肝动脉输注化疗联合阿帕替尼/卡莫来珠单抗治疗肝切除术后复发性肝癌。

IF 3.4 3区 医学 Q2 ONCOLOGY
Journal of Hepatocellular Carcinoma Pub Date : 2025-06-17 eCollection Date: 2025-01-01 DOI:10.2147/JHC.S520430
Xin Zheng, Kun Qian
{"title":"肝动脉输注化疗联合阿帕替尼/卡莫来珠单抗治疗肝切除术后复发性肝癌。","authors":"Xin Zheng, Kun Qian","doi":"10.2147/JHC.S520430","DOIUrl":null,"url":null,"abstract":"<p><strong>Background: </strong>This study aimed to assess the efficacy and safety of hepatic arterial infusion chemotherapy (HAIC) combined with apatinib and camrelizumab in patients with recurrent hepatocellular carcinoma (HCC) following hepatectomy.</p><p><strong>Methods: </strong>From July 2020 to December 2024, consecutive medical records of recurrent HCC patients treated with HAIC plus apatinib/camrelizumab were retrospectively reviewed. Key outcomes, including overall survival (OS), progression-free survival (PFS), therapeutic response, and treatment-related complications, were evaluated.</p><p><strong>Results: </strong>The study was followed up until January 31, 2025, with a median follow-up duration of 11 months (range: 2-26 months). Among the 110 eligible recurrent HCC patients (91 males and 19 females), 62 deaths were recorded. The objective response rate (ORR) was 31.8%, and the disease control rate (DCR) was 87.3%. The median OS was 14 months (95% CI: 12.9-15.1 months), with multivariable analysis identifying vascular invasion as an independent prognostic factor for OS. The median PFS was 7 months (95% CI: 5.3-8.7 months), and the platelet-to-lymphocyte ratio was found to be an independent prognostic factor for PFS. All adverse events were manageable, and no treatment-related deaths occurred.</p><p><strong>Conclusion: </strong>HAIC combined with apatinib/camrelizumab is effective and safe in the treatment of recurrent HCC after hepatectomy, which may be a promising treatment for recurrent HCC.</p>","PeriodicalId":15906,"journal":{"name":"Journal of Hepatocellular Carcinoma","volume":"12 ","pages":"1205-1215"},"PeriodicalIF":3.4000,"publicationDate":"2025-06-17","publicationTypes":"Journal Article","fieldsOfStudy":null,"isOpenAccess":false,"openAccessPdf":"https://www.ncbi.nlm.nih.gov/pmc/articles/PMC12182073/pdf/","citationCount":"0","resultStr":"{\"title\":\"Hepatic Arterial Infusion Chemotherapy Combined Apatinib/Camrelizumab for Recurrent Hepatocellular Carcinoma After Hepatectomy.\",\"authors\":\"Xin Zheng, Kun Qian\",\"doi\":\"10.2147/JHC.S520430\",\"DOIUrl\":null,\"url\":null,\"abstract\":\"<p><strong>Background: </strong>This study aimed to assess the efficacy and safety of hepatic arterial infusion chemotherapy (HAIC) combined with apatinib and camrelizumab in patients with recurrent hepatocellular carcinoma (HCC) following hepatectomy.</p><p><strong>Methods: </strong>From July 2020 to December 2024, consecutive medical records of recurrent HCC patients treated with HAIC plus apatinib/camrelizumab were retrospectively reviewed. Key outcomes, including overall survival (OS), progression-free survival (PFS), therapeutic response, and treatment-related complications, were evaluated.</p><p><strong>Results: </strong>The study was followed up until January 31, 2025, with a median follow-up duration of 11 months (range: 2-26 months). Among the 110 eligible recurrent HCC patients (91 males and 19 females), 62 deaths were recorded. The objective response rate (ORR) was 31.8%, and the disease control rate (DCR) was 87.3%. The median OS was 14 months (95% CI: 12.9-15.1 months), with multivariable analysis identifying vascular invasion as an independent prognostic factor for OS. The median PFS was 7 months (95% CI: 5.3-8.7 months), and the platelet-to-lymphocyte ratio was found to be an independent prognostic factor for PFS. All adverse events were manageable, and no treatment-related deaths occurred.</p><p><strong>Conclusion: </strong>HAIC combined with apatinib/camrelizumab is effective and safe in the treatment of recurrent HCC after hepatectomy, which may be a promising treatment for recurrent HCC.</p>\",\"PeriodicalId\":15906,\"journal\":{\"name\":\"Journal of Hepatocellular Carcinoma\",\"volume\":\"12 \",\"pages\":\"1205-1215\"},\"PeriodicalIF\":3.4000,\"publicationDate\":\"2025-06-17\",\"publicationTypes\":\"Journal Article\",\"fieldsOfStudy\":null,\"isOpenAccess\":false,\"openAccessPdf\":\"https://www.ncbi.nlm.nih.gov/pmc/articles/PMC12182073/pdf/\",\"citationCount\":\"0\",\"resultStr\":null,\"platform\":\"Semanticscholar\",\"paperid\":null,\"PeriodicalName\":\"Journal of Hepatocellular Carcinoma\",\"FirstCategoryId\":\"3\",\"ListUrlMain\":\"https://doi.org/10.2147/JHC.S520430\",\"RegionNum\":3,\"RegionCategory\":\"医学\",\"ArticlePicture\":[],\"TitleCN\":null,\"AbstractTextCN\":null,\"PMCID\":null,\"EPubDate\":\"2025/1/1 0:00:00\",\"PubModel\":\"eCollection\",\"JCR\":\"Q2\",\"JCRName\":\"ONCOLOGY\",\"Score\":null,\"Total\":0}","platform":"Semanticscholar","paperid":null,"PeriodicalName":"Journal of Hepatocellular Carcinoma","FirstCategoryId":"3","ListUrlMain":"https://doi.org/10.2147/JHC.S520430","RegionNum":3,"RegionCategory":"医学","ArticlePicture":[],"TitleCN":null,"AbstractTextCN":null,"PMCID":null,"EPubDate":"2025/1/1 0:00:00","PubModel":"eCollection","JCR":"Q2","JCRName":"ONCOLOGY","Score":null,"Total":0}
引用次数: 0

摘要

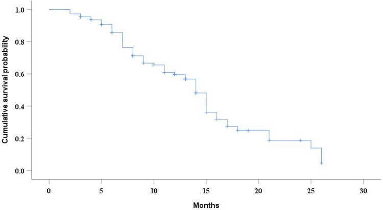
背景:本研究旨在评估肝动脉灌注化疗(HAIC)联合阿帕替尼和camrelizumab治疗肝切除术后复发性肝癌(HCC)患者的疗效和安全性。方法:回顾性分析2020年7月至2024年12月连续接受HAIC联合阿帕替尼/卡莫来珠单抗治疗的复发性HCC患者的病历。评估主要结局,包括总生存期(OS)、无进展生存期(PFS)、治疗反应和治疗相关并发症。结果:研究随访至2025年1月31日,中位随访时间11个月(范围:2-26个月)。在110例符合条件的HCC复发患者(91例男性,19例女性)中,有62例死亡。客观有效率(ORR)为31.8%,疾病控制率(DCR)为87.3%。中位生存期为14个月(95% CI: 12.9-15.1个月),多变量分析确定血管侵犯是生存期的独立预后因素。中位PFS为7个月(95% CI: 5.3-8.7个月),血小板与淋巴细胞比率是PFS的独立预后因素。所有不良事件均在可控范围内,未发生与治疗相关的死亡。结论:HAIC联合阿帕替尼/camrelizumab治疗肝切除术后复发性HCC有效、安全,可能是一种有前景的治疗复发性HCC的方法。
本文章由计算机程序翻译,如有差异,请以英文原文为准。

Hepatic Arterial Infusion Chemotherapy Combined Apatinib/Camrelizumab for Recurrent Hepatocellular Carcinoma After Hepatectomy.

Hepatic Arterial Infusion Chemotherapy Combined Apatinib/Camrelizumab for Recurrent Hepatocellular Carcinoma After Hepatectomy.

Hepatic Arterial Infusion Chemotherapy Combined Apatinib/Camrelizumab for Recurrent Hepatocellular Carcinoma After Hepatectomy.

Hepatic Arterial Infusion Chemotherapy Combined Apatinib/Camrelizumab for Recurrent Hepatocellular Carcinoma After Hepatectomy.

Background: This study aimed to assess the efficacy and safety of hepatic arterial infusion chemotherapy (HAIC) combined with apatinib and camrelizumab in patients with recurrent hepatocellular carcinoma (HCC) following hepatectomy.

Methods: From July 2020 to December 2024, consecutive medical records of recurrent HCC patients treated with HAIC plus apatinib/camrelizumab were retrospectively reviewed. Key outcomes, including overall survival (OS), progression-free survival (PFS), therapeutic response, and treatment-related complications, were evaluated.

Results: The study was followed up until January 31, 2025, with a median follow-up duration of 11 months (range: 2-26 months). Among the 110 eligible recurrent HCC patients (91 males and 19 females), 62 deaths were recorded. The objective response rate (ORR) was 31.8%, and the disease control rate (DCR) was 87.3%. The median OS was 14 months (95% CI: 12.9-15.1 months), with multivariable analysis identifying vascular invasion as an independent prognostic factor for OS. The median PFS was 7 months (95% CI: 5.3-8.7 months), and the platelet-to-lymphocyte ratio was found to be an independent prognostic factor for PFS. All adverse events were manageable, and no treatment-related deaths occurred.

Conclusion: HAIC combined with apatinib/camrelizumab is effective and safe in the treatment of recurrent HCC after hepatectomy, which may be a promising treatment for recurrent HCC.

求助全文
通过发布文献求助,成功后即可免费获取论文全文。 去求助
来源期刊
CiteScore
0.50
自引率
2.40%
发文量
108
审稿时长
16 weeks
×
引用
GB/T 7714-2015
复制
MLA
复制
APA
复制
导出至
BibTeX EndNote RefMan NoteFirst NoteExpress
×
提示
您的信息不完整,为了账户安全,请先补充。
现在去补充
×
提示
您因"违规操作"
具体请查看互助需知
我知道了
×
提示
确定
请完成安全验证×
copy
已复制链接
快去分享给好友吧!
我知道了
右上角分享
点击右上角分享
0
联系我们:info@booksci.cn Book学术提供免费学术资源搜索服务,方便国内外学者检索中英文文献。致力于提供最便捷和优质的服务体验。 Copyright © 2023 布克学术 All rights reserved.
京ICP备2023020795号-1
ghs 京公网安备 11010802042870号
Book学术文献互助
Book学术文献互助群
群 号:604180095
Book学术官方微信