健康促进项目对东南亚高血压和高血压前期人群血压的影响:系统回顾和荟萃分析

IF 2.3 4区 医学 Q2 NURSING
Nursing Open Pub Date : 2025-06-01 DOI:10.1002/nop2.70252
Pataporn Bawornthip, Andrea Driscoll, Damien Khaw, Anastasia Hutchinson
{"title":"健康促进项目对东南亚高血压和高血压前期人群血压的影响:系统回顾和荟萃分析","authors":"Pataporn Bawornthip, Andrea Driscoll, Damien Khaw, Anastasia Hutchinson","doi":"10.1002/nop2.70252","DOIUrl":null,"url":null,"abstract":"<p><strong>Aim: </strong>To evaluate health promotion programmes for managing hypertension in Southeast Asia.</p><p><strong>Design: </strong>Systematic review and meta-analysis.</p><p><strong>Methods: </strong>A systematic search was conducted across five databases: MEDLINE, APA PsycInfo, Scopus, Web of Science, and CINAHL, covering studies conducted in Southeast Asia and published in English from January 2003 to December 2023. The review adhered to the Preferred Reporting Items for Systematic Reviews and Meta-Analyses (PRISMA) guidelines, and the protocol was registered in PROSPERO. Eligibility criteria included adults aged 18 years and older with prehypertension or hypertension, evaluating health promotion programmes focusing on exercise intervention, dietary modification, and health education compared with usual care.</p><p><strong>Results: </strong>Eleven of the twenty-six studies were included in meta-analyses and showed a statistically significant effect of the interventions on blood pressure. Two studies of dietary interventions demonstrated decreased systolic blood pressure with a pooled mean difference of 8.32 mmHg (95% CI -11.29, -5.34, p ≤ 0.001). Four studies of endurance exercise reduced systolic blood pressure with a pooled mean difference of 15.95 mmHg (95% CI -19.45, -12.46, p < 0.001). Two studies of combined diet and exercise with intensive coaching decreased systolic blood pressure with a pooled mean difference of 6.41 mmHg (95% CI -7.49, -5.33, p < 0.001). Two studies of health education show a clinically significant decrease in systolic blood pressure by 5-18 mmHg.</p><p><strong>Patient or public contribution: </strong>Health promotion interventions are feasible and acceptable in Southeast Asian populations and significantly reduce blood pressure, particularly systolic blood pressure. Consuming a healthy diet such as the Dietary Approaches to Stop Hypertension Diet (DASH), restricting sodium, and increasing potassium intake is feasible and effective in the Southeast Asian context. To optimise impacts on blood pressure control, endurance exercise interventions should adhere to established exercise principles. Health education programs should incorporate effective coaching strategies to enhance their impact.</p>","PeriodicalId":48570,"journal":{"name":"Nursing Open","volume":"12 6","pages":"e70252"},"PeriodicalIF":2.3000,"publicationDate":"2025-06-01","publicationTypes":"Journal Article","fieldsOfStudy":null,"isOpenAccess":false,"openAccessPdf":"https://www.ncbi.nlm.nih.gov/pmc/articles/PMC12172000/pdf/","citationCount":"0","resultStr":"{\"title\":\"Effectiveness of Health Promotion Programs on Blood Pressure in People With Hypertension and Prehypertension in Southeast Asian Populations: Systematic Review and Meta-Analysis.\",\"authors\":\"Pataporn Bawornthip, Andrea Driscoll, Damien Khaw, Anastasia Hutchinson\",\"doi\":\"10.1002/nop2.70252\",\"DOIUrl\":null,\"url\":null,\"abstract\":\"<p><strong>Aim: </strong>To evaluate health promotion programmes for managing hypertension in Southeast Asia.</p><p><strong>Design: </strong>Systematic review and meta-analysis.</p><p><strong>Methods: </strong>A systematic search was conducted across five databases: MEDLINE, APA PsycInfo, Scopus, Web of Science, and CINAHL, covering studies conducted in Southeast Asia and published in English from January 2003 to December 2023. The review adhered to the Preferred Reporting Items for Systematic Reviews and Meta-Analyses (PRISMA) guidelines, and the protocol was registered in PROSPERO. Eligibility criteria included adults aged 18 years and older with prehypertension or hypertension, evaluating health promotion programmes focusing on exercise intervention, dietary modification, and health education compared with usual care.</p><p><strong>Results: </strong>Eleven of the twenty-six studies were included in meta-analyses and showed a statistically significant effect of the interventions on blood pressure. Two studies of dietary interventions demonstrated decreased systolic blood pressure with a pooled mean difference of 8.32 mmHg (95% CI -11.29, -5.34, p ≤ 0.001). Four studies of endurance exercise reduced systolic blood pressure with a pooled mean difference of 15.95 mmHg (95% CI -19.45, -12.46, p < 0.001). Two studies of combined diet and exercise with intensive coaching decreased systolic blood pressure with a pooled mean difference of 6.41 mmHg (95% CI -7.49, -5.33, p < 0.001). Two studies of health education show a clinically significant decrease in systolic blood pressure by 5-18 mmHg.</p><p><strong>Patient or public contribution: </strong>Health promotion interventions are feasible and acceptable in Southeast Asian populations and significantly reduce blood pressure, particularly systolic blood pressure. Consuming a healthy diet such as the Dietary Approaches to Stop Hypertension Diet (DASH), restricting sodium, and increasing potassium intake is feasible and effective in the Southeast Asian context. To optimise impacts on blood pressure control, endurance exercise interventions should adhere to established exercise principles. Health education programs should incorporate effective coaching strategies to enhance their impact.</p>\",\"PeriodicalId\":48570,\"journal\":{\"name\":\"Nursing Open\",\"volume\":\"12 6\",\"pages\":\"e70252\"},\"PeriodicalIF\":2.3000,\"publicationDate\":\"2025-06-01\",\"publicationTypes\":\"Journal Article\",\"fieldsOfStudy\":null,\"isOpenAccess\":false,\"openAccessPdf\":\"https://www.ncbi.nlm.nih.gov/pmc/articles/PMC12172000/pdf/\",\"citationCount\":\"0\",\"resultStr\":null,\"platform\":\"Semanticscholar\",\"paperid\":null,\"PeriodicalName\":\"Nursing Open\",\"FirstCategoryId\":\"3\",\"ListUrlMain\":\"https://doi.org/10.1002/nop2.70252\",\"RegionNum\":4,\"RegionCategory\":\"医学\",\"ArticlePicture\":[],\"TitleCN\":null,\"AbstractTextCN\":null,\"PMCID\":null,\"EPubDate\":\"\",\"PubModel\":\"\",\"JCR\":\"Q2\",\"JCRName\":\"NURSING\",\"Score\":null,\"Total\":0}","platform":"Semanticscholar","paperid":null,"PeriodicalName":"Nursing Open","FirstCategoryId":"3","ListUrlMain":"https://doi.org/10.1002/nop2.70252","RegionNum":4,"RegionCategory":"医学","ArticlePicture":[],"TitleCN":null,"AbstractTextCN":null,"PMCID":null,"EPubDate":"","PubModel":"","JCR":"Q2","JCRName":"NURSING","Score":null,"Total":0}
引用次数: 0

摘要

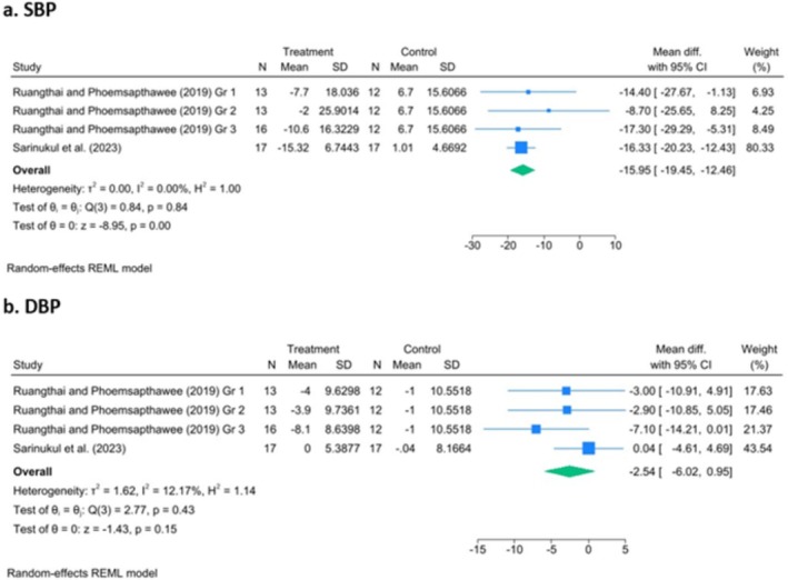
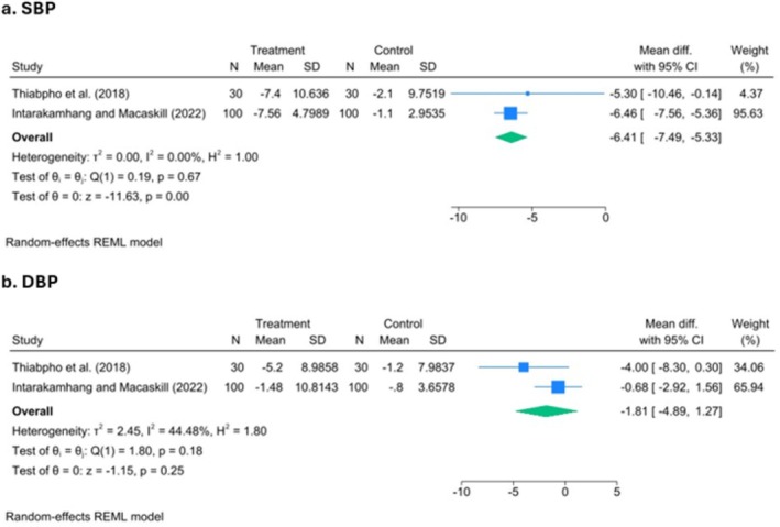
目的:评价东南亚地区管理高血压的健康促进计划。设计:系统回顾和荟萃分析。方法:系统检索MEDLINE、APA PsycInfo、Scopus、Web of Science和CINAHL五个数据库,涵盖2003年1月至2023年12月在东南亚发表的英文研究。该评价遵循系统评价和荟萃分析的首选报告项目(PRISMA)指南,该方案已在PROSPERO注册。入选标准包括18岁及以上患有高血压前期或高血压的成年人,评估以运动干预、饮食调整和健康教育为重点的健康促进计划,并与常规护理进行比较。结果:26项研究中有11项被纳入荟萃分析,并显示干预对血压有统计学显著影响。两项饮食干预研究显示收缩压降低,合并平均差异为8.32 mmHg (95% CI -11.29, -5.34, p≤0.001)。四项耐力运动降低收缩压的研究,合并平均差值为15.95 mmHg (95% CI -19.45, -12.46, p)。患者或公众贡献:健康促进干预在东南亚人群中是可行和可接受的,可以显著降低血压,特别是收缩压。在东南亚地区,采用健康饮食,如饮食方法来停止高血压饮食(DASH),限制钠和增加钾的摄入是可行和有效的。为了优化对血压控制的影响,耐力运动干预应遵循既定的运动原则。健康教育计划应纳入有效的指导策略,以提高其影响。
本文章由计算机程序翻译,如有差异,请以英文原文为准。

Effectiveness of Health Promotion Programs on Blood Pressure in People With Hypertension and Prehypertension in Southeast Asian Populations: Systematic Review and Meta-Analysis.

Effectiveness of Health Promotion Programs on Blood Pressure in People With Hypertension and Prehypertension in Southeast Asian Populations: Systematic Review and Meta-Analysis.

Effectiveness of Health Promotion Programs on Blood Pressure in People With Hypertension and Prehypertension in Southeast Asian Populations: Systematic Review and Meta-Analysis.

Effectiveness of Health Promotion Programs on Blood Pressure in People With Hypertension and Prehypertension in Southeast Asian Populations: Systematic Review and Meta-Analysis.

Aim: To evaluate health promotion programmes for managing hypertension in Southeast Asia.

Design: Systematic review and meta-analysis.

Methods: A systematic search was conducted across five databases: MEDLINE, APA PsycInfo, Scopus, Web of Science, and CINAHL, covering studies conducted in Southeast Asia and published in English from January 2003 to December 2023. The review adhered to the Preferred Reporting Items for Systematic Reviews and Meta-Analyses (PRISMA) guidelines, and the protocol was registered in PROSPERO. Eligibility criteria included adults aged 18 years and older with prehypertension or hypertension, evaluating health promotion programmes focusing on exercise intervention, dietary modification, and health education compared with usual care.

Results: Eleven of the twenty-six studies were included in meta-analyses and showed a statistically significant effect of the interventions on blood pressure. Two studies of dietary interventions demonstrated decreased systolic blood pressure with a pooled mean difference of 8.32 mmHg (95% CI -11.29, -5.34, p ≤ 0.001). Four studies of endurance exercise reduced systolic blood pressure with a pooled mean difference of 15.95 mmHg (95% CI -19.45, -12.46, p < 0.001). Two studies of combined diet and exercise with intensive coaching decreased systolic blood pressure with a pooled mean difference of 6.41 mmHg (95% CI -7.49, -5.33, p < 0.001). Two studies of health education show a clinically significant decrease in systolic blood pressure by 5-18 mmHg.

Patient or public contribution: Health promotion interventions are feasible and acceptable in Southeast Asian populations and significantly reduce blood pressure, particularly systolic blood pressure. Consuming a healthy diet such as the Dietary Approaches to Stop Hypertension Diet (DASH), restricting sodium, and increasing potassium intake is feasible and effective in the Southeast Asian context. To optimise impacts on blood pressure control, endurance exercise interventions should adhere to established exercise principles. Health education programs should incorporate effective coaching strategies to enhance their impact.

求助全文
通过发布文献求助,成功后即可免费获取论文全文。 去求助
来源期刊
Nursing Open
Nursing Open Nursing-General Nursing
CiteScore
3.60
自引率
4.30%
发文量
298
审稿时长
17 weeks
期刊介绍: Nursing Open is a peer reviewed open access journal that welcomes articles on all aspects of nursing and midwifery practice, research, education and policy. We aim to publish articles that contribute to the art and science of nursing and which have a positive impact on health either locally, nationally, regionally or globally
×
引用
GB/T 7714-2015
复制
MLA
复制
APA
复制
导出至
BibTeX EndNote RefMan NoteFirst NoteExpress
×
提示
您的信息不完整,为了账户安全,请先补充。
现在去补充
×
提示
您因"违规操作"
具体请查看互助需知
我知道了
×
提示
确定
请完成安全验证×
copy
已复制链接
快去分享给好友吧!
我知道了
右上角分享
点击右上角分享
0
联系我们:info@booksci.cn Book学术提供免费学术资源搜索服务,方便国内外学者检索中英文文献。致力于提供最便捷和优质的服务体验。 Copyright © 2023 布克学术 All rights reserved.
京ICP备2023020795号-1
ghs 京公网安备 11010802042870号
Book学术文献互助
Book学术文献互助群
群 号:604180095
Book学术官方微信