基于app的德国职业学校学生成瘾预防项目的预防需求和目标行为偏好:聚类随机对照试验

IF 6.2 2区 医学 Q1 HEALTH CARE SCIENCES & SERVICES
Diana Guertler, Elaine Kraft, Dominic Bläsing, Anne Möhring, Christian Meyer, Hannah Schmidt, Florian Rehbein, Merten Neumann, Arne Dreißigacker, Anja Bischof, Gallus Bischof, Svenja Sürig, Lisa Hohls, Susanne Wurm, Stefan Borgwardt, Severin Haug, Hans-Jürgen Rumpf
{"title":"基于app的德国职业学校学生成瘾预防项目的预防需求和目标行为偏好:聚类随机对照试验","authors":"Diana Guertler, Elaine Kraft, Dominic Bläsing, Anne Möhring, Christian Meyer, Hannah Schmidt, Florian Rehbein, Merten Neumann, Arne Dreißigacker, Anja Bischof, Gallus Bischof, Svenja Sürig, Lisa Hohls, Susanne Wurm, Stefan Borgwardt, Severin Haug, Hans-Jürgen Rumpf","doi":"10.2196/59573","DOIUrl":null,"url":null,"abstract":"<p><strong>Background: </strong>Vocational school students exhibit a high prevalence of addictive behaviors. Mobile phone-based prevention programs targeting multiple addictive behaviors and promoting life skills are promising. Tailoring intervention content to participants' preferences, such as allowing them to choose behavior modules, may increase engagement and efficacy. There is limited understanding of how personal characteristics relate to module choices.</p><p><strong>Objective: </strong>This study examined the prevention needs of German vocational school students as well as their prevention preferences through self-determined module choice in the multibehavior app-based addiction prevention program ready4life.</p><p><strong>Methods: </strong>A 2-arm cluster randomized controlled trial recruited German vocational school students aged ≥16 years. Among 376 classes from 35 schools, ready4life was introduced during a school lesson. Students were invited to download the ready4life app and completed an anonymous screening with individualized risk and competence feedback in the form of a traffic light system. Informed consent was provided by 2568 students. Intervention classes received individual app-based coaching with weekly chat contacts with a conversational agent over 4 months. They could choose 2 of 6 modules: alcohol, tobacco, cannabis, social media and gaming, stress, and social competencies. Control group classes received a link to health behavior information and could access coaching after 12 months.</p><p><strong>Results: </strong>Prevention need was high. For 86.2% (2213/2568), ≥2 risks were reported based on yellow or red traffic light feedback. Within the intervention group, stress (818/1236, 66.2%) and social media and gaming (625/1236, 50.6%) were the most chosen topics, followed by alcohol (360/1236, 29.1%), social competencies (306/1236, 24.8%), tobacco (232/1236, 18.8%), and cannabis (131/1236, 10.6%). Module choices closely aligned with received traffic light feedback among those with 1 or 2 risks. Multilevel regression models showed that women were significantly more likely to choose the stress module (odds ratio [OR] 2.38, 95% CI 1.69-3.33; P<.001); men preferred social media and gaming (OR 0.52, 95% CI 0.40-0.69; P<.001), alcohol (OR 0.50, 95% CI 0.37-0.67; P<.001), and cannabis (OR 0.37, 95% CI 0.21-0.63; P<.001) when holding age, educational track, and prevention need for the corresponding behavior constant. Younger students were significantly more likely to choose the cannabis module (OR 0.81, 95% CI 0.74-0.90; P<.001). Educational track also influenced module choice (eg, those with a lower educational level were more likely to choose alcohol and cannabis, suggesting a positive equity impact). Students' prevention needs significantly influenced choice of the module (eg, higher alcohol consumption increased the likelihood of choosing the alcohol module; OR 1.31, 95% CI 1.20-1.43; P<.001).</p><p><strong>Conclusions: </strong>Our study confirms vocational school students' high prevention needs regarding addictive behaviors. Students' module choices were highly congruent to their demonstrated needs, with most students being interested in the stress module. Module choice also differed by age, gender, and educational track.</p><p><strong>Trial registration: </strong>German Clinical Trials Register DRKS00022328; https://drks.de/search/en/trial/DRKS00022328.</p><p><strong>International registered report identifier (irrid): </strong>RR2-10.1024/0939-5911/a000811.</p>","PeriodicalId":14756,"journal":{"name":"JMIR mHealth and uHealth","volume":"13 ","pages":"e59573"},"PeriodicalIF":6.2000,"publicationDate":"2025-06-24","publicationTypes":"Journal Article","fieldsOfStudy":null,"isOpenAccess":false,"openAccessPdf":"https://www.ncbi.nlm.nih.gov/pmc/articles/PMC12238790/pdf/","citationCount":"0","resultStr":"{\"title\":\"Prevention Needs and Target Behavior Preferences in an App-Based Addiction Prevention Program for German Vocational School Students: Cluster Randomized Controlled Trial.\",\"authors\":\"Diana Guertler, Elaine Kraft, Dominic Bläsing, Anne Möhring, Christian Meyer, Hannah Schmidt, Florian Rehbein, Merten Neumann, Arne Dreißigacker, Anja Bischof, Gallus Bischof, Svenja Sürig, Lisa Hohls, Susanne Wurm, Stefan Borgwardt, Severin Haug, Hans-Jürgen Rumpf\",\"doi\":\"10.2196/59573\",\"DOIUrl\":null,\"url\":null,\"abstract\":\"<p><strong>Background: </strong>Vocational school students exhibit a high prevalence of addictive behaviors. Mobile phone-based prevention programs targeting multiple addictive behaviors and promoting life skills are promising. Tailoring intervention content to participants' preferences, such as allowing them to choose behavior modules, may increase engagement and efficacy. There is limited understanding of how personal characteristics relate to module choices.</p><p><strong>Objective: </strong>This study examined the prevention needs of German vocational school students as well as their prevention preferences through self-determined module choice in the multibehavior app-based addiction prevention program ready4life.</p><p><strong>Methods: </strong>A 2-arm cluster randomized controlled trial recruited German vocational school students aged ≥16 years. Among 376 classes from 35 schools, ready4life was introduced during a school lesson. Students were invited to download the ready4life app and completed an anonymous screening with individualized risk and competence feedback in the form of a traffic light system. Informed consent was provided by 2568 students. Intervention classes received individual app-based coaching with weekly chat contacts with a conversational agent over 4 months. They could choose 2 of 6 modules: alcohol, tobacco, cannabis, social media and gaming, stress, and social competencies. Control group classes received a link to health behavior information and could access coaching after 12 months.</p><p><strong>Results: </strong>Prevention need was high. For 86.2% (2213/2568), ≥2 risks were reported based on yellow or red traffic light feedback. Within the intervention group, stress (818/1236, 66.2%) and social media and gaming (625/1236, 50.6%) were the most chosen topics, followed by alcohol (360/1236, 29.1%), social competencies (306/1236, 24.8%), tobacco (232/1236, 18.8%), and cannabis (131/1236, 10.6%). Module choices closely aligned with received traffic light feedback among those with 1 or 2 risks. Multilevel regression models showed that women were significantly more likely to choose the stress module (odds ratio [OR] 2.38, 95% CI 1.69-3.33; P<.001); men preferred social media and gaming (OR 0.52, 95% CI 0.40-0.69; P<.001), alcohol (OR 0.50, 95% CI 0.37-0.67; P<.001), and cannabis (OR 0.37, 95% CI 0.21-0.63; P<.001) when holding age, educational track, and prevention need for the corresponding behavior constant. Younger students were significantly more likely to choose the cannabis module (OR 0.81, 95% CI 0.74-0.90; P<.001). Educational track also influenced module choice (eg, those with a lower educational level were more likely to choose alcohol and cannabis, suggesting a positive equity impact). Students' prevention needs significantly influenced choice of the module (eg, higher alcohol consumption increased the likelihood of choosing the alcohol module; OR 1.31, 95% CI 1.20-1.43; P<.001).</p><p><strong>Conclusions: </strong>Our study confirms vocational school students' high prevention needs regarding addictive behaviors. Students' module choices were highly congruent to their demonstrated needs, with most students being interested in the stress module. Module choice also differed by age, gender, and educational track.</p><p><strong>Trial registration: </strong>German Clinical Trials Register DRKS00022328; https://drks.de/search/en/trial/DRKS00022328.</p><p><strong>International registered report identifier (irrid): </strong>RR2-10.1024/0939-5911/a000811.</p>\",\"PeriodicalId\":14756,\"journal\":{\"name\":\"JMIR mHealth and uHealth\",\"volume\":\"13 \",\"pages\":\"e59573\"},\"PeriodicalIF\":6.2000,\"publicationDate\":\"2025-06-24\",\"publicationTypes\":\"Journal Article\",\"fieldsOfStudy\":null,\"isOpenAccess\":false,\"openAccessPdf\":\"https://www.ncbi.nlm.nih.gov/pmc/articles/PMC12238790/pdf/\",\"citationCount\":\"0\",\"resultStr\":null,\"platform\":\"Semanticscholar\",\"paperid\":null,\"PeriodicalName\":\"JMIR mHealth and uHealth\",\"FirstCategoryId\":\"3\",\"ListUrlMain\":\"https://doi.org/10.2196/59573\",\"RegionNum\":2,\"RegionCategory\":\"医学\",\"ArticlePicture\":[],\"TitleCN\":null,\"AbstractTextCN\":null,\"PMCID\":null,\"EPubDate\":\"\",\"PubModel\":\"\",\"JCR\":\"Q1\",\"JCRName\":\"HEALTH CARE SCIENCES & SERVICES\",\"Score\":null,\"Total\":0}","platform":"Semanticscholar","paperid":null,"PeriodicalName":"JMIR mHealth and uHealth","FirstCategoryId":"3","ListUrlMain":"https://doi.org/10.2196/59573","RegionNum":2,"RegionCategory":"医学","ArticlePicture":[],"TitleCN":null,"AbstractTextCN":null,"PMCID":null,"EPubDate":"","PubModel":"","JCR":"Q1","JCRName":"HEALTH CARE SCIENCES & SERVICES","Score":null,"Total":0}
引用次数: 0

摘要

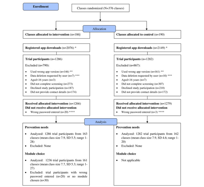
背景:职校学生的成瘾行为普遍存在。针对多种成瘾行为和提高生活技能的基于手机的预防项目是有希望的。根据参与者的喜好定制干预内容,例如允许他们选择行为模块,可能会提高参与度和有效性。对于个人特征与模块选择之间的关系,我们的理解是有限的。目的:本研究通过基于多行为应用程序的成瘾预防项目ready4life中自主模块的选择,考察德国职业学校学生的预防需求和预防偏好。方法:采用两组随机对照试验,招募年龄≥16岁的德国职业学校学生。在35所学校的376个班级中,在课堂上介绍了“准备生活”。学生们被邀请下载ready4life应用程序,并以红绿灯系统的形式完成了个性化风险和能力反馈的匿名筛选。2568名学生提供了知情同意书。干预班在4个月内接受基于应用程序的个人指导,每周与会话代理进行聊天。他们可以从6个模块中选择2个:酒精、烟草、大麻、社交媒体和游戏、压力和社交能力。对照组的班级收到了健康行为信息的链接,12个月后可以接受指导。结果:预防需求高。86.2%(2213/2568)的人根据黄红灯反馈报告了≥2个风险。在干预组中,压力(818/1236,66.2%)、社交媒体和游戏(625/1236,50.6%)是选择最多的话题,其次是酒精(360/1236,29.1%)、社交能力(306/1236,24.8%)、烟草(232/1236,18.8%)和大麻(131/1236,10.6%)。在风险为1或2的人群中,模块选择与收到的红绿灯反馈密切相关。多水平回归模型显示,女性更有可能选择压力模块(优势比[OR] 2.38, 95% CI 1.69-3.33;结论:本研究证实职校学生对成瘾行为有较高的预防需求。学生选择的模块与他们的实际需求高度一致,大多数学生对压力模块感兴趣。模块选择也因年龄、性别和教育程度而异。试验注册:德国临床试验注册中心DRKS00022328;https://drks.de/search/en/trial/DRKS00022328.International注册报告标识符(irrid): RR2-10.1024/0939-5911/a000811。
本文章由计算机程序翻译,如有差异,请以英文原文为准。

Prevention Needs and Target Behavior Preferences in an App-Based Addiction Prevention Program for German Vocational School Students: Cluster Randomized Controlled Trial.

Prevention Needs and Target Behavior Preferences in an App-Based Addiction Prevention Program for German Vocational School Students: Cluster Randomized Controlled Trial.

Prevention Needs and Target Behavior Preferences in an App-Based Addiction Prevention Program for German Vocational School Students: Cluster Randomized Controlled Trial.

Prevention Needs and Target Behavior Preferences in an App-Based Addiction Prevention Program for German Vocational School Students: Cluster Randomized Controlled Trial.

Background: Vocational school students exhibit a high prevalence of addictive behaviors. Mobile phone-based prevention programs targeting multiple addictive behaviors and promoting life skills are promising. Tailoring intervention content to participants' preferences, such as allowing them to choose behavior modules, may increase engagement and efficacy. There is limited understanding of how personal characteristics relate to module choices.

Objective: This study examined the prevention needs of German vocational school students as well as their prevention preferences through self-determined module choice in the multibehavior app-based addiction prevention program ready4life.

Methods: A 2-arm cluster randomized controlled trial recruited German vocational school students aged ≥16 years. Among 376 classes from 35 schools, ready4life was introduced during a school lesson. Students were invited to download the ready4life app and completed an anonymous screening with individualized risk and competence feedback in the form of a traffic light system. Informed consent was provided by 2568 students. Intervention classes received individual app-based coaching with weekly chat contacts with a conversational agent over 4 months. They could choose 2 of 6 modules: alcohol, tobacco, cannabis, social media and gaming, stress, and social competencies. Control group classes received a link to health behavior information and could access coaching after 12 months.

Results: Prevention need was high. For 86.2% (2213/2568), ≥2 risks were reported based on yellow or red traffic light feedback. Within the intervention group, stress (818/1236, 66.2%) and social media and gaming (625/1236, 50.6%) were the most chosen topics, followed by alcohol (360/1236, 29.1%), social competencies (306/1236, 24.8%), tobacco (232/1236, 18.8%), and cannabis (131/1236, 10.6%). Module choices closely aligned with received traffic light feedback among those with 1 or 2 risks. Multilevel regression models showed that women were significantly more likely to choose the stress module (odds ratio [OR] 2.38, 95% CI 1.69-3.33; P<.001); men preferred social media and gaming (OR 0.52, 95% CI 0.40-0.69; P<.001), alcohol (OR 0.50, 95% CI 0.37-0.67; P<.001), and cannabis (OR 0.37, 95% CI 0.21-0.63; P<.001) when holding age, educational track, and prevention need for the corresponding behavior constant. Younger students were significantly more likely to choose the cannabis module (OR 0.81, 95% CI 0.74-0.90; P<.001). Educational track also influenced module choice (eg, those with a lower educational level were more likely to choose alcohol and cannabis, suggesting a positive equity impact). Students' prevention needs significantly influenced choice of the module (eg, higher alcohol consumption increased the likelihood of choosing the alcohol module; OR 1.31, 95% CI 1.20-1.43; P<.001).

Conclusions: Our study confirms vocational school students' high prevention needs regarding addictive behaviors. Students' module choices were highly congruent to their demonstrated needs, with most students being interested in the stress module. Module choice also differed by age, gender, and educational track.

Trial registration: German Clinical Trials Register DRKS00022328; https://drks.de/search/en/trial/DRKS00022328.

International registered report identifier (irrid): RR2-10.1024/0939-5911/a000811.

求助全文
通过发布文献求助,成功后即可免费获取论文全文。 去求助
来源期刊
JMIR mHealth and uHealth
JMIR mHealth and uHealth Medicine-Health Informatics
CiteScore
12.60
自引率
4.00%
发文量
159
审稿时长
10 weeks
期刊介绍: JMIR mHealth and uHealth (JMU, ISSN 2291-5222) is a spin-off journal of JMIR, the leading eHealth journal (Impact Factor 2016: 5.175). JMIR mHealth and uHealth is indexed in PubMed, PubMed Central, and Science Citation Index Expanded (SCIE), and in June 2017 received a stunning inaugural Impact Factor of 4.636. The journal focusses on health and biomedical applications in mobile and tablet computing, pervasive and ubiquitous computing, wearable computing and domotics. JMIR mHealth and uHealth publishes since 2013 and was the first mhealth journal in Pubmed. It publishes even faster and has a broader scope with including papers which are more technical or more formative/developmental than what would be published in the Journal of Medical Internet Research.
×
引用
GB/T 7714-2015
复制
MLA
复制
APA
复制
导出至
BibTeX EndNote RefMan NoteFirst NoteExpress
×
提示
您的信息不完整,为了账户安全,请先补充。
现在去补充
×
提示
您因"违规操作"
具体请查看互助需知
我知道了
×
提示
确定
请完成安全验证×
copy
已复制链接
快去分享给好友吧!
我知道了
右上角分享
点击右上角分享
0
联系我们:info@booksci.cn Book学术提供免费学术资源搜索服务,方便国内外学者检索中英文文献。致力于提供最便捷和优质的服务体验。 Copyright © 2023 布克学术 All rights reserved.
京ICP备2023020795号-1
ghs 京公网安备 11010802042870号
Book学术文献互助
Book学术文献互助群
群 号:604180095
Book学术官方微信