侵袭性肺曲霉病合并SARS-CoV-2感染的临床特点及预后

IF 3.6 2区 医学 Q1 MICROBIOLOGY
Mengshu Xie, Xiaofeng Zhu, Ao Ma, Jiaqi Fan, Guangru Fei, Qianqian Zhou, Yan Zhang, Huimei Wu, Xuqin Jiang
{"title":"侵袭性肺曲霉病合并SARS-CoV-2感染的临床特点及预后","authors":"Mengshu Xie, Xiaofeng Zhu, Ao Ma, Jiaqi Fan, Guangru Fei, Qianqian Zhou, Yan Zhang, Huimei Wu, Xuqin Jiang","doi":"10.1186/s12941-025-00805-8","DOIUrl":null,"url":null,"abstract":"<p><strong>Background: </strong>COVID-19 associated pulmonary aspergillosis (CAPA) has been globally reported to be a life-threatening complication of severe COVID-19. Previous studies primarily focused on an association between secondary Aspergillus infection and elevated mortality risk in COVID-19 patients, while potential confounding factors and alternative pathogenic mechanisms remain insufficiently investigated. The risk factors and outcomes of patients with secondary SARS-CoV-2 infection following invasive pulmonary aspergillosis (IPA) were not been well explored either.</p><p><strong>Methods: </strong>This retrospective monocentric study enrolled 152 hospitalized IPA patients with and without SARS-CoV-2 infection from 1 November 2022 to 31 October 2023. The characteristics of IPA patients and related risk factors were investigated, and the relationship between different SARS-CoV-2 infection status and the prognosis in IPA patients was further evaluated.</p><p><strong>Results: </strong>Our analysis demonstrated that IPA patients subsequently diagnosed with SARS-CoV-2 infection exhibited significantly elevated mortality risk compared to those without viral coinfection (53.6% vs. 22.9%, P < 0.001). SARS-CoV-2 infection status (OR 3.708; P = 0.001; 95%CI 1.674-8.212), albumin concentration (OR 0.885; P = 0.005; 95%CI 0.813-0.964), and C-reactive protein level (OR 1.007; P = 0.012; 95%CI 1.002-1.013) were statistically significant independent risk factors for prognosis of IPA patients. Subsequent analysis established a multivariate risk prediction model incorporating independent prognostic factors, which exhibited robust discriminative capacity for mortality risk stratification via ROC curve validation (AUC = 0.792, 95%CI 0.721-0.862, P < 0.0001). A statistically significant difference in mortality rate existed between IPA patients with secondary SARS-CoV-2 infection and CAPA patients (63.2% and 33.3%, P = 0.037). Notably, comparative analysis revealed no statistically significant differences in 28-day (22/96, 22.9% vs. 6/18, 33.3%) or 90-day mortality rates (22/96, 22.9% vs. 6/18, 33.3%) between patients with IPA without SARS-CoV-2 infection and IPA patients with secondary SARS-CoV-2 infection.</p><p><strong>Conclusions: </strong>IPA patients with secondary SARS-CoV-2 coinfection had a lower mortality compared to those with CAPA. Considering the high mortality rate, more medical cares are needed for these patients.</p>","PeriodicalId":8052,"journal":{"name":"Annals of Clinical Microbiology and Antimicrobials","volume":"24 1","pages":"38"},"PeriodicalIF":3.6000,"publicationDate":"2025-06-18","publicationTypes":"Journal Article","fieldsOfStudy":null,"isOpenAccess":false,"openAccessPdf":"https://www.ncbi.nlm.nih.gov/pmc/articles/PMC12175473/pdf/","citationCount":"0","resultStr":"{\"title\":\"SARS-CoV-2 coinfection in patients with invasive pulmonary aspergillosis: clinical characteristics and prognosis.\",\"authors\":\"Mengshu Xie, Xiaofeng Zhu, Ao Ma, Jiaqi Fan, Guangru Fei, Qianqian Zhou, Yan Zhang, Huimei Wu, Xuqin Jiang\",\"doi\":\"10.1186/s12941-025-00805-8\",\"DOIUrl\":null,\"url\":null,\"abstract\":\"<p><strong>Background: </strong>COVID-19 associated pulmonary aspergillosis (CAPA) has been globally reported to be a life-threatening complication of severe COVID-19. Previous studies primarily focused on an association between secondary Aspergillus infection and elevated mortality risk in COVID-19 patients, while potential confounding factors and alternative pathogenic mechanisms remain insufficiently investigated. The risk factors and outcomes of patients with secondary SARS-CoV-2 infection following invasive pulmonary aspergillosis (IPA) were not been well explored either.</p><p><strong>Methods: </strong>This retrospective monocentric study enrolled 152 hospitalized IPA patients with and without SARS-CoV-2 infection from 1 November 2022 to 31 October 2023. The characteristics of IPA patients and related risk factors were investigated, and the relationship between different SARS-CoV-2 infection status and the prognosis in IPA patients was further evaluated.</p><p><strong>Results: </strong>Our analysis demonstrated that IPA patients subsequently diagnosed with SARS-CoV-2 infection exhibited significantly elevated mortality risk compared to those without viral coinfection (53.6% vs. 22.9%, P < 0.001). SARS-CoV-2 infection status (OR 3.708; P = 0.001; 95%CI 1.674-8.212), albumin concentration (OR 0.885; P = 0.005; 95%CI 0.813-0.964), and C-reactive protein level (OR 1.007; P = 0.012; 95%CI 1.002-1.013) were statistically significant independent risk factors for prognosis of IPA patients. Subsequent analysis established a multivariate risk prediction model incorporating independent prognostic factors, which exhibited robust discriminative capacity for mortality risk stratification via ROC curve validation (AUC = 0.792, 95%CI 0.721-0.862, P < 0.0001). A statistically significant difference in mortality rate existed between IPA patients with secondary SARS-CoV-2 infection and CAPA patients (63.2% and 33.3%, P = 0.037). Notably, comparative analysis revealed no statistically significant differences in 28-day (22/96, 22.9% vs. 6/18, 33.3%) or 90-day mortality rates (22/96, 22.9% vs. 6/18, 33.3%) between patients with IPA without SARS-CoV-2 infection and IPA patients with secondary SARS-CoV-2 infection.</p><p><strong>Conclusions: </strong>IPA patients with secondary SARS-CoV-2 coinfection had a lower mortality compared to those with CAPA. Considering the high mortality rate, more medical cares are needed for these patients.</p>\",\"PeriodicalId\":8052,\"journal\":{\"name\":\"Annals of Clinical Microbiology and Antimicrobials\",\"volume\":\"24 1\",\"pages\":\"38\"},\"PeriodicalIF\":3.6000,\"publicationDate\":\"2025-06-18\",\"publicationTypes\":\"Journal Article\",\"fieldsOfStudy\":null,\"isOpenAccess\":false,\"openAccessPdf\":\"https://www.ncbi.nlm.nih.gov/pmc/articles/PMC12175473/pdf/\",\"citationCount\":\"0\",\"resultStr\":null,\"platform\":\"Semanticscholar\",\"paperid\":null,\"PeriodicalName\":\"Annals of Clinical Microbiology and Antimicrobials\",\"FirstCategoryId\":\"3\",\"ListUrlMain\":\"https://doi.org/10.1186/s12941-025-00805-8\",\"RegionNum\":2,\"RegionCategory\":\"医学\",\"ArticlePicture\":[],\"TitleCN\":null,\"AbstractTextCN\":null,\"PMCID\":null,\"EPubDate\":\"\",\"PubModel\":\"\",\"JCR\":\"Q1\",\"JCRName\":\"MICROBIOLOGY\",\"Score\":null,\"Total\":0}","platform":"Semanticscholar","paperid":null,"PeriodicalName":"Annals of Clinical Microbiology and Antimicrobials","FirstCategoryId":"3","ListUrlMain":"https://doi.org/10.1186/s12941-025-00805-8","RegionNum":2,"RegionCategory":"医学","ArticlePicture":[],"TitleCN":null,"AbstractTextCN":null,"PMCID":null,"EPubDate":"","PubModel":"","JCR":"Q1","JCRName":"MICROBIOLOGY","Score":null,"Total":0}
引用次数: 0

摘要

背景:据全球报道,COVID-19相关肺曲霉病(CAPA)是严重COVID-19的一种危及生命的并发症。以往的研究主要集中在继发性曲霉感染与COVID-19患者死亡风险升高之间的关联,而潜在的混杂因素和其他致病机制仍未得到充分研究。侵袭性肺曲霉病(IPA)继发性SARS-CoV-2感染患者的危险因素和预后也未得到很好的探讨。方法:这项回顾性单中心研究纳入了2022年11月1日至2023年10月31日期间收治的152例伴有和未伴有SARS-CoV-2感染的IPA住院患者。探讨IPA患者的特点及相关危险因素,进一步评价IPA患者不同的SARS-CoV-2感染状态与预后的关系。结果:我们的分析表明,与未合并病毒感染的IPA患者相比,随后诊断为SARS-CoV-2感染的IPA患者的死亡率显著升高(53.6%对22.9%)。结论:继发性SARS-CoV-2合并感染的IPA患者的死亡率低于CAPA患者。考虑到高死亡率,这些病人需要更多的医疗护理。
本文章由计算机程序翻译,如有差异,请以英文原文为准。

SARS-CoV-2 coinfection in patients with invasive pulmonary aspergillosis: clinical characteristics and prognosis.

SARS-CoV-2 coinfection in patients with invasive pulmonary aspergillosis: clinical characteristics and prognosis.

Background: COVID-19 associated pulmonary aspergillosis (CAPA) has been globally reported to be a life-threatening complication of severe COVID-19. Previous studies primarily focused on an association between secondary Aspergillus infection and elevated mortality risk in COVID-19 patients, while potential confounding factors and alternative pathogenic mechanisms remain insufficiently investigated. The risk factors and outcomes of patients with secondary SARS-CoV-2 infection following invasive pulmonary aspergillosis (IPA) were not been well explored either.

Methods: This retrospective monocentric study enrolled 152 hospitalized IPA patients with and without SARS-CoV-2 infection from 1 November 2022 to 31 October 2023. The characteristics of IPA patients and related risk factors were investigated, and the relationship between different SARS-CoV-2 infection status and the prognosis in IPA patients was further evaluated.

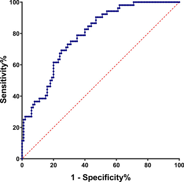
Results: Our analysis demonstrated that IPA patients subsequently diagnosed with SARS-CoV-2 infection exhibited significantly elevated mortality risk compared to those without viral coinfection (53.6% vs. 22.9%, P < 0.001). SARS-CoV-2 infection status (OR 3.708; P = 0.001; 95%CI 1.674-8.212), albumin concentration (OR 0.885; P = 0.005; 95%CI 0.813-0.964), and C-reactive protein level (OR 1.007; P = 0.012; 95%CI 1.002-1.013) were statistically significant independent risk factors for prognosis of IPA patients. Subsequent analysis established a multivariate risk prediction model incorporating independent prognostic factors, which exhibited robust discriminative capacity for mortality risk stratification via ROC curve validation (AUC = 0.792, 95%CI 0.721-0.862, P < 0.0001). A statistically significant difference in mortality rate existed between IPA patients with secondary SARS-CoV-2 infection and CAPA patients (63.2% and 33.3%, P = 0.037). Notably, comparative analysis revealed no statistically significant differences in 28-day (22/96, 22.9% vs. 6/18, 33.3%) or 90-day mortality rates (22/96, 22.9% vs. 6/18, 33.3%) between patients with IPA without SARS-CoV-2 infection and IPA patients with secondary SARS-CoV-2 infection.

Conclusions: IPA patients with secondary SARS-CoV-2 coinfection had a lower mortality compared to those with CAPA. Considering the high mortality rate, more medical cares are needed for these patients.

求助全文
通过发布文献求助,成功后即可免费获取论文全文。 去求助
来源期刊
CiteScore
8.60
自引率
0.00%
发文量
49
审稿时长
>12 weeks
期刊介绍: Annals of Clinical Microbiology and Antimicrobials considers good quality, novel and international research of more than regional relevance. Research must include epidemiological and/or clinical information about isolates, and the journal covers the clinical microbiology of bacteria, viruses and fungi, as well as antimicrobial treatment of infectious diseases. Annals of Clinical Microbiology and Antimicrobials is an open access, peer-reviewed journal focusing on information concerning clinical microbiology, infectious diseases and antimicrobials. The management of infectious disease is dependent on correct diagnosis and appropriate antimicrobial treatment, and with this in mind, the journal aims to improve the communication between laboratory and clinical science in the field of clinical microbiology and antimicrobial treatment. Furthermore, the journal has no restrictions on space or access; this ensures that the journal can reach the widest possible audience.
×
引用
GB/T 7714-2015
复制
MLA
复制
APA
复制
导出至
BibTeX EndNote RefMan NoteFirst NoteExpress
×
提示
您的信息不完整,为了账户安全,请先补充。
现在去补充
×
提示
您因"违规操作"
具体请查看互助需知
我知道了
×
提示
确定
请完成安全验证×
copy
已复制链接
快去分享给好友吧!
我知道了
右上角分享
点击右上角分享
0
联系我们:info@booksci.cn Book学术提供免费学术资源搜索服务,方便国内外学者检索中英文文献。致力于提供最便捷和优质的服务体验。 Copyright © 2023 布克学术 All rights reserved.
京ICP备2023020795号-1
ghs 京公网安备 11010802042870号
Book学术文献互助
Book学术文献互助群
群 号:604180095
Book学术官方微信