抗病毒治疗对肝切除术后hbv相关肝内胆管癌患者生存的影响:基于倾向评分匹配法的14年回顾性随访研究

IF 2.8 3区 医学 Q1 Pharmacology, Toxicology and Pharmaceutics
Therapeutics and Clinical Risk Management Pub Date : 2025-06-11 eCollection Date: 2025-01-01 DOI:10.2147/TCRM.S520629
Zhiqiang Chen, Hui Zhang, Long Zhang, Guoyong Han, Yao Zhang, Jindao Wu, Xiangcheng Li, Xiaoxin Mu, Xuehao Wang
{"title":"抗病毒治疗对肝切除术后hbv相关肝内胆管癌患者生存的影响:基于倾向评分匹配法的14年回顾性随访研究","authors":"Zhiqiang Chen, Hui Zhang, Long Zhang, Guoyong Han, Yao Zhang, Jindao Wu, Xiangcheng Li, Xiaoxin Mu, Xuehao Wang","doi":"10.2147/TCRM.S520629","DOIUrl":null,"url":null,"abstract":"<p><strong>Purpose: </strong>Hepatitis B virus infection is one of the most common risk factors leading to the development of intrahepatic cholangiocarcinoma (ICC). This study aims to determine the impact of antiviral treatment (AVT) on the survival outcomes of ICC patients with hepatitis B virus infection.</p><p><strong>Patients and methods: </strong>This retrospective study included ICC patients who had HBV infection and underwent hepatectomy from May 2009 to June 2023 at a single medical center. Patients' baseline characteristics were analyzed, and the 14-year follow-up data were investigated using Kaplan-Meier curves and multivariable Cox proportional hazards regression models. The propensity score matching method was performed to balance the baseline differences between the AVT group and the non-AVT group.</p><p><strong>Results: </strong>A total of 229 patients were finally enrolled in the analysis. In the total cohort, 81 patients were classified into the AVT group and 148 patients into the non-AVT group. Kaplan-Meier curves showed that the AVT group exhibited prolonged overall survival and recurrence-free survival compared to the non-AVT group. Cox proportional hazards regression models revealed that AVT was an independent prognostic factor for both overall survival (HR 0.453, 95% CI: 0.280-0.732) and recurrence-free survival (HR 0.659, 95% CI: 0.436-0.997). A 1:1 nearest-neighbor matching algorithm was adopted, and 64 pairs of AVT and non-AVT patients were included in the propensity score matching cohort. Multivariable survival analyses confirmed AVT as a significant predictor for a favorable overall survival (HR 0.277, 95% CI: 0.147-0.519), but no statistical significance for recurrence-free survival was observed between the AVT group and the non-AVT group after propensity score matching.</p><p><strong>Conclusion: </strong>We analyzed the long-term follow-up data for ICC patients with hepatitis B virus infection who underwent hepatectomy. Notably, AVT exhibited a beneficial impact on overall survival for these postoperative ICC patients. However, our findings indicated no statistically significant effect of AVT on recurrence-free survival.</p>","PeriodicalId":22977,"journal":{"name":"Therapeutics and Clinical Risk Management","volume":"21 ","pages":"869-884"},"PeriodicalIF":2.8000,"publicationDate":"2025-06-11","publicationTypes":"Journal Article","fieldsOfStudy":null,"isOpenAccess":false,"openAccessPdf":"https://www.ncbi.nlm.nih.gov/pmc/articles/PMC12168928/pdf/","citationCount":"0","resultStr":"{\"title\":\"Impact of Antiviral Treatment on Survival in HBV-Related Intrahepatic Cholangiocarcinoma Patients After Hepatectomy: A 14-Year Retrospective Follow-Up Study Based on the Propensity Score Matching Method.\",\"authors\":\"Zhiqiang Chen, Hui Zhang, Long Zhang, Guoyong Han, Yao Zhang, Jindao Wu, Xiangcheng Li, Xiaoxin Mu, Xuehao Wang\",\"doi\":\"10.2147/TCRM.S520629\",\"DOIUrl\":null,\"url\":null,\"abstract\":\"<p><strong>Purpose: </strong>Hepatitis B virus infection is one of the most common risk factors leading to the development of intrahepatic cholangiocarcinoma (ICC). This study aims to determine the impact of antiviral treatment (AVT) on the survival outcomes of ICC patients with hepatitis B virus infection.</p><p><strong>Patients and methods: </strong>This retrospective study included ICC patients who had HBV infection and underwent hepatectomy from May 2009 to June 2023 at a single medical center. Patients' baseline characteristics were analyzed, and the 14-year follow-up data were investigated using Kaplan-Meier curves and multivariable Cox proportional hazards regression models. The propensity score matching method was performed to balance the baseline differences between the AVT group and the non-AVT group.</p><p><strong>Results: </strong>A total of 229 patients were finally enrolled in the analysis. In the total cohort, 81 patients were classified into the AVT group and 148 patients into the non-AVT group. Kaplan-Meier curves showed that the AVT group exhibited prolonged overall survival and recurrence-free survival compared to the non-AVT group. Cox proportional hazards regression models revealed that AVT was an independent prognostic factor for both overall survival (HR 0.453, 95% CI: 0.280-0.732) and recurrence-free survival (HR 0.659, 95% CI: 0.436-0.997). A 1:1 nearest-neighbor matching algorithm was adopted, and 64 pairs of AVT and non-AVT patients were included in the propensity score matching cohort. Multivariable survival analyses confirmed AVT as a significant predictor for a favorable overall survival (HR 0.277, 95% CI: 0.147-0.519), but no statistical significance for recurrence-free survival was observed between the AVT group and the non-AVT group after propensity score matching.</p><p><strong>Conclusion: </strong>We analyzed the long-term follow-up data for ICC patients with hepatitis B virus infection who underwent hepatectomy. Notably, AVT exhibited a beneficial impact on overall survival for these postoperative ICC patients. However, our findings indicated no statistically significant effect of AVT on recurrence-free survival.</p>\",\"PeriodicalId\":22977,\"journal\":{\"name\":\"Therapeutics and Clinical Risk Management\",\"volume\":\"21 \",\"pages\":\"869-884\"},\"PeriodicalIF\":2.8000,\"publicationDate\":\"2025-06-11\",\"publicationTypes\":\"Journal Article\",\"fieldsOfStudy\":null,\"isOpenAccess\":false,\"openAccessPdf\":\"https://www.ncbi.nlm.nih.gov/pmc/articles/PMC12168928/pdf/\",\"citationCount\":\"0\",\"resultStr\":null,\"platform\":\"Semanticscholar\",\"paperid\":null,\"PeriodicalName\":\"Therapeutics and Clinical Risk Management\",\"FirstCategoryId\":\"3\",\"ListUrlMain\":\"https://doi.org/10.2147/TCRM.S520629\",\"RegionNum\":3,\"RegionCategory\":\"医学\",\"ArticlePicture\":[],\"TitleCN\":null,\"AbstractTextCN\":null,\"PMCID\":null,\"EPubDate\":\"2025/1/1 0:00:00\",\"PubModel\":\"eCollection\",\"JCR\":\"Q1\",\"JCRName\":\"Pharmacology, Toxicology and Pharmaceutics\",\"Score\":null,\"Total\":0}","platform":"Semanticscholar","paperid":null,"PeriodicalName":"Therapeutics and Clinical Risk Management","FirstCategoryId":"3","ListUrlMain":"https://doi.org/10.2147/TCRM.S520629","RegionNum":3,"RegionCategory":"医学","ArticlePicture":[],"TitleCN":null,"AbstractTextCN":null,"PMCID":null,"EPubDate":"2025/1/1 0:00:00","PubModel":"eCollection","JCR":"Q1","JCRName":"Pharmacology, Toxicology and Pharmaceutics","Score":null,"Total":0}
引用次数: 0

摘要

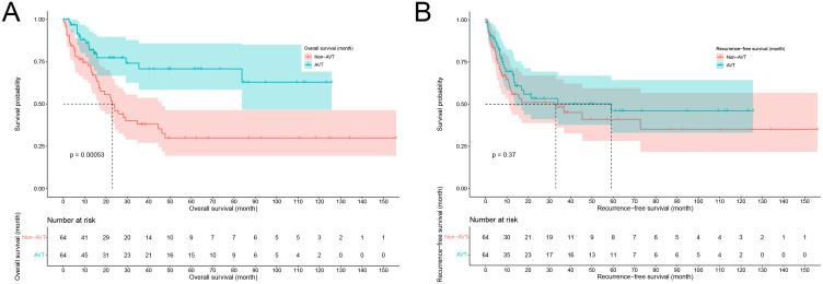
目的:乙型肝炎病毒感染是导致肝内胆管癌(ICC)发生的最常见危险因素之一。本研究旨在确定抗病毒治疗(AVT)对合并乙型肝炎病毒感染的ICC患者生存结局的影响。患者和方法:本回顾性研究包括2009年5月至2023年6月在单一医疗中心接受HBV感染和肝切除术的ICC患者。分析患者的基线特征,并采用Kaplan-Meier曲线和多变量Cox比例风险回归模型对14年随访数据进行调查。采用倾向评分匹配法来平衡AVT组和非AVT组之间的基线差异。结果:最终共有229例患者纳入分析。在整个队列中,81例患者被分为AVT组,148例患者被分为非AVT组。Kaplan-Meier曲线显示,与非AVT组相比,AVT组的总生存期和无复发生存期延长。Cox比例风险回归模型显示,AVT是总生存率(HR 0.453, 95% CI: 0.280 ~ 0.732)和无复发生存率(HR 0.659, 95% CI: 0.436 ~ 0.997)的独立预后因素。采用1:1最近邻匹配算法,将64对AVT和非AVT患者纳入倾向评分匹配队列。多变量生存分析证实AVT是有利的总生存的重要预测因子(HR 0.277, 95% CI: 0.147-0.519),但倾向评分匹配后AVT组和非AVT组无复发生存无统计学意义。结论:我们分析了行肝切除术的ICC合并乙型肝炎病毒感染患者的长期随访资料。值得注意的是,AVT对这些术后ICC患者的总体生存有有益的影响。然而,我们的研究结果显示,AVT对无复发生存期的影响没有统计学意义。
本文章由计算机程序翻译,如有差异,请以英文原文为准。

Impact of Antiviral Treatment on Survival in HBV-Related Intrahepatic Cholangiocarcinoma Patients After Hepatectomy: A 14-Year Retrospective Follow-Up Study Based on the Propensity Score Matching Method.

Impact of Antiviral Treatment on Survival in HBV-Related Intrahepatic Cholangiocarcinoma Patients After Hepatectomy: A 14-Year Retrospective Follow-Up Study Based on the Propensity Score Matching Method.

Impact of Antiviral Treatment on Survival in HBV-Related Intrahepatic Cholangiocarcinoma Patients After Hepatectomy: A 14-Year Retrospective Follow-Up Study Based on the Propensity Score Matching Method.

Impact of Antiviral Treatment on Survival in HBV-Related Intrahepatic Cholangiocarcinoma Patients After Hepatectomy: A 14-Year Retrospective Follow-Up Study Based on the Propensity Score Matching Method.

Purpose: Hepatitis B virus infection is one of the most common risk factors leading to the development of intrahepatic cholangiocarcinoma (ICC). This study aims to determine the impact of antiviral treatment (AVT) on the survival outcomes of ICC patients with hepatitis B virus infection.

Patients and methods: This retrospective study included ICC patients who had HBV infection and underwent hepatectomy from May 2009 to June 2023 at a single medical center. Patients' baseline characteristics were analyzed, and the 14-year follow-up data were investigated using Kaplan-Meier curves and multivariable Cox proportional hazards regression models. The propensity score matching method was performed to balance the baseline differences between the AVT group and the non-AVT group.

Results: A total of 229 patients were finally enrolled in the analysis. In the total cohort, 81 patients were classified into the AVT group and 148 patients into the non-AVT group. Kaplan-Meier curves showed that the AVT group exhibited prolonged overall survival and recurrence-free survival compared to the non-AVT group. Cox proportional hazards regression models revealed that AVT was an independent prognostic factor for both overall survival (HR 0.453, 95% CI: 0.280-0.732) and recurrence-free survival (HR 0.659, 95% CI: 0.436-0.997). A 1:1 nearest-neighbor matching algorithm was adopted, and 64 pairs of AVT and non-AVT patients were included in the propensity score matching cohort. Multivariable survival analyses confirmed AVT as a significant predictor for a favorable overall survival (HR 0.277, 95% CI: 0.147-0.519), but no statistical significance for recurrence-free survival was observed between the AVT group and the non-AVT group after propensity score matching.

Conclusion: We analyzed the long-term follow-up data for ICC patients with hepatitis B virus infection who underwent hepatectomy. Notably, AVT exhibited a beneficial impact on overall survival for these postoperative ICC patients. However, our findings indicated no statistically significant effect of AVT on recurrence-free survival.

求助全文
通过发布文献求助,成功后即可免费获取论文全文。 去求助
来源期刊
Therapeutics and Clinical Risk Management
Therapeutics and Clinical Risk Management HEALTH CARE SCIENCES & SERVICES-
CiteScore
5.30
自引率
3.60%
发文量
139
审稿时长
16 weeks
期刊介绍: Therapeutics and Clinical Risk Management is an international, peer-reviewed journal of clinical therapeutics and risk management, focusing on concise rapid reporting of clinical studies in all therapeutic areas, outcomes, safety, and programs for the effective, safe, and sustained use of medicines, therapeutic and surgical interventions in all clinical areas. The journal welcomes submissions covering original research, clinical and epidemiological studies, reviews, guidelines, expert opinion and commentary. The journal will consider case reports but only if they make a valuable and original contribution to the literature. As of 18th March 2019, Therapeutics and Clinical Risk Management will no longer consider meta-analyses for publication. The journal does not accept study protocols, animal-based or cell line-based studies.
×
引用
GB/T 7714-2015
复制
MLA
复制
APA
复制
导出至
BibTeX EndNote RefMan NoteFirst NoteExpress
×
提示
您的信息不完整,为了账户安全,请先补充。
现在去补充
×
提示
您因"违规操作"
具体请查看互助需知
我知道了
×
提示
确定
请完成安全验证×
copy
已复制链接
快去分享给好友吧!
我知道了
右上角分享
点击右上角分享
0
联系我们:info@booksci.cn Book学术提供免费学术资源搜索服务,方便国内外学者检索中英文文献。致力于提供最便捷和优质的服务体验。 Copyright © 2023 布克学术 All rights reserved.
京ICP备2023020795号-1
ghs 京公网安备 11010802042870号
Book学术文献互助
Book学术文献互助群
群 号:604180095
Book学术官方微信