联合大麻素制剂对当日镇静和夜间睡眠的影响:一项随机对照试验。

IF 2.7 3区 医学 Q2 PHARMACOLOGY & PHARMACY
Clinical Drug Investigation Pub Date : 2025-07-01 Epub Date: 2025-06-21 DOI:10.1007/s40261-025-01455-6
Andrea J Narayan, Brooke Manning, Blair Aitken, Luke A Downey, Amie C Hayley
{"title":"联合大麻素制剂对当日镇静和夜间睡眠的影响:一项随机对照试验。","authors":"Andrea J Narayan, Brooke Manning, Blair Aitken, Luke A Downey, Amie C Hayley","doi":"10.1007/s40261-025-01455-6","DOIUrl":null,"url":null,"abstract":"<p><strong>Background and objectives: </strong>Cannabinoid treatments are commonly used for sleep conditions, but the direct sedating effects of daytime treatment consumption and indirect effects on night-time sleep are unclear. This study measures the direct effects of low-dose cannabinoid treatments on daytime sleepiness and potential indirect night-time sleep effects in healthy adult, novice cannabis users.</p><p><strong>Methods: </strong>Using a double-blind, randomised, placebo-controlled cross-over design, participants were orally administered a standardised dose of 1 mL oil containing THC:CBD ratios of either 1:1, 1:16 or a placebo over five weekly in-lab visits. Daytime sleepiness was measured at 40, 135 and 265 min post-dosing using the Karolinska Sleepiness Scale (KSS). Indirect night-time sleep effects on total sleep time (TST), sleep-onset latency (SOL), and number of awakenings after onset were measured using daily wrist-actigraphy and sleep-diary entries during the 7-day washout period between treatments.</p><p><strong>Results: </strong>Final analyses (N = 20) showed subjective sleepiness (KSS score) significantly increased (mean difference = 1.9, SE 0.25) from 40 min to 265 min post-treatment (p < 0.001). No significant differences were observed between treatments for KSS. Indirect sleep measures (TST, SOL, number of awakenings) showed no differences between treatments or over time (all p > 0.05).</p><p><strong>Conclusion: </strong>Daytime consumption of low-dose cannabinoid oils did not induce direct sleepiness or indirect night-time effects post-dosing among adults. Future studies would benefit from exploring pharmacokinetics and the possibility of treatment amplification of daytime fatigue, mood and cognitive changes to assist the development of therapeutic guidelines for safe daytime medical cannabis use.</p><p><strong>Anctr trial registration number: </strong>ACTRN12622001539729, 13 December 2022, prospectively registered.</p>","PeriodicalId":10402,"journal":{"name":"Clinical Drug Investigation","volume":" ","pages":"417-429"},"PeriodicalIF":2.7000,"publicationDate":"2025-07-01","publicationTypes":"Journal Article","fieldsOfStudy":null,"isOpenAccess":false,"openAccessPdf":"https://www.ncbi.nlm.nih.gov/pmc/articles/PMC12255549/pdf/","citationCount":"0","resultStr":"{\"title\":\"Same-Day Sedative and Night-Time Sleep Effects Following Combined Cannabinoid Formulations: A Randomised-Controlled Trial.\",\"authors\":\"Andrea J Narayan, Brooke Manning, Blair Aitken, Luke A Downey, Amie C Hayley\",\"doi\":\"10.1007/s40261-025-01455-6\",\"DOIUrl\":null,\"url\":null,\"abstract\":\"<p><strong>Background and objectives: </strong>Cannabinoid treatments are commonly used for sleep conditions, but the direct sedating effects of daytime treatment consumption and indirect effects on night-time sleep are unclear. This study measures the direct effects of low-dose cannabinoid treatments on daytime sleepiness and potential indirect night-time sleep effects in healthy adult, novice cannabis users.</p><p><strong>Methods: </strong>Using a double-blind, randomised, placebo-controlled cross-over design, participants were orally administered a standardised dose of 1 mL oil containing THC:CBD ratios of either 1:1, 1:16 or a placebo over five weekly in-lab visits. Daytime sleepiness was measured at 40, 135 and 265 min post-dosing using the Karolinska Sleepiness Scale (KSS). Indirect night-time sleep effects on total sleep time (TST), sleep-onset latency (SOL), and number of awakenings after onset were measured using daily wrist-actigraphy and sleep-diary entries during the 7-day washout period between treatments.</p><p><strong>Results: </strong>Final analyses (N = 20) showed subjective sleepiness (KSS score) significantly increased (mean difference = 1.9, SE 0.25) from 40 min to 265 min post-treatment (p < 0.001). No significant differences were observed between treatments for KSS. Indirect sleep measures (TST, SOL, number of awakenings) showed no differences between treatments or over time (all p > 0.05).</p><p><strong>Conclusion: </strong>Daytime consumption of low-dose cannabinoid oils did not induce direct sleepiness or indirect night-time effects post-dosing among adults. Future studies would benefit from exploring pharmacokinetics and the possibility of treatment amplification of daytime fatigue, mood and cognitive changes to assist the development of therapeutic guidelines for safe daytime medical cannabis use.</p><p><strong>Anctr trial registration number: </strong>ACTRN12622001539729, 13 December 2022, prospectively registered.</p>\",\"PeriodicalId\":10402,\"journal\":{\"name\":\"Clinical Drug Investigation\",\"volume\":\" \",\"pages\":\"417-429\"},\"PeriodicalIF\":2.7000,\"publicationDate\":\"2025-07-01\",\"publicationTypes\":\"Journal Article\",\"fieldsOfStudy\":null,\"isOpenAccess\":false,\"openAccessPdf\":\"https://www.ncbi.nlm.nih.gov/pmc/articles/PMC12255549/pdf/\",\"citationCount\":\"0\",\"resultStr\":null,\"platform\":\"Semanticscholar\",\"paperid\":null,\"PeriodicalName\":\"Clinical Drug Investigation\",\"FirstCategoryId\":\"3\",\"ListUrlMain\":\"https://doi.org/10.1007/s40261-025-01455-6\",\"RegionNum\":3,\"RegionCategory\":\"医学\",\"ArticlePicture\":[],\"TitleCN\":null,\"AbstractTextCN\":null,\"PMCID\":null,\"EPubDate\":\"2025/6/21 0:00:00\",\"PubModel\":\"Epub\",\"JCR\":\"Q2\",\"JCRName\":\"PHARMACOLOGY & PHARMACY\",\"Score\":null,\"Total\":0}","platform":"Semanticscholar","paperid":null,"PeriodicalName":"Clinical Drug Investigation","FirstCategoryId":"3","ListUrlMain":"https://doi.org/10.1007/s40261-025-01455-6","RegionNum":3,"RegionCategory":"医学","ArticlePicture":[],"TitleCN":null,"AbstractTextCN":null,"PMCID":null,"EPubDate":"2025/6/21 0:00:00","PubModel":"Epub","JCR":"Q2","JCRName":"PHARMACOLOGY & PHARMACY","Score":null,"Total":0}
引用次数: 0

摘要

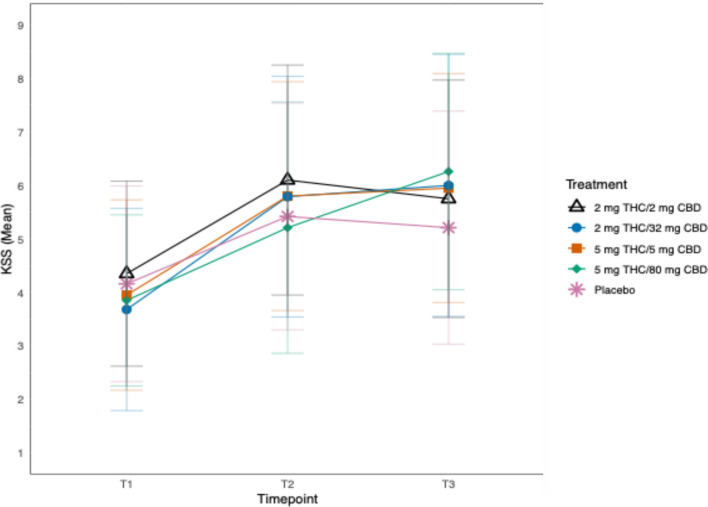
背景和目的:大麻素治疗通常用于睡眠条件,但白天治疗的直接镇静作用和对夜间睡眠的间接影响尚不清楚。这项研究测量了低剂量大麻素治疗对健康成人,新手大麻使用者白天嗜睡的直接影响和潜在的间接夜间睡眠影响。方法:采用双盲,随机,安慰剂对照交叉设计,参与者口服1毫升标准剂量的油,其中含有THC:CBD的比例为1:1,1:16或安慰剂,每周一次在实验室就诊。在给药后40、135和265分钟使用卡罗林斯卡嗜睡量表(KSS)测量白天嗜睡。间接夜间睡眠对总睡眠时间(TST)、睡眠发作潜伏期(SOL)和发作后觉醒次数的影响,在两组治疗之间的7天洗脱期使用每日腕动仪和睡眠日记条目进行测量。结果:最终分析(N = 20)显示,主观嗜睡(KSS评分)在治疗后40 min至265 min显著增加(平均差异为1.9,标准差为0.25)(p < 0.05)。结论:在成人中,白天服用低剂量大麻素油不会引起直接嗜睡或间接夜间效应。未来的研究将受益于探索药代动力学和扩大白天疲劳、情绪和认知变化的治疗可能性,以协助制定白天安全使用医用大麻的治疗指南。antrr试验注册号:ACTRN12622001539729, 2022年12月13日,前瞻性注册。
本文章由计算机程序翻译,如有差异,请以英文原文为准。

Same-Day Sedative and Night-Time Sleep Effects Following Combined Cannabinoid Formulations: A Randomised-Controlled Trial.

Same-Day Sedative and Night-Time Sleep Effects Following Combined Cannabinoid Formulations: A Randomised-Controlled Trial.

Same-Day Sedative and Night-Time Sleep Effects Following Combined Cannabinoid Formulations: A Randomised-Controlled Trial.

Same-Day Sedative and Night-Time Sleep Effects Following Combined Cannabinoid Formulations: A Randomised-Controlled Trial.

Background and objectives: Cannabinoid treatments are commonly used for sleep conditions, but the direct sedating effects of daytime treatment consumption and indirect effects on night-time sleep are unclear. This study measures the direct effects of low-dose cannabinoid treatments on daytime sleepiness and potential indirect night-time sleep effects in healthy adult, novice cannabis users.

Methods: Using a double-blind, randomised, placebo-controlled cross-over design, participants were orally administered a standardised dose of 1 mL oil containing THC:CBD ratios of either 1:1, 1:16 or a placebo over five weekly in-lab visits. Daytime sleepiness was measured at 40, 135 and 265 min post-dosing using the Karolinska Sleepiness Scale (KSS). Indirect night-time sleep effects on total sleep time (TST), sleep-onset latency (SOL), and number of awakenings after onset were measured using daily wrist-actigraphy and sleep-diary entries during the 7-day washout period between treatments.

Results: Final analyses (N = 20) showed subjective sleepiness (KSS score) significantly increased (mean difference = 1.9, SE 0.25) from 40 min to 265 min post-treatment (p < 0.001). No significant differences were observed between treatments for KSS. Indirect sleep measures (TST, SOL, number of awakenings) showed no differences between treatments or over time (all p > 0.05).

Conclusion: Daytime consumption of low-dose cannabinoid oils did not induce direct sleepiness or indirect night-time effects post-dosing among adults. Future studies would benefit from exploring pharmacokinetics and the possibility of treatment amplification of daytime fatigue, mood and cognitive changes to assist the development of therapeutic guidelines for safe daytime medical cannabis use.

Anctr trial registration number: ACTRN12622001539729, 13 December 2022, prospectively registered.

求助全文
通过发布文献求助,成功后即可免费获取论文全文。 去求助
来源期刊
CiteScore
5.90
自引率
3.10%
发文量
108
审稿时长
6-12 weeks
期刊介绍: Clinical Drug Investigation provides rapid publication of original research covering all phases of clinical drug development and therapeutic use of drugs. The Journal includes: -Clinical trials, outcomes research, clinical pharmacoeconomic studies and pharmacoepidemiology studies with a strong link to optimum prescribing practice for a drug or group of drugs. -Clinical pharmacodynamic and clinical pharmacokinetic studies with a strong link to clinical practice. -Pharmacodynamic and pharmacokinetic studies in healthy volunteers in which significant implications for clinical prescribing are discussed. -Studies focusing on the application of drug delivery technology in healthcare. -Short communications and case study reports that meet the above criteria will also be considered. Additional digital features (including animated abstracts, video abstracts, slide decks, audio slides, instructional videos, infographics, podcasts and animations) can be published with articles; these are designed to increase the visibility, readership and educational value of the journal’s content. In addition, articles published in Clinical Drug Investigation may be accompanied by plain language summaries to assist readers who have some knowledge, but non in-depth expertise in, the area to understand important medical advances.
×
引用
GB/T 7714-2015
复制
MLA
复制
APA
复制
导出至
BibTeX EndNote RefMan NoteFirst NoteExpress
×
提示
您的信息不完整,为了账户安全,请先补充。
现在去补充
×
提示
您因"违规操作"
具体请查看互助需知
我知道了
×
提示
确定
请完成安全验证×
copy
已复制链接
快去分享给好友吧!
我知道了
右上角分享
点击右上角分享
0
联系我们:info@booksci.cn Book学术提供免费学术资源搜索服务,方便国内外学者检索中英文文献。致力于提供最便捷和优质的服务体验。 Copyright © 2023 布克学术 All rights reserved.
京ICP备2023020795号-1
ghs 京公网安备 11010802042870号
Book学术文献互助
Book学术文献互助群
群 号:604180095
Book学术官方微信