury prevention resources (OIPRs) offer potential for educating the public on firearm safety. National public health organizations recommend a sixth-grade reading level for these resources. We hypothesize that OIPRs for firearm safety may not meet this standard and are inconsistent in content.</p><p><strong>Methods: </strong>We analyzed firearm injury OIPRs from three sources: verified trauma centers (TCs), national health organizations, and gun violence prevention advocacy groups. We assessed readability using reading time, Flesch-Kincaid grade level, and Flesch reading ease. We also assessed whether OIPRs included child safety, safe handling, and safe storage of firearms.</p><p><strong>Results: </strong>Among 587 TCs, 105 had publicly accessible OIPRs. After removing duplicates, we analyzed 53 unique hospital OIPRs, 25 from national organizations, and 8 from advocacy groups. The mean reading time of hospital-based OIPRs was 2 min and 49 s, and 5 min and 30 s for advocacy organizations. The average Flesch-Kincaid Grade Level for hospital OIPRs was 8.2, national organizations 8.4, and advocacy groups 9.7. Only 21% of hospital and 22% of national OIPRs met the sixth-grade level; none of the advocacy groups met this standard. 79% of hospital-based OIPRs content related to child safety, compared with 44% of national organizations and none of the advocacy groups. Only 21% of TCs and no advocacy groups provided information on safe handling practices.</p><p><strong>Conclusion: </strong>Few OIPRs meet recommended readability guidelines and often fail to address key topics such as child safety or safe handling of firearms. This gap in accessible educational information highlights the need for standardized resources to reduce firearm injury. Future research should aim to improve these resources to ensure usability and effective outreach to our communities.</p>","PeriodicalId":23307,"journal":{"name":"Trauma Surgery & Acute Care Open","volume":"10 2","pages":"e001665"},"PeriodicalIF":2.2000,"publicationDate":"2025-06-22","publicationTypes":"Journal Article","fieldsOfStudy":null,"isOpenAccess":false,"openAccessPdf":"https://www.ncbi.nlm.nih.gov/pmc/articles/PMC12184382/pdf/","citationCount":"0","resultStr":"{\"title\":\"Content assessment and readability of online injury prevention resources on firearm safety: a cross-sectional analysis of hospital and national injury prevention literature.\",\"authors\":\"Arnav Mahajan, Pooja Podugu, Nicholas Beattie, Anthony Zalewski, Megen Simpson, Sarah A Sweeney, Vanessa P Ho\",\"doi\":\"10.1136/tsaco-2024-001665\",\"DOIUrl\":null,\"url\":null,\"abstract\":\"<p><strong>Background: </strong>Firearm-related injuries are a preventable public health epidemic and the leading cause of pediatric death in America. Online injury prevention resources (OIPRs) offer potential for educating the public on firearm safety. National public health organizations recommend a sixth-grade reading level for these resources. We hypothesize that OIPRs for firearm safety may not meet this standard and are inconsistent in content.</p><p><strong>Methods: </strong>We analyzed firearm injury OIPRs from three sources: verified trauma centers (TCs), national health organizations, and gun violence prevention advocacy groups. We assessed readability using reading time, Flesch-Kincaid grade level, and Flesch reading ease. We also assessed whether OIPRs included child safety, safe handling, and safe storage of firearms.</p><p><strong>Results: </strong>Among 587 TCs, 105 had publicly accessible OIPRs. After removing duplicates, we analyzed 53 unique hospital OIPRs, 25 from national organizations, and 8 from advocacy groups. The mean reading time of hospital-based OIPRs was 2 min and 49 s, and 5 min and 30 s for advocacy organizations. The average Flesch-Kincaid Grade Level for hospital OIPRs was 8.2, national organizations 8.4, and advocacy groups 9.7. Only 21% of hospital and 22% of national OIPRs met the sixth-grade level; none of the advocacy groups met this standard. 79% of hospital-based OIPRs content related to child safety, compared with 44% of national organizations and none of the advocacy groups. Only 21% of TCs and no advocacy groups provided information on safe handling practices.</p><p><strong>Conclusion: </strong>Few OIPRs meet recommended readability guidelines and often fail to address key topics such as child safety or safe handling of firearms. This gap in accessible educational information highlights the need for standardized resources to reduce firearm injury. Future research should aim to improve these resources to ensure usability and effective outreach to our communities.</p>\",\"PeriodicalId\":23307,\"journal\":{\"name\":\"Trauma Surgery & Acute Care Open\",\"volume\":\"10 2\",\"pages\":\"e001665\"},\"PeriodicalIF\":2.2000,\"publicationDate\":\"2025-06-22\",\"publicationTypes\":\"Journal Article\",\"fieldsOfStudy\":null,\"isOpenAccess\":false,\"openAccessPdf\":\"https://www.ncbi.nlm.nih.gov/pmc/articles/PMC12184382/pdf/\",\"citationCount\":\"0\",\"resultStr\":null,\"platform\":\"Semanticscholar\",\"paperid\":null,\"PeriodicalName\":\"Trauma Surgery & Acute Care Open\",\"FirstCategoryId\":\"1085\",\"ListUrlMain\":\"https://doi.org/10.1136/tsaco-2024-001665\",\"RegionNum\":0,\"RegionCategory\":null,\"ArticlePicture\":[],\"TitleCN\":null,\"AbstractTextCN\":null,\"PMCID\":null,\"EPubDate\":\"2025/1/1 0:00:00\",\"PubModel\":\"eCollection\",\"JCR\":\"Q3\",\"JCRName\":\"CRITICAL CARE MEDICINE\",\"Score\":null,\"Total\":0}","platform":"Semanticscholar","paperid":null,"PeriodicalName":"Trauma Surgery & Acute Care Open","FirstCategoryId":"1085","ListUrlMain":"https://doi.org/10.1136/tsaco-2024-001665","RegionNum":0,"RegionCategory":null,"ArticlePicture":[],"TitleCN":null,"AbstractTextCN":null,"PMCID":null,"EPubDate":"2025/1/1 0:00:00","PubModel":"eCollection","JCR":"Q3","JCRName":"CRITICAL CARE MEDICINE","Score":null,"Total":0}
引用次数: 0

摘要

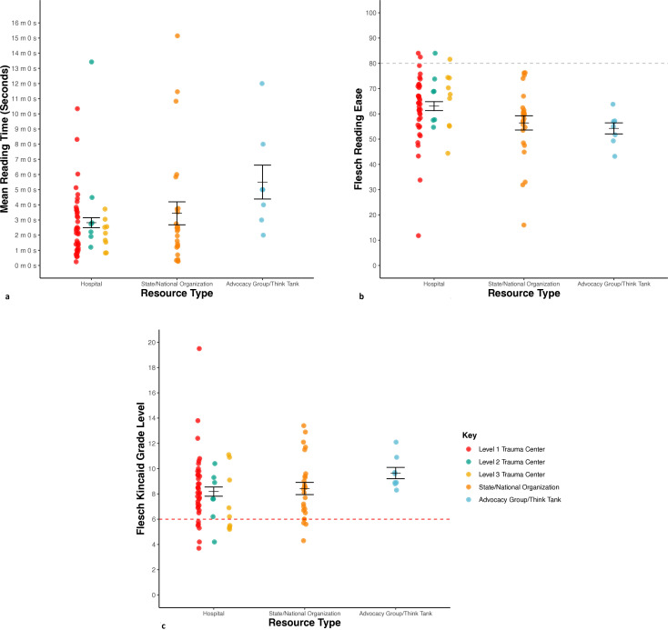
背景:枪支相关伤害是一种可预防的公共卫生流行病,也是美国儿童死亡的主要原因。在线伤害预防资源(oipr)为教育公众枪支安全提供了潜力。国家公共卫生组织建议这些资源的阅读水平为六年级。我们假设枪支安全的oipr可能不符合这一标准,并且在内容上不一致。方法:我们分析了来自三个来源的枪支伤害oipr:经核实的创伤中心(tc)、国家卫生组织和枪支暴力预防倡导团体。我们使用阅读时间、Flesch- kinkaid年级水平和Flesch阅读难易度来评估可读性。我们还评估了oipr是否包括儿童安全、安全处理和安全储存枪支。结果:587家医院中,有105家医院的oipr可公开获取。在去除重复项后,我们分析了53个独特的医院oipr, 25个来自国家组织,8个来自倡导团体。基于医院的oipr的平均阅读时间为2分49秒,倡导组织的平均阅读时间为5分30秒。医院oipr的平均flesch - kinkaid等级为8.2,国家组织为8.4,倡导团体为9.7。只有21%的医院和22%的国家oipr达到6级水平;没有一个倡导团体达到这个标准。79%以医院为基础的oipr内容与儿童安全有关,相比之下,44%的国家组织和任何倡导团体都没有。只有21%的tc和没有倡导团体提供有关安全处理做法的信息。结论:很少有oipr符合建议的可读性指南,而且往往不能解决诸如儿童安全或安全处理枪支等关键问题。教育信息可及性方面的差距突出表明,需要标准化的资源来减少枪支伤害。未来的研究应该致力于改善这些资源,以确保我们社区的可用性和有效的外展。
本文章由计算机程序翻译,如有差异,请以英文原文为准。

Content assessment and readability of online injury prevention resources on firearm safety: a cross-sectional analysis of hospital and national injury prevention literature.

Content assessment and readability of online injury prevention resources on firearm safety: a cross-sectional analysis of hospital and national injury prevention literature.

Background: Firearm-related injuries are a preventable public health epidemic and the leading cause of pediatric death in America. Online injury prevention resources (OIPRs) offer potential for educating the public on firearm safety. National public health organizations recommend a sixth-grade reading level for these resources. We hypothesize that OIPRs for firearm safety may not meet this standard and are inconsistent in content.

Methods: We analyzed firearm injury OIPRs from three sources: verified trauma centers (TCs), national health organizations, and gun violence prevention advocacy groups. We assessed readability using reading time, Flesch-Kincaid grade level, and Flesch reading ease. We also assessed whether OIPRs included child safety, safe handling, and safe storage of firearms.

Results: Among 587 TCs, 105 had publicly accessible OIPRs. After removing duplicates, we analyzed 53 unique hospital OIPRs, 25 from national organizations, and 8 from advocacy groups. The mean reading time of hospital-based OIPRs was 2 min and 49 s, and 5 min and 30 s for advocacy organizations. The average Flesch-Kincaid Grade Level for hospital OIPRs was 8.2, national organizations 8.4, and advocacy groups 9.7. Only 21% of hospital and 22% of national OIPRs met the sixth-grade level; none of the advocacy groups met this standard. 79% of hospital-based OIPRs content related to child safety, compared with 44% of national organizations and none of the advocacy groups. Only 21% of TCs and no advocacy groups provided information on safe handling practices.

Conclusion: Few OIPRs meet recommended readability guidelines and often fail to address key topics such as child safety or safe handling of firearms. This gap in accessible educational information highlights the need for standardized resources to reduce firearm injury. Future research should aim to improve these resources to ensure usability and effective outreach to our communities.

求助全文
通过发布文献求助,成功后即可免费获取论文全文。 去求助
来源期刊
CiteScore
3.70
自引率
5.00%
发文量
71
审稿时长
12 weeks
×
引用
GB/T 7714-2015
复制
MLA
复制
APA
复制
导出至
BibTeX EndNote RefMan NoteFirst NoteExpress
×
提示
您的信息不完整,为了账户安全,请先补充。
现在去补充
×
提示
您因"违规操作"
具体请查看互助需知
我知道了
×
提示
确定
请完成安全验证×
copy
已复制链接
快去分享给好友吧!
我知道了
右上角分享
点击右上角分享
0
联系我们:info@booksci.cn Book学术提供免费学术资源搜索服务,方便国内外学者检索中英文文献。致力于提供最便捷和优质的服务体验。 Copyright © 2023 布克学术 All rights reserved.
京ICP备2023020795号-1
ghs 京公网安备 11010802042870号
Book学术文献互助
Book学术文献互助群
群 号:604180095
Book学术官方微信