基于app的大学生认知行为治疗项目:随机对照试验

IF 6.2 2区 医学 Q1 HEALTH CARE SCIENCES & SERVICES
Min Hee Kim, Yeon-Kug Moon, Kyong-Mee Chung
{"title":"基于app的大学生认知行为治疗项目:随机对照试验","authors":"Min Hee Kim, Yeon-Kug Moon, Kyong-Mee Chung","doi":"10.2196/50006","DOIUrl":null,"url":null,"abstract":"<p><strong>Background: </strong>Technology-based cognitive behavioral therapy programs are accessible interventions to address mental health challenges, particularly among college students. Despite their potential, low adherence rates remain a key challenge.</p><p><strong>Objective: </strong>This study aims to assess the effects of the tailored content and gamification elements of the Mind Booster Green program on reducing depressive symptoms and improving college life adjustment.</p><p><strong>Methods: </strong>A randomized, unblinded controlled trial was conducted among college students. All study procedures were conducted remotely using web-based tools. The participants were randomly assigned to the intervention or waitlist control groups. The intervention group used Mind Booster Green, an app-based self-help cognitive behavioral therapy program for 1 month. The program included tailored case stories and gamification elements, such as point and level systems, to enhance user engagement and adherence. Outcomes were self-assessed using web-based questionnaires and included changes in depressive symptoms, college life adjustment, and negative and positive automatic thoughts. The usability of the app was also evaluated. Outcomes were measured at 3 time points: preintervention, postintervention, and at a 2-month follow-up (F/U), using validated and standardized tools.</p><p><strong>Results: </strong>A total of 170 individuals (mean age 22.60, SD 3.37 years; 136/170, 80% female) participated in the study. A chi-square analysis revealed no significant differences between the two groups at baseline in terms of age, sex, or class year (P>.05). A generalized estimating equation analysis revealed significant time×group interactions for all variables. Compared to the control group, the intervention group showed greater improvements across all outcomes, with between-group effect sizes ranging from -0.78 to 0.49. For derpessive symptoms, large within-group effect size were observed (Patient Health Questionnaire-9: pre to post, Cohen d=1.12; pre to F/U, Cohen d=1.15; Beck Depression Inventory-II: pre to post, Cohen d=0.90; pre to F/U, Cohen d=1.04). Large within-group effect size was also found for adjustment to college life (Student Adaptation to College Questionnaire-Revised: pre to post, Cohen d=-0.87; pre to F/U, Cohen d=-0.85), and moderate effect for negative automatic thoughts (Automatic Thought Questionnaire-Negative, Short Form: pre to post, Cohen d=0.36; pre to F/U, Cohen d=0.58) and positive automatic thoughts (Automatic Thought Questionnaire-Positive, Short Form: pre to post, Cohen d=-0.45; pre to F/U, Cohen d=-0.44). Adherence rates were 89% and 99% for the intervention and control groups, respectively. The usability test results, assessed using the Mobile App Rating Scale, showed an overall score of 3.88, with scores above the medium level in the engagement, functionality, aesthetics, and information quality categories.</p><p><strong>Conclusions: </strong>Mind Booster Green demonstrated substantial potential as a complementary interventio to traditional psychological services for college students, providing a cost-effective and scalable solution for mental health issues. Future research should explore the applicability of this program in diverse populations.</p>","PeriodicalId":14756,"journal":{"name":"JMIR mHealth and uHealth","volume":"13 ","pages":"e50006"},"PeriodicalIF":6.2000,"publicationDate":"2025-06-19","publicationTypes":"Journal Article","fieldsOfStudy":null,"isOpenAccess":false,"openAccessPdf":"https://www.ncbi.nlm.nih.gov/pmc/articles/PMC12199845/pdf/","citationCount":"0","resultStr":"{\"title\":\"An App-Based Cognitive Behavioral Therapy Program Tailored for College Students: Randomized Controlled Trial.\",\"authors\":\"Min Hee Kim, Yeon-Kug Moon, Kyong-Mee Chung\",\"doi\":\"10.2196/50006\",\"DOIUrl\":null,\"url\":null,\"abstract\":\"<p><strong>Background: </strong>Technology-based cognitive behavioral therapy programs are accessible interventions to address mental health challenges, particularly among college students. Despite their potential, low adherence rates remain a key challenge.</p><p><strong>Objective: </strong>This study aims to assess the effects of the tailored content and gamification elements of the Mind Booster Green program on reducing depressive symptoms and improving college life adjustment.</p><p><strong>Methods: </strong>A randomized, unblinded controlled trial was conducted among college students. All study procedures were conducted remotely using web-based tools. The participants were randomly assigned to the intervention or waitlist control groups. The intervention group used Mind Booster Green, an app-based self-help cognitive behavioral therapy program for 1 month. The program included tailored case stories and gamification elements, such as point and level systems, to enhance user engagement and adherence. Outcomes were self-assessed using web-based questionnaires and included changes in depressive symptoms, college life adjustment, and negative and positive automatic thoughts. The usability of the app was also evaluated. Outcomes were measured at 3 time points: preintervention, postintervention, and at a 2-month follow-up (F/U), using validated and standardized tools.</p><p><strong>Results: </strong>A total of 170 individuals (mean age 22.60, SD 3.37 years; 136/170, 80% female) participated in the study. A chi-square analysis revealed no significant differences between the two groups at baseline in terms of age, sex, or class year (P>.05). A generalized estimating equation analysis revealed significant time×group interactions for all variables. Compared to the control group, the intervention group showed greater improvements across all outcomes, with between-group effect sizes ranging from -0.78 to 0.49. For derpessive symptoms, large within-group effect size were observed (Patient Health Questionnaire-9: pre to post, Cohen d=1.12; pre to F/U, Cohen d=1.15; Beck Depression Inventory-II: pre to post, Cohen d=0.90; pre to F/U, Cohen d=1.04). Large within-group effect size was also found for adjustment to college life (Student Adaptation to College Questionnaire-Revised: pre to post, Cohen d=-0.87; pre to F/U, Cohen d=-0.85), and moderate effect for negative automatic thoughts (Automatic Thought Questionnaire-Negative, Short Form: pre to post, Cohen d=0.36; pre to F/U, Cohen d=0.58) and positive automatic thoughts (Automatic Thought Questionnaire-Positive, Short Form: pre to post, Cohen d=-0.45; pre to F/U, Cohen d=-0.44). Adherence rates were 89% and 99% for the intervention and control groups, respectively. The usability test results, assessed using the Mobile App Rating Scale, showed an overall score of 3.88, with scores above the medium level in the engagement, functionality, aesthetics, and information quality categories.</p><p><strong>Conclusions: </strong>Mind Booster Green demonstrated substantial potential as a complementary interventio to traditional psychological services for college students, providing a cost-effective and scalable solution for mental health issues. Future research should explore the applicability of this program in diverse populations.</p>\",\"PeriodicalId\":14756,\"journal\":{\"name\":\"JMIR mHealth and uHealth\",\"volume\":\"13 \",\"pages\":\"e50006\"},\"PeriodicalIF\":6.2000,\"publicationDate\":\"2025-06-19\",\"publicationTypes\":\"Journal Article\",\"fieldsOfStudy\":null,\"isOpenAccess\":false,\"openAccessPdf\":\"https://www.ncbi.nlm.nih.gov/pmc/articles/PMC12199845/pdf/\",\"citationCount\":\"0\",\"resultStr\":null,\"platform\":\"Semanticscholar\",\"paperid\":null,\"PeriodicalName\":\"JMIR mHealth and uHealth\",\"FirstCategoryId\":\"3\",\"ListUrlMain\":\"https://doi.org/10.2196/50006\",\"RegionNum\":2,\"RegionCategory\":\"医学\",\"ArticlePicture\":[],\"TitleCN\":null,\"AbstractTextCN\":null,\"PMCID\":null,\"EPubDate\":\"\",\"PubModel\":\"\",\"JCR\":\"Q1\",\"JCRName\":\"HEALTH CARE SCIENCES & SERVICES\",\"Score\":null,\"Total\":0}","platform":"Semanticscholar","paperid":null,"PeriodicalName":"JMIR mHealth and uHealth","FirstCategoryId":"3","ListUrlMain":"https://doi.org/10.2196/50006","RegionNum":2,"RegionCategory":"医学","ArticlePicture":[],"TitleCN":null,"AbstractTextCN":null,"PMCID":null,"EPubDate":"","PubModel":"","JCR":"Q1","JCRName":"HEALTH CARE SCIENCES & SERVICES","Score":null,"Total":0}
引用次数: 0

摘要

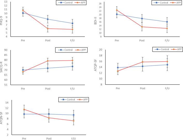
背景:以技术为基础的认知行为治疗方案是解决心理健康挑战的可行干预措施,特别是在大学生中。尽管有潜力,但低依从率仍然是一个关键挑战。目的:本研究旨在评估心灵助推器绿色项目量身定制的内容和游戏化元素在减轻抑郁症状和改善大学生活适应方面的效果。方法:对在校大学生进行随机、非盲对照试验。所有研究过程均使用基于网络的工具远程进行。参与者被随机分配到干预组或候补组。干预组使用Mind Booster Green(一种基于应用程序的自助认知行为治疗项目)一个月。该计划包括量身定制的案例故事和游戏化元素,如积分和关卡系统,以提高用户的参与度和依从性。结果采用基于网络的问卷进行自我评估,包括抑郁症状的变化、大学生活的适应、消极和积极的自动思维。应用程序的可用性也进行了评估。使用经过验证和标准化的工具,在3个时间点测量结果:干预前、干预后和2个月随访(F/U)。结果:共170例,平均年龄22.60岁,SD 3.37岁;136/170(80%为女性)参与了这项研究。卡方分析显示两组在基线时在年龄、性别或年级方面无显著差异(P < 0.05)。广义估计方程分析揭示了所有变量的显著time×group相互作用。与对照组相比,干预组在所有结果上都表现出更大的改善,组间效应值从-0.78到0.49不等。对于抑郁症状,观察到较大的组内效应量(患者健康问卷-9:前后,Cohen d=1.12;前至F/U, Cohen d=1.15;Beck抑郁量表- ii:前期到后期,Cohen d=0.90;pre to F/U, Cohen d=1.04)。对大学生活的适应也发现了较大的组内效应量(大学生大学适应问卷-修订:前到后,Cohen d=-0.87;消极的自动思维(自动思维问卷-消极,简短形式:前至后,Cohen d=0.36;积极的自动思维(自动思维问卷-积极,简短形式:前至后,Cohen d=-0.45;pre to F/U, Cohen d=-0.44)。干预组和对照组的依从率分别为89%和99%。可用性测试结果使用手机应用评级量表进行评估,总体得分为3.88分,在用户粘性、功能、美学和信息质量类别中得分高于中等水平。结论:Mind Booster Green作为传统大学生心理服务的补充干预具有很大的潜力,为大学生心理健康问题提供了一种具有成本效益和可扩展性的解决方案。未来的研究应探索该计划在不同人群中的适用性。
本文章由计算机程序翻译,如有差异,请以英文原文为准。

An App-Based Cognitive Behavioral Therapy Program Tailored for College Students: Randomized Controlled Trial.

An App-Based Cognitive Behavioral Therapy Program Tailored for College Students: Randomized Controlled Trial.

An App-Based Cognitive Behavioral Therapy Program Tailored for College Students: Randomized Controlled Trial.

An App-Based Cognitive Behavioral Therapy Program Tailored for College Students: Randomized Controlled Trial.

Background: Technology-based cognitive behavioral therapy programs are accessible interventions to address mental health challenges, particularly among college students. Despite their potential, low adherence rates remain a key challenge.

Objective: This study aims to assess the effects of the tailored content and gamification elements of the Mind Booster Green program on reducing depressive symptoms and improving college life adjustment.

Methods: A randomized, unblinded controlled trial was conducted among college students. All study procedures were conducted remotely using web-based tools. The participants were randomly assigned to the intervention or waitlist control groups. The intervention group used Mind Booster Green, an app-based self-help cognitive behavioral therapy program for 1 month. The program included tailored case stories and gamification elements, such as point and level systems, to enhance user engagement and adherence. Outcomes were self-assessed using web-based questionnaires and included changes in depressive symptoms, college life adjustment, and negative and positive automatic thoughts. The usability of the app was also evaluated. Outcomes were measured at 3 time points: preintervention, postintervention, and at a 2-month follow-up (F/U), using validated and standardized tools.

Results: A total of 170 individuals (mean age 22.60, SD 3.37 years; 136/170, 80% female) participated in the study. A chi-square analysis revealed no significant differences between the two groups at baseline in terms of age, sex, or class year (P>.05). A generalized estimating equation analysis revealed significant time×group interactions for all variables. Compared to the control group, the intervention group showed greater improvements across all outcomes, with between-group effect sizes ranging from -0.78 to 0.49. For derpessive symptoms, large within-group effect size were observed (Patient Health Questionnaire-9: pre to post, Cohen d=1.12; pre to F/U, Cohen d=1.15; Beck Depression Inventory-II: pre to post, Cohen d=0.90; pre to F/U, Cohen d=1.04). Large within-group effect size was also found for adjustment to college life (Student Adaptation to College Questionnaire-Revised: pre to post, Cohen d=-0.87; pre to F/U, Cohen d=-0.85), and moderate effect for negative automatic thoughts (Automatic Thought Questionnaire-Negative, Short Form: pre to post, Cohen d=0.36; pre to F/U, Cohen d=0.58) and positive automatic thoughts (Automatic Thought Questionnaire-Positive, Short Form: pre to post, Cohen d=-0.45; pre to F/U, Cohen d=-0.44). Adherence rates were 89% and 99% for the intervention and control groups, respectively. The usability test results, assessed using the Mobile App Rating Scale, showed an overall score of 3.88, with scores above the medium level in the engagement, functionality, aesthetics, and information quality categories.

Conclusions: Mind Booster Green demonstrated substantial potential as a complementary interventio to traditional psychological services for college students, providing a cost-effective and scalable solution for mental health issues. Future research should explore the applicability of this program in diverse populations.

求助全文
通过发布文献求助,成功后即可免费获取论文全文。 去求助
来源期刊
JMIR mHealth and uHealth
JMIR mHealth and uHealth Medicine-Health Informatics
CiteScore
12.60
自引率
4.00%
发文量
159
审稿时长
10 weeks
期刊介绍: JMIR mHealth and uHealth (JMU, ISSN 2291-5222) is a spin-off journal of JMIR, the leading eHealth journal (Impact Factor 2016: 5.175). JMIR mHealth and uHealth is indexed in PubMed, PubMed Central, and Science Citation Index Expanded (SCIE), and in June 2017 received a stunning inaugural Impact Factor of 4.636. The journal focusses on health and biomedical applications in mobile and tablet computing, pervasive and ubiquitous computing, wearable computing and domotics. JMIR mHealth and uHealth publishes since 2013 and was the first mhealth journal in Pubmed. It publishes even faster and has a broader scope with including papers which are more technical or more formative/developmental than what would be published in the Journal of Medical Internet Research.
×
引用
GB/T 7714-2015
复制
MLA
复制
APA
复制
导出至
BibTeX EndNote RefMan NoteFirst NoteExpress
×
提示
您的信息不完整,为了账户安全,请先补充。
现在去补充
×
提示
您因"违规操作"
具体请查看互助需知
我知道了
×
提示
确定
请完成安全验证×
copy
已复制链接
快去分享给好友吧!
我知道了
右上角分享
点击右上角分享
0
联系我们:info@booksci.cn Book学术提供免费学术资源搜索服务,方便国内外学者检索中英文文献。致力于提供最便捷和优质的服务体验。 Copyright © 2023 布克学术 All rights reserved.
京ICP备2023020795号-1
ghs 京公网安备 11010802042870号
Book学术文献互助
Book学术文献互助群
群 号:604180095
Book学术官方微信