先天性或获得性心脏病患儿阿哌沙班药代动力学/药效学特征及剂量评估

IF 5.5 2区 医学 Q1 PHARMACOLOGY & PHARMACY
Antoinette Ajavon-Hartmann, Praneeth Jarugula, Hyunmoon Back, Obinna Obianom, Elizabeth Ludwig, Christina Crevar, David Marchisin, Zhaoqing Wang, Weidong Chen, Bing He, R. Mark Payne, Kristin M. Burns, Andrew C. Glatz, Christoph Male, Paul Monagle, Vidya Perera, Bindu Murthy, Samira Merali
{"title":"先天性或获得性心脏病患儿阿哌沙班药代动力学/药效学特征及剂量评估","authors":"Antoinette Ajavon-Hartmann,&nbsp;Praneeth Jarugula,&nbsp;Hyunmoon Back,&nbsp;Obinna Obianom,&nbsp;Elizabeth Ludwig,&nbsp;Christina Crevar,&nbsp;David Marchisin,&nbsp;Zhaoqing Wang,&nbsp;Weidong Chen,&nbsp;Bing He,&nbsp;R. Mark Payne,&nbsp;Kristin M. Burns,&nbsp;Andrew C. Glatz,&nbsp;Christoph Male,&nbsp;Paul Monagle,&nbsp;Vidya Perera,&nbsp;Bindu Murthy,&nbsp;Samira Merali","doi":"10.1002/cpt.3689","DOIUrl":null,"url":null,"abstract":"<p>Apixaban is an oral direct inhibitor of factor Xa (FXa) that could be a treatment option for thromboembolism prevention in children with congenital or acquired heart disease (CAHD). Data from SAXOPHONE, a phase II pediatric study, were used to update a previously developed population pharmacokinetics (PPK) model and to assess the covariate effect of patient type on PK parameters while retaining previous covariates. Stochastic simulations were performed to assess whether the proposed dosing regimens in pediatric patients aged 28 days to &lt; 18 years matched adult exposures. The relationship between anti-Factor Xa (AXA) and apixaban concentration, as well as apixaban concentration and chromogenic FX, were evaluated. Apixaban dose adjustment in response to the growth of pediatric patients and changes in age and weight were also assessed. Apixaban PK in pediatric patients with CAHD was well characterized by a 2-compartment model with first-order absorption, dose-dependent F1, and first-order elimination. Apixaban apparent clearance (CL/F) and apparent volume of distribution in the central compartment (Vc/F) increased with increasing body weight. Apixaban CL/F was lower in pediatric patients with CAHD compared to adults and other pediatric patients. The fixed dose by weight-tiered dosing regimen for pediatric patients with CAHD (28 days to &lt; 18 years) achieved target exposures similar to adult VTE treatment and nonvalvular atrial fibrillation populations. A linear PK/PD relationship between apixaban and AXA was observed. Inhibition of FXa was observed across weight tiers. Apixaban dose adjustment in response to weight gain resulted in exposures similar to target adult exposures.</p>","PeriodicalId":153,"journal":{"name":"Clinical Pharmacology & Therapeutics","volume":"118 2","pages":"365-377"},"PeriodicalIF":5.5000,"publicationDate":"2025-06-24","publicationTypes":"Journal Article","fieldsOfStudy":null,"isOpenAccess":false,"openAccessPdf":"https://onlinelibrary.wiley.com/doi/epdf/10.1002/cpt.3689","citationCount":"0","resultStr":"{\"title\":\"Characterization of Apixaban Pharmacokinetics/Pharmacodynamics and Dose Assessment in Pediatric Patients with Congenital or Acquired Heart Disease\",\"authors\":\"Antoinette Ajavon-Hartmann,&nbsp;Praneeth Jarugula,&nbsp;Hyunmoon Back,&nbsp;Obinna Obianom,&nbsp;Elizabeth Ludwig,&nbsp;Christina Crevar,&nbsp;David Marchisin,&nbsp;Zhaoqing Wang,&nbsp;Weidong Chen,&nbsp;Bing He,&nbsp;R. Mark Payne,&nbsp;Kristin M. Burns,&nbsp;Andrew C. Glatz,&nbsp;Christoph Male,&nbsp;Paul Monagle,&nbsp;Vidya Perera,&nbsp;Bindu Murthy,&nbsp;Samira Merali\",\"doi\":\"10.1002/cpt.3689\",\"DOIUrl\":null,\"url\":null,\"abstract\":\"<p>Apixaban is an oral direct inhibitor of factor Xa (FXa) that could be a treatment option for thromboembolism prevention in children with congenital or acquired heart disease (CAHD). Data from SAXOPHONE, a phase II pediatric study, were used to update a previously developed population pharmacokinetics (PPK) model and to assess the covariate effect of patient type on PK parameters while retaining previous covariates. Stochastic simulations were performed to assess whether the proposed dosing regimens in pediatric patients aged 28 days to &lt; 18 years matched adult exposures. The relationship between anti-Factor Xa (AXA) and apixaban concentration, as well as apixaban concentration and chromogenic FX, were evaluated. Apixaban dose adjustment in response to the growth of pediatric patients and changes in age and weight were also assessed. Apixaban PK in pediatric patients with CAHD was well characterized by a 2-compartment model with first-order absorption, dose-dependent F1, and first-order elimination. Apixaban apparent clearance (CL/F) and apparent volume of distribution in the central compartment (Vc/F) increased with increasing body weight. Apixaban CL/F was lower in pediatric patients with CAHD compared to adults and other pediatric patients. The fixed dose by weight-tiered dosing regimen for pediatric patients with CAHD (28 days to &lt; 18 years) achieved target exposures similar to adult VTE treatment and nonvalvular atrial fibrillation populations. A linear PK/PD relationship between apixaban and AXA was observed. Inhibition of FXa was observed across weight tiers. Apixaban dose adjustment in response to weight gain resulted in exposures similar to target adult exposures.</p>\",\"PeriodicalId\":153,\"journal\":{\"name\":\"Clinical Pharmacology & Therapeutics\",\"volume\":\"118 2\",\"pages\":\"365-377\"},\"PeriodicalIF\":5.5000,\"publicationDate\":\"2025-06-24\",\"publicationTypes\":\"Journal Article\",\"fieldsOfStudy\":null,\"isOpenAccess\":false,\"openAccessPdf\":\"https://onlinelibrary.wiley.com/doi/epdf/10.1002/cpt.3689\",\"citationCount\":\"0\",\"resultStr\":null,\"platform\":\"Semanticscholar\",\"paperid\":null,\"PeriodicalName\":\"Clinical Pharmacology & Therapeutics\",\"FirstCategoryId\":\"3\",\"ListUrlMain\":\"https://ascpt.onlinelibrary.wiley.com/doi/10.1002/cpt.3689\",\"RegionNum\":2,\"RegionCategory\":\"医学\",\"ArticlePicture\":[],\"TitleCN\":null,\"AbstractTextCN\":null,\"PMCID\":null,\"EPubDate\":\"\",\"PubModel\":\"\",\"JCR\":\"Q1\",\"JCRName\":\"PHARMACOLOGY & PHARMACY\",\"Score\":null,\"Total\":0}","platform":"Semanticscholar","paperid":null,"PeriodicalName":"Clinical Pharmacology & Therapeutics","FirstCategoryId":"3","ListUrlMain":"https://ascpt.onlinelibrary.wiley.com/doi/10.1002/cpt.3689","RegionNum":2,"RegionCategory":"医学","ArticlePicture":[],"TitleCN":null,"AbstractTextCN":null,"PMCID":null,"EPubDate":"","PubModel":"","JCR":"Q1","JCRName":"PHARMACOLOGY & PHARMACY","Score":null,"Total":0}
引用次数: 0

摘要

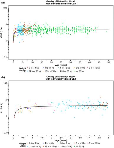
阿哌沙班是一种口服Xa因子(FXa)直接抑制剂,可作为预防先天性或获得性心脏病(CAHD)患儿血栓栓塞的治疗选择。来自SAXOPHONE(一项II期儿科研究)的数据被用于更新先前开发的群体药代动力学(PPK)模型,并在保留先前协变量的同时评估患者类型对PK参数的协变量影响。进行随机模拟以评估所建议的给药方案是否适用于28天至28岁的儿科患者
本文章由计算机程序翻译,如有差异,请以英文原文为准。

Characterization of Apixaban Pharmacokinetics/Pharmacodynamics and Dose Assessment in Pediatric Patients with Congenital or Acquired Heart Disease

Characterization of Apixaban Pharmacokinetics/Pharmacodynamics and Dose Assessment in Pediatric Patients with Congenital or Acquired Heart Disease

Characterization of Apixaban Pharmacokinetics/Pharmacodynamics and Dose Assessment in Pediatric Patients with Congenital or Acquired Heart Disease

Characterization of Apixaban Pharmacokinetics/Pharmacodynamics and Dose Assessment in Pediatric Patients with Congenital or Acquired Heart Disease

Characterization of Apixaban Pharmacokinetics/Pharmacodynamics and Dose Assessment in Pediatric Patients with Congenital or Acquired Heart Disease

Apixaban is an oral direct inhibitor of factor Xa (FXa) that could be a treatment option for thromboembolism prevention in children with congenital or acquired heart disease (CAHD). Data from SAXOPHONE, a phase II pediatric study, were used to update a previously developed population pharmacokinetics (PPK) model and to assess the covariate effect of patient type on PK parameters while retaining previous covariates. Stochastic simulations were performed to assess whether the proposed dosing regimens in pediatric patients aged 28 days to < 18 years matched adult exposures. The relationship between anti-Factor Xa (AXA) and apixaban concentration, as well as apixaban concentration and chromogenic FX, were evaluated. Apixaban dose adjustment in response to the growth of pediatric patients and changes in age and weight were also assessed. Apixaban PK in pediatric patients with CAHD was well characterized by a 2-compartment model with first-order absorption, dose-dependent F1, and first-order elimination. Apixaban apparent clearance (CL/F) and apparent volume of distribution in the central compartment (Vc/F) increased with increasing body weight. Apixaban CL/F was lower in pediatric patients with CAHD compared to adults and other pediatric patients. The fixed dose by weight-tiered dosing regimen for pediatric patients with CAHD (28 days to < 18 years) achieved target exposures similar to adult VTE treatment and nonvalvular atrial fibrillation populations. A linear PK/PD relationship between apixaban and AXA was observed. Inhibition of FXa was observed across weight tiers. Apixaban dose adjustment in response to weight gain resulted in exposures similar to target adult exposures.

求助全文
通过发布文献求助,成功后即可免费获取论文全文。 去求助
来源期刊
CiteScore
12.70
自引率
7.50%
发文量
290
审稿时长
2 months
期刊介绍: Clinical Pharmacology & Therapeutics (CPT) is the authoritative cross-disciplinary journal in experimental and clinical medicine devoted to publishing advances in the nature, action, efficacy, and evaluation of therapeutics. CPT welcomes original Articles in the emerging areas of translational, predictive and personalized medicine; new therapeutic modalities including gene and cell therapies; pharmacogenomics, proteomics and metabolomics; bioinformation and applied systems biology complementing areas of pharmacokinetics and pharmacodynamics, human investigation and clinical trials, pharmacovigilence, pharmacoepidemiology, pharmacometrics, and population pharmacology.
×
引用
GB/T 7714-2015
复制
MLA
复制
APA
复制
导出至
BibTeX EndNote RefMan NoteFirst NoteExpress
×
提示
您的信息不完整,为了账户安全,请先补充。
现在去补充
×
提示
您因"违规操作"
具体请查看互助需知
我知道了
×
提示
确定
请完成安全验证×
copy
已复制链接
快去分享给好友吧!
我知道了
右上角分享
点击右上角分享
0
联系我们:info@booksci.cn Book学术提供免费学术资源搜索服务,方便国内外学者检索中英文文献。致力于提供最便捷和优质的服务体验。 Copyright © 2023 布克学术 All rights reserved.
京ICP备2023020795号-1
ghs 京公网安备 11010802042870号
Book学术文献互助
Book学术文献互助群
群 号:604180095
Book学术官方微信