北极冻土带真菌坏死块长期分解过程中真菌和细菌群落稳定性的对比。

IF 5.4 2区 环境科学与生态学 Q1 GENETICS & HEREDITY
Andrea Moravcová, Florian Barbi, Camelia Algora, Gabriele Tosadori, Petr Macek, Jana Albrechtová, Petr Baldrian, Petr Kohout
{"title":"北极冻土带真菌坏死块长期分解过程中真菌和细菌群落稳定性的对比。","authors":"Andrea Moravcová, Florian Barbi, Camelia Algora, Gabriele Tosadori, Petr Macek, Jana Albrechtová, Petr Baldrian, Petr Kohout","doi":"10.1186/s40793-025-00730-5","DOIUrl":null,"url":null,"abstract":"<p><p>Decomposition is a crucial process in terrestrial ecosystems, driving nutrient cycling and carbon storage dynamics. Considering the amount of fungal necromass produced in soils annually, its decomposition represents an important nutrient recycling process. Understanding the decomposition dynamics and associated microbial communities of fungal necromass is essential for elucidating ecosystem functioning, especially in environmentally sensitive regions such as the Arctic tundra, which remain under-explored. In a three-year field experiment conducted in the Svalbard archipelago, we investigated the decomposition of two types of fungal necromass with differing biochemical properties. We studied the decomposition rate, changes in chemical composition, and the succession of fungal and bacterial communities associated with the decaying fungal necromass. We discovered that up to 20% of fungal necromass remained even after three years of decomposition, indicating that the decomposition process was incomplete. Our results indicate the crucial role of Pseudogymnoascus in decomposing low-quality, highly melanized necromass with a high C:N ratio in Arctic soils, underscoring its importance in carbon cycling in the Arctic tundra. Notably, we observed dynamic changes in bacterial communities, with increasing richness over time and a shift from copiotrophic to oligotrophic species specializing in decomposing recalcitrant material. Our study indicates the strong potential that fungal necromass can play in carbon sequestration of arctic soils and reveals the distinct dynamics between rather stable fungal and rapidly changing bacterial communities associated with the decomposing fungal necromass in the Arctic tundra. These findings enhance our understanding of microbial succession during decomposition in extreme environments and highlight the potentially differing roles of fungi and bacteria in these processes.</p>","PeriodicalId":48553,"journal":{"name":"Environmental Microbiome","volume":"20 1","pages":"75"},"PeriodicalIF":5.4000,"publicationDate":"2025-06-20","publicationTypes":"Journal Article","fieldsOfStudy":null,"isOpenAccess":false,"openAccessPdf":"https://www.ncbi.nlm.nih.gov/pmc/articles/PMC12180224/pdf/","citationCount":"0","resultStr":"{\"title\":\"Contrasting stability of fungal and bacterial communities during long-term decomposition of fungal necromass in Arctic tundra.\",\"authors\":\"Andrea Moravcová, Florian Barbi, Camelia Algora, Gabriele Tosadori, Petr Macek, Jana Albrechtová, Petr Baldrian, Petr Kohout\",\"doi\":\"10.1186/s40793-025-00730-5\",\"DOIUrl\":null,\"url\":null,\"abstract\":\"<p><p>Decomposition is a crucial process in terrestrial ecosystems, driving nutrient cycling and carbon storage dynamics. Considering the amount of fungal necromass produced in soils annually, its decomposition represents an important nutrient recycling process. Understanding the decomposition dynamics and associated microbial communities of fungal necromass is essential for elucidating ecosystem functioning, especially in environmentally sensitive regions such as the Arctic tundra, which remain under-explored. In a three-year field experiment conducted in the Svalbard archipelago, we investigated the decomposition of two types of fungal necromass with differing biochemical properties. We studied the decomposition rate, changes in chemical composition, and the succession of fungal and bacterial communities associated with the decaying fungal necromass. We discovered that up to 20% of fungal necromass remained even after three years of decomposition, indicating that the decomposition process was incomplete. Our results indicate the crucial role of Pseudogymnoascus in decomposing low-quality, highly melanized necromass with a high C:N ratio in Arctic soils, underscoring its importance in carbon cycling in the Arctic tundra. Notably, we observed dynamic changes in bacterial communities, with increasing richness over time and a shift from copiotrophic to oligotrophic species specializing in decomposing recalcitrant material. Our study indicates the strong potential that fungal necromass can play in carbon sequestration of arctic soils and reveals the distinct dynamics between rather stable fungal and rapidly changing bacterial communities associated with the decomposing fungal necromass in the Arctic tundra. These findings enhance our understanding of microbial succession during decomposition in extreme environments and highlight the potentially differing roles of fungi and bacteria in these processes.</p>\",\"PeriodicalId\":48553,\"journal\":{\"name\":\"Environmental Microbiome\",\"volume\":\"20 1\",\"pages\":\"75\"},\"PeriodicalIF\":5.4000,\"publicationDate\":\"2025-06-20\",\"publicationTypes\":\"Journal Article\",\"fieldsOfStudy\":null,\"isOpenAccess\":false,\"openAccessPdf\":\"https://www.ncbi.nlm.nih.gov/pmc/articles/PMC12180224/pdf/\",\"citationCount\":\"0\",\"resultStr\":null,\"platform\":\"Semanticscholar\",\"paperid\":null,\"PeriodicalName\":\"Environmental Microbiome\",\"FirstCategoryId\":\"93\",\"ListUrlMain\":\"https://doi.org/10.1186/s40793-025-00730-5\",\"RegionNum\":2,\"RegionCategory\":\"环境科学与生态学\",\"ArticlePicture\":[],\"TitleCN\":null,\"AbstractTextCN\":null,\"PMCID\":null,\"EPubDate\":\"\",\"PubModel\":\"\",\"JCR\":\"Q1\",\"JCRName\":\"GENETICS & HEREDITY\",\"Score\":null,\"Total\":0}","platform":"Semanticscholar","paperid":null,"PeriodicalName":"Environmental Microbiome","FirstCategoryId":"93","ListUrlMain":"https://doi.org/10.1186/s40793-025-00730-5","RegionNum":2,"RegionCategory":"环境科学与生态学","ArticlePicture":[],"TitleCN":null,"AbstractTextCN":null,"PMCID":null,"EPubDate":"","PubModel":"","JCR":"Q1","JCRName":"GENETICS & HEREDITY","Score":null,"Total":0}
引用次数: 0

摘要

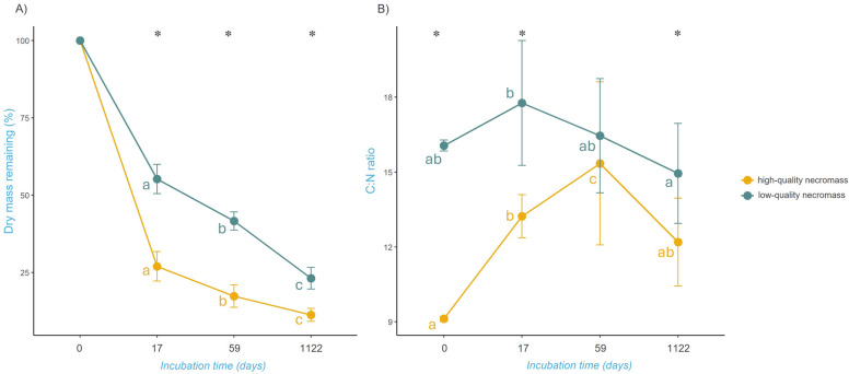
分解是陆地生态系统中一个重要的过程,它驱动着养分循环和碳储存动态。考虑到土壤每年产生的真菌坏死块的数量,它的分解是一个重要的养分循环过程。了解真菌坏死块的分解动力学和相关的微生物群落对于阐明生态系统功能至关重要,特别是在环境敏感地区,如北极苔原,这些地区仍未得到充分探索。在斯瓦尔巴群岛进行的一项为期三年的实地实验中,我们研究了两种具有不同生化特性的真菌坏死团的分解。我们研究了腐烂真菌坏死块的分解速率、化学成分的变化以及真菌和细菌群落的演替。我们发现,即使在腐烂三年后,仍有高达20%的真菌坏死块残留,这表明腐烂过程不完整。研究结果表明,裸槐在北极土壤高碳氮比、低质量、高黑化坏死体分解中起着关键作用,在北极冻土带碳循环中具有重要意义。值得注意的是,我们观察到细菌群落的动态变化,随着时间的推移,丰富度增加,从富营养化向贫营养化转变,专门分解顽固物质。我们的研究表明,真菌坏死块在北极土壤的碳固存中发挥着巨大的潜力,并揭示了与北极苔原真菌坏死块分解相关的相当稳定的真菌和快速变化的细菌群落之间的独特动态。这些发现增强了我们对极端环境下分解过程中微生物演替的理解,并强调了真菌和细菌在这些过程中潜在的不同作用。
本文章由计算机程序翻译,如有差异,请以英文原文为准。

Contrasting stability of fungal and bacterial communities during long-term decomposition of fungal necromass in Arctic tundra.

Contrasting stability of fungal and bacterial communities during long-term decomposition of fungal necromass in Arctic tundra.

Contrasting stability of fungal and bacterial communities during long-term decomposition of fungal necromass in Arctic tundra.

Contrasting stability of fungal and bacterial communities during long-term decomposition of fungal necromass in Arctic tundra.

Decomposition is a crucial process in terrestrial ecosystems, driving nutrient cycling and carbon storage dynamics. Considering the amount of fungal necromass produced in soils annually, its decomposition represents an important nutrient recycling process. Understanding the decomposition dynamics and associated microbial communities of fungal necromass is essential for elucidating ecosystem functioning, especially in environmentally sensitive regions such as the Arctic tundra, which remain under-explored. In a three-year field experiment conducted in the Svalbard archipelago, we investigated the decomposition of two types of fungal necromass with differing biochemical properties. We studied the decomposition rate, changes in chemical composition, and the succession of fungal and bacterial communities associated with the decaying fungal necromass. We discovered that up to 20% of fungal necromass remained even after three years of decomposition, indicating that the decomposition process was incomplete. Our results indicate the crucial role of Pseudogymnoascus in decomposing low-quality, highly melanized necromass with a high C:N ratio in Arctic soils, underscoring its importance in carbon cycling in the Arctic tundra. Notably, we observed dynamic changes in bacterial communities, with increasing richness over time and a shift from copiotrophic to oligotrophic species specializing in decomposing recalcitrant material. Our study indicates the strong potential that fungal necromass can play in carbon sequestration of arctic soils and reveals the distinct dynamics between rather stable fungal and rapidly changing bacterial communities associated with the decomposing fungal necromass in the Arctic tundra. These findings enhance our understanding of microbial succession during decomposition in extreme environments and highlight the potentially differing roles of fungi and bacteria in these processes.

求助全文
通过发布文献求助,成功后即可免费获取论文全文。 去求助
来源期刊
Environmental Microbiome
Environmental Microbiome Immunology and Microbiology-Microbiology
CiteScore
7.40
自引率
2.50%
发文量
55
审稿时长
13 weeks
期刊介绍: Microorganisms, omnipresent across Earth's diverse environments, play a crucial role in adapting to external changes, influencing Earth's systems and cycles, and contributing significantly to agricultural practices. Through applied microbiology, they offer solutions to various everyday needs. Environmental Microbiome recognizes the universal presence and significance of microorganisms, inviting submissions that explore the diverse facets of environmental and applied microbiological research.
×
引用
GB/T 7714-2015
复制
MLA
复制
APA
复制
导出至
BibTeX EndNote RefMan NoteFirst NoteExpress
×
提示
您的信息不完整,为了账户安全,请先补充。
现在去补充
×
提示
您因"违规操作"
具体请查看互助需知
我知道了
×
提示
确定
请完成安全验证×
copy
已复制链接
快去分享给好友吧!
我知道了
右上角分享
点击右上角分享
0
联系我们:info@booksci.cn Book学术提供免费学术资源搜索服务,方便国内外学者检索中英文文献。致力于提供最便捷和优质的服务体验。 Copyright © 2023 布克学术 All rights reserved.
京ICP备2023020795号-1
ghs 京公网安备 11010802042870号
Book学术文献互助
Book学术文献互助群
群 号:604180095
Book学术官方微信