荷兰的PET/CT采集和处理协议。

IF 3.2 2区 医学 Q2 RADIOLOGY, NUCLEAR MEDICINE & MEDICAL IMAGING
Dennis B M Dieckens, Pepijn van Horssen, Koen A J van Gils, Arjon J van Lange, Oleksandra V Ivashchenko, Wouter J H Veldkamp, Adriaan A Lammertsma, Niels C Veltman
{"title":"荷兰的PET/CT采集和处理协议。","authors":"Dennis B M Dieckens, Pepijn van Horssen, Koen A J van Gils, Arjon J van Lange, Oleksandra V Ivashchenko, Wouter J H Veldkamp, Adriaan A Lammertsma, Niels C Veltman","doi":"10.1186/s40658-025-00770-3","DOIUrl":null,"url":null,"abstract":"<p><strong>Purpose: </strong>To evaluate variations in acquisition and processing protocols for four of the most common PET/CT examinations in Dutch hospitals: FDG-WB, [<sup>18</sup>F]F-PSMA, [<sup>68</sup>Ga]Ga-PSMA, and FDG-Brain.</p><p><strong>Methods: </strong>All nuclear medicine departments in the Netherlands with a PET/CT scanner were invited to participate in a survey about acquisition and processing protocols for FDG-WB, [<sup>18</sup>F]F-PSMA, [<sup>68</sup>Ga]Ga-PSMA, and FDG-Brain PET/CT examinations. The survey collected data on injected activity, acquisition times, and reconstruction/post-processing settings. From these data, we analyzed the weight-dependent injected activity, acquisition count statistics, and correlations with scanner performance (NEMA sensitivity).</p><p><strong>Results: </strong>A total of 42 hospitals responded (including all Dutch University Medical Centers), providing data from 58 PET/CT systems spanning 11 different models from 4 vendors. Injected activity and scan duration varied widely across hospitals, even for the same scanner model and examination type. A moderate negative correlation was observed between scanner sensitivity and the normalized injected activity × scan duration product for FDG-WB (R<sup>2</sup> = 0.50, slope = - 186.5) and FDG-brain (R<sup>2</sup> = 0.33, slope = - 180.8), suggesting that hospitals using higher-sensitivity scanners tend to reduce either injected activity or scan duration to maintain comparable acquisition counts. For [<sup>18</sup>F]F-PSMA (R<sup>2</sup> = 0.24, slope = - 62.6), the trend was less pronounced, indicating greater variability in how PET/CT centers adjust injected activity and scan duration for these tracers. In contrast, for [<sup>68</sup> Ga]Ga-PSMA (R<sup>2</sup> = 0.04, slope = - 28.3), no significant correlation was found, suggesting that scanner sensitivity plays a minimal role in protocol selection for these examinations. The observed variations in injected activity led to differences in patient radiation dose by a factor of 4 for FDG-WB, more than a factor of 10 for PSMA, and a factor of 5 for FDG-brain scans. These differences persist even after accounting for scan duration, scanner sensitivity, and overlap between scanning positions, highlighting substantial inconsistencies in PET/CT imaging protocols across Dutch hospitals.</p><p><strong>Conclusion: </strong>The main objective of this survey was to determine the current state of practice in the Netherlands for three common PET/CT examinations. We observed variations in the injected activity for all PET/CT exam types, even within the same scanner model, that cannot be explained by taking into account differences in scanning times or uptake times. The direct implication of the observed variation in injected activity is a similar variation in radiation dose to the patient. We observed differences in dose to the patient of up to a factor 4 for FDG-WB, more than a factor of 5for [<sup>18</sup>F]F-PSMA, a factor of 4 for [<sup>68</sup> Ga]Ga-PSMA, and up to a factor of 5 for FDG-brain scans. Variations in count statistics, reconstruction, and processing settings for similar-weight patients on comparable PET/CT systems should be further investigated for their impact on lesion detectability.</p>","PeriodicalId":11559,"journal":{"name":"EJNMMI Physics","volume":"12 1","pages":"57"},"PeriodicalIF":3.2000,"publicationDate":"2025-06-19","publicationTypes":"Journal Article","fieldsOfStudy":null,"isOpenAccess":false,"openAccessPdf":"https://www.ncbi.nlm.nih.gov/pmc/articles/PMC12179025/pdf/","citationCount":"0","resultStr":"{\"title\":\"PET/CT acquisition and processing protocols in the Netherlands.\",\"authors\":\"Dennis B M Dieckens, Pepijn van Horssen, Koen A J van Gils, Arjon J van Lange, Oleksandra V Ivashchenko, Wouter J H Veldkamp, Adriaan A Lammertsma, Niels C Veltman\",\"doi\":\"10.1186/s40658-025-00770-3\",\"DOIUrl\":null,\"url\":null,\"abstract\":\"<p><strong>Purpose: </strong>To evaluate variations in acquisition and processing protocols for four of the most common PET/CT examinations in Dutch hospitals: FDG-WB, [<sup>18</sup>F]F-PSMA, [<sup>68</sup>Ga]Ga-PSMA, and FDG-Brain.</p><p><strong>Methods: </strong>All nuclear medicine departments in the Netherlands with a PET/CT scanner were invited to participate in a survey about acquisition and processing protocols for FDG-WB, [<sup>18</sup>F]F-PSMA, [<sup>68</sup>Ga]Ga-PSMA, and FDG-Brain PET/CT examinations. The survey collected data on injected activity, acquisition times, and reconstruction/post-processing settings. From these data, we analyzed the weight-dependent injected activity, acquisition count statistics, and correlations with scanner performance (NEMA sensitivity).</p><p><strong>Results: </strong>A total of 42 hospitals responded (including all Dutch University Medical Centers), providing data from 58 PET/CT systems spanning 11 different models from 4 vendors. Injected activity and scan duration varied widely across hospitals, even for the same scanner model and examination type. A moderate negative correlation was observed between scanner sensitivity and the normalized injected activity × scan duration product for FDG-WB (R<sup>2</sup> = 0.50, slope = - 186.5) and FDG-brain (R<sup>2</sup> = 0.33, slope = - 180.8), suggesting that hospitals using higher-sensitivity scanners tend to reduce either injected activity or scan duration to maintain comparable acquisition counts. For [<sup>18</sup>F]F-PSMA (R<sup>2</sup> = 0.24, slope = - 62.6), the trend was less pronounced, indicating greater variability in how PET/CT centers adjust injected activity and scan duration for these tracers. In contrast, for [<sup>68</sup> Ga]Ga-PSMA (R<sup>2</sup> = 0.04, slope = - 28.3), no significant correlation was found, suggesting that scanner sensitivity plays a minimal role in protocol selection for these examinations. The observed variations in injected activity led to differences in patient radiation dose by a factor of 4 for FDG-WB, more than a factor of 10 for PSMA, and a factor of 5 for FDG-brain scans. These differences persist even after accounting for scan duration, scanner sensitivity, and overlap between scanning positions, highlighting substantial inconsistencies in PET/CT imaging protocols across Dutch hospitals.</p><p><strong>Conclusion: </strong>The main objective of this survey was to determine the current state of practice in the Netherlands for three common PET/CT examinations. We observed variations in the injected activity for all PET/CT exam types, even within the same scanner model, that cannot be explained by taking into account differences in scanning times or uptake times. The direct implication of the observed variation in injected activity is a similar variation in radiation dose to the patient. We observed differences in dose to the patient of up to a factor 4 for FDG-WB, more than a factor of 5for [<sup>18</sup>F]F-PSMA, a factor of 4 for [<sup>68</sup> Ga]Ga-PSMA, and up to a factor of 5 for FDG-brain scans. Variations in count statistics, reconstruction, and processing settings for similar-weight patients on comparable PET/CT systems should be further investigated for their impact on lesion detectability.</p>\",\"PeriodicalId\":11559,\"journal\":{\"name\":\"EJNMMI Physics\",\"volume\":\"12 1\",\"pages\":\"57\"},\"PeriodicalIF\":3.2000,\"publicationDate\":\"2025-06-19\",\"publicationTypes\":\"Journal Article\",\"fieldsOfStudy\":null,\"isOpenAccess\":false,\"openAccessPdf\":\"https://www.ncbi.nlm.nih.gov/pmc/articles/PMC12179025/pdf/\",\"citationCount\":\"0\",\"resultStr\":null,\"platform\":\"Semanticscholar\",\"paperid\":null,\"PeriodicalName\":\"EJNMMI Physics\",\"FirstCategoryId\":\"3\",\"ListUrlMain\":\"https://doi.org/10.1186/s40658-025-00770-3\",\"RegionNum\":2,\"RegionCategory\":\"医学\",\"ArticlePicture\":[],\"TitleCN\":null,\"AbstractTextCN\":null,\"PMCID\":null,\"EPubDate\":\"\",\"PubModel\":\"\",\"JCR\":\"Q2\",\"JCRName\":\"RADIOLOGY, NUCLEAR MEDICINE & MEDICAL IMAGING\",\"Score\":null,\"Total\":0}","platform":"Semanticscholar","paperid":null,"PeriodicalName":"EJNMMI Physics","FirstCategoryId":"3","ListUrlMain":"https://doi.org/10.1186/s40658-025-00770-3","RegionNum":2,"RegionCategory":"医学","ArticlePicture":[],"TitleCN":null,"AbstractTextCN":null,"PMCID":null,"EPubDate":"","PubModel":"","JCR":"Q2","JCRName":"RADIOLOGY, NUCLEAR MEDICINE & MEDICAL IMAGING","Score":null,"Total":0}
引用次数: 0

摘要

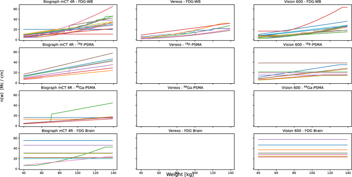
目的:评估荷兰医院中四种最常见的PET/CT检查的采集和处理方案的差异:FDG-WB、[18F]F-PSMA、[68Ga]Ga-PSMA和FDG-Brain。方法:邀请荷兰所有配备PET/CT扫描仪的核医学科室参与FDG-WB、[18F]F-PSMA、[68Ga]Ga-PSMA以及fdg -脑PET/CT检查的采集和处理方案调查。该调查收集了注入活动、采集时间、重建/后处理设置等数据。根据这些数据,我们分析了与权重相关的注入活度、采集计数统计数据以及与扫描仪性能(NEMA灵敏度)的相关性。结果:共有42家医院响应(包括所有荷兰大学医学中心),提供了来自4家供应商的58个PET/CT系统的数据,涵盖11种不同的模型。不同医院的注射活性和扫描持续时间差异很大,即使是相同的扫描仪型号和检查类型。FDG-WB和FDG-brain的扫描仪灵敏度与归一化注射活度×扫描时间乘积之间存在中度负相关(R2 = 0.50,斜率= - 186.5),表明使用高灵敏度扫描仪的医院倾向于减少注射活度或扫描时间,以保持可比较的采集计数。对于[18F]F-PSMA (R2 = 0.24,斜率= - 62.6),趋势不太明显,表明PET/CT中心如何调整这些示踪剂的注射活性和扫描时间存在较大差异。相比之下,对于[68 Ga]Ga- psma (R2 = 0.04,斜率= - 28.3),没有发现显著的相关性,这表明扫描仪灵敏度在这些检查的方案选择中起着很小的作用。观察到的注射活性变化导致患者辐射剂量的差异,FDG-WB为4倍,PSMA为10倍以上,fdg -脑扫描为5倍。即使考虑到扫描时间、扫描仪灵敏度和扫描位置之间的重叠,这些差异仍然存在,突出了荷兰各医院PET/CT成像协议的本质不一致。结论:本调查的主要目的是确定荷兰三种常见PET/CT检查的实践现状。我们观察到所有PET/CT检查类型的注射活性的变化,即使在相同的扫描仪模型中,也不能通过考虑扫描时间或摄取时间的差异来解释。观察到的注射活性变化的直接含义是对患者的辐射剂量的类似变化。我们观察到FDG-WB的剂量差异高达4倍,[18F]F-PSMA的剂量差异超过5倍,[68 Ga]Ga- psma的剂量差异为4倍,fdg -脑部扫描的剂量差异高达5倍。在类似的PET/CT系统上,对于体重相似的患者,计数统计、重建和处理设置的差异应进一步研究其对病变可检测性的影响。
本文章由计算机程序翻译,如有差异,请以英文原文为准。

PET/CT acquisition and processing protocols in the Netherlands.

PET/CT acquisition and processing protocols in the Netherlands.

PET/CT acquisition and processing protocols in the Netherlands.

PET/CT acquisition and processing protocols in the Netherlands.

Purpose: To evaluate variations in acquisition and processing protocols for four of the most common PET/CT examinations in Dutch hospitals: FDG-WB, [18F]F-PSMA, [68Ga]Ga-PSMA, and FDG-Brain.

Methods: All nuclear medicine departments in the Netherlands with a PET/CT scanner were invited to participate in a survey about acquisition and processing protocols for FDG-WB, [18F]F-PSMA, [68Ga]Ga-PSMA, and FDG-Brain PET/CT examinations. The survey collected data on injected activity, acquisition times, and reconstruction/post-processing settings. From these data, we analyzed the weight-dependent injected activity, acquisition count statistics, and correlations with scanner performance (NEMA sensitivity).

Results: A total of 42 hospitals responded (including all Dutch University Medical Centers), providing data from 58 PET/CT systems spanning 11 different models from 4 vendors. Injected activity and scan duration varied widely across hospitals, even for the same scanner model and examination type. A moderate negative correlation was observed between scanner sensitivity and the normalized injected activity × scan duration product for FDG-WB (R2 = 0.50, slope = - 186.5) and FDG-brain (R2 = 0.33, slope = - 180.8), suggesting that hospitals using higher-sensitivity scanners tend to reduce either injected activity or scan duration to maintain comparable acquisition counts. For [18F]F-PSMA (R2 = 0.24, slope = - 62.6), the trend was less pronounced, indicating greater variability in how PET/CT centers adjust injected activity and scan duration for these tracers. In contrast, for [68 Ga]Ga-PSMA (R2 = 0.04, slope = - 28.3), no significant correlation was found, suggesting that scanner sensitivity plays a minimal role in protocol selection for these examinations. The observed variations in injected activity led to differences in patient radiation dose by a factor of 4 for FDG-WB, more than a factor of 10 for PSMA, and a factor of 5 for FDG-brain scans. These differences persist even after accounting for scan duration, scanner sensitivity, and overlap between scanning positions, highlighting substantial inconsistencies in PET/CT imaging protocols across Dutch hospitals.

Conclusion: The main objective of this survey was to determine the current state of practice in the Netherlands for three common PET/CT examinations. We observed variations in the injected activity for all PET/CT exam types, even within the same scanner model, that cannot be explained by taking into account differences in scanning times or uptake times. The direct implication of the observed variation in injected activity is a similar variation in radiation dose to the patient. We observed differences in dose to the patient of up to a factor 4 for FDG-WB, more than a factor of 5for [18F]F-PSMA, a factor of 4 for [68 Ga]Ga-PSMA, and up to a factor of 5 for FDG-brain scans. Variations in count statistics, reconstruction, and processing settings for similar-weight patients on comparable PET/CT systems should be further investigated for their impact on lesion detectability.

求助全文
通过发布文献求助,成功后即可免费获取论文全文。 去求助
来源期刊
EJNMMI Physics
EJNMMI Physics Physics and Astronomy-Radiation
CiteScore
6.70
自引率
10.00%
发文量
78
审稿时长
13 weeks
期刊介绍: EJNMMI Physics is an international platform for scientists, users and adopters of nuclear medicine with a particular interest in physics matters. As a companion journal to the European Journal of Nuclear Medicine and Molecular Imaging, this journal has a multi-disciplinary approach and welcomes original materials and studies with a focus on applied physics and mathematics as well as imaging systems engineering and prototyping in nuclear medicine. This includes physics-driven approaches or algorithms supported by physics that foster early clinical adoption of nuclear medicine imaging and therapy.
×
引用
GB/T 7714-2015
复制
MLA
复制
APA
复制
导出至
BibTeX EndNote RefMan NoteFirst NoteExpress
×
提示
您的信息不完整,为了账户安全,请先补充。
现在去补充
×
提示
您因"违规操作"
具体请查看互助需知
我知道了
×
提示
确定
请完成安全验证×
copy
已复制链接
快去分享给好友吧!
我知道了
右上角分享
点击右上角分享
0
联系我们:info@booksci.cn Book学术提供免费学术资源搜索服务,方便国内外学者检索中英文文献。致力于提供最便捷和优质的服务体验。 Copyright © 2023 布克学术 All rights reserved.
京ICP备2023020795号-1
ghs 京公网安备 11010802042870号
Book学术文献互助
Book学术文献互助群
群 号:604180095
Book学术官方微信