多学科讨论后间质性肺疾病的诊断和预后轨迹。

IF 3 3区 医学 Q2 RESPIRATORY SYSTEM
Francesco Amati, Dean L Kellogg, Marcos I Restrepo, Francesco Blasi, Stefano Aliberti, Anoop M Nambiar
{"title":"多学科讨论后间质性肺疾病的诊断和预后轨迹。","authors":"Francesco Amati, Dean L Kellogg, Marcos I Restrepo, Francesco Blasi, Stefano Aliberti, Anoop M Nambiar","doi":"10.1177/17534666251323487","DOIUrl":null,"url":null,"abstract":"<p><strong>Background: </strong>The 2018 guidelines on the diagnosis of idiopathic pulmonary fibrosis (IPF) conditionally recommend multidisciplinary discussion (MDD) for diagnostic decision-making. However, limited data concerning the diagnostic impact of MDD on interstitial lung diseases (ILDs) are available.</p><p><strong>Objectives: </strong>The objective of this prospective study was to assess the impact of MDD at a tertiary referral ILD center on diagnostic trajectories, prognosis, and identification of potential treatable traits in ILD management.</p><p><strong>Design: </strong>This prospective study enrolled all consecutive adult ILD patients referred for MDD to a tertiary academic center in San Antonio, TX, USA from January 2017 to May 2020. The subjects were followed during a 3-year follow-up period after the MDD.</p><p><strong>Methods: </strong>Patients were stratified into three groups according to the pre-MDD diagnosis: unspecified ILD, IPF, and not IPF, and compared to the re-stratification post-MDD diagnosis into: unclassifiable ILD, IPF, and not IPF. The primary outcome was the percentage change in diagnostic trajectories after the MDD discussion.</p><p><strong>Results: </strong>A total of 201 ILD patients (61.7% male; mean (DS) age: 67.2 (10.4) years) were included in the study. The total diagnostic trajectory change occurred in 122 (60.7%) patients. The diagnostic trajectories changed in 40 (46.5%) patients in the IPF group and 8 (19.5%) in the non-IPF group (<i>p</i>-value = 0.0003). Patients with pre-MDD unspecified-ILD were classified as not-IPF in 32.4% (<i>n</i> = 24), IPF in 23% (<i>n</i> = 17), and unclassifiable-ILD in 44.6% (<i>n</i> = 33) post-MDD. Considering the post-MDD diagnosis, differences in mortality were detected among the three groups (<i>p</i> = 0.037).</p><p><strong>Conclusion: </strong>Our results suggest that MDD has a significant impact not only on the diagnostic trajectories (DT) but also on the prognosis of patients with ILDs.</p>","PeriodicalId":22884,"journal":{"name":"Therapeutic Advances in Respiratory Disease","volume":"19 ","pages":"17534666251323487"},"PeriodicalIF":3.0000,"publicationDate":"2025-01-01","publicationTypes":"Journal Article","fieldsOfStudy":null,"isOpenAccess":false,"openAccessPdf":"https://www.ncbi.nlm.nih.gov/pmc/articles/PMC11907533/pdf/","citationCount":"0","resultStr":"{\"title\":\"Diagnostic and prognostic trajectories of interstitial lung diseases after the multidisciplinary discussion.\",\"authors\":\"Francesco Amati, Dean L Kellogg, Marcos I Restrepo, Francesco Blasi, Stefano Aliberti, Anoop M Nambiar\",\"doi\":\"10.1177/17534666251323487\",\"DOIUrl\":null,\"url\":null,\"abstract\":\"<p><strong>Background: </strong>The 2018 guidelines on the diagnosis of idiopathic pulmonary fibrosis (IPF) conditionally recommend multidisciplinary discussion (MDD) for diagnostic decision-making. However, limited data concerning the diagnostic impact of MDD on interstitial lung diseases (ILDs) are available.</p><p><strong>Objectives: </strong>The objective of this prospective study was to assess the impact of MDD at a tertiary referral ILD center on diagnostic trajectories, prognosis, and identification of potential treatable traits in ILD management.</p><p><strong>Design: </strong>This prospective study enrolled all consecutive adult ILD patients referred for MDD to a tertiary academic center in San Antonio, TX, USA from January 2017 to May 2020. The subjects were followed during a 3-year follow-up period after the MDD.</p><p><strong>Methods: </strong>Patients were stratified into three groups according to the pre-MDD diagnosis: unspecified ILD, IPF, and not IPF, and compared to the re-stratification post-MDD diagnosis into: unclassifiable ILD, IPF, and not IPF. The primary outcome was the percentage change in diagnostic trajectories after the MDD discussion.</p><p><strong>Results: </strong>A total of 201 ILD patients (61.7% male; mean (DS) age: 67.2 (10.4) years) were included in the study. The total diagnostic trajectory change occurred in 122 (60.7%) patients. The diagnostic trajectories changed in 40 (46.5%) patients in the IPF group and 8 (19.5%) in the non-IPF group (<i>p</i>-value = 0.0003). Patients with pre-MDD unspecified-ILD were classified as not-IPF in 32.4% (<i>n</i> = 24), IPF in 23% (<i>n</i> = 17), and unclassifiable-ILD in 44.6% (<i>n</i> = 33) post-MDD. Considering the post-MDD diagnosis, differences in mortality were detected among the three groups (<i>p</i> = 0.037).</p><p><strong>Conclusion: </strong>Our results suggest that MDD has a significant impact not only on the diagnostic trajectories (DT) but also on the prognosis of patients with ILDs.</p>\",\"PeriodicalId\":22884,\"journal\":{\"name\":\"Therapeutic Advances in Respiratory Disease\",\"volume\":\"19 \",\"pages\":\"17534666251323487\"},\"PeriodicalIF\":3.0000,\"publicationDate\":\"2025-01-01\",\"publicationTypes\":\"Journal Article\",\"fieldsOfStudy\":null,\"isOpenAccess\":false,\"openAccessPdf\":\"https://www.ncbi.nlm.nih.gov/pmc/articles/PMC11907533/pdf/\",\"citationCount\":\"0\",\"resultStr\":null,\"platform\":\"Semanticscholar\",\"paperid\":null,\"PeriodicalName\":\"Therapeutic Advances in Respiratory Disease\",\"FirstCategoryId\":\"3\",\"ListUrlMain\":\"https://doi.org/10.1177/17534666251323487\",\"RegionNum\":3,\"RegionCategory\":\"医学\",\"ArticlePicture\":[],\"TitleCN\":null,\"AbstractTextCN\":null,\"PMCID\":null,\"EPubDate\":\"2025/3/13 0:00:00\",\"PubModel\":\"Epub\",\"JCR\":\"Q2\",\"JCRName\":\"RESPIRATORY SYSTEM\",\"Score\":null,\"Total\":0}","platform":"Semanticscholar","paperid":null,"PeriodicalName":"Therapeutic Advances in Respiratory Disease","FirstCategoryId":"3","ListUrlMain":"https://doi.org/10.1177/17534666251323487","RegionNum":3,"RegionCategory":"医学","ArticlePicture":[],"TitleCN":null,"AbstractTextCN":null,"PMCID":null,"EPubDate":"2025/3/13 0:00:00","PubModel":"Epub","JCR":"Q2","JCRName":"RESPIRATORY SYSTEM","Score":null,"Total":0}
引用次数: 0

摘要

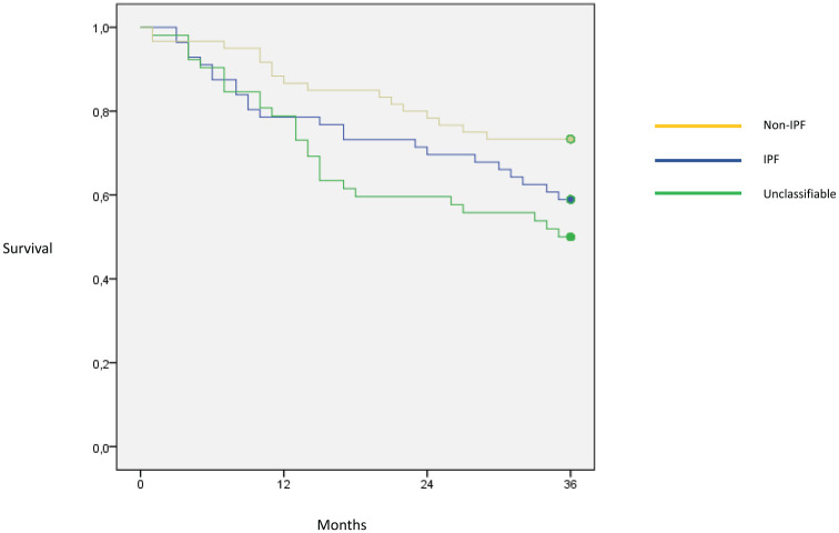
背景:2018年特发性肺纤维化(IPF)诊断指南有条件地推荐多学科讨论(MDD)进行诊断决策。然而,关于MDD对间质性肺疾病(ILDs)的诊断影响的数据有限。目的:本前瞻性研究的目的是评估重度抑郁症在三级转诊ILD中心对ILD管理中诊断轨迹、预后和潜在可治疗特征识别的影响。设计:这项前瞻性研究招募了2017年1月至2020年5月期间,在美国德克萨斯州圣安东尼奥的一个三级学术中心转诊的所有连续的成年ILD患者。在MDD后的3年随访期间对受试者进行了随访。方法:根据mdd前诊断将患者分为未明确的ILD、IPF和非IPF三组,并与mdd诊断后重新分层分为:无法分类的ILD、IPF和非IPF进行比较。主要结果是MDD讨论后诊断轨迹的百分比变化。结果:共201例ILD患者(男性61.7%;平均(DS)年龄:67.2(10.4)岁)纳入研究。122例(60.7%)患者发生总诊断轨迹改变。IPF组40例(46.5%)患者的诊断轨迹发生改变,非IPF组8例(19.5%)患者的诊断轨迹发生改变(p值= 0.0003)。mdd前未特异性ild患者中有32.4% (n = 24)被分类为非IPF, 23% (n = 17)被分类为IPF, 44.6% (n = 33)被分类为mdd后不可分类ild。考虑到mdd后的诊断,三组之间的死亡率存在差异(p = 0.037)。结论:我们的研究结果表明,重度抑郁症不仅对诊断轨迹(DT)有显著影响,而且对ild患者的预后也有显著影响。
本文章由计算机程序翻译,如有差异,请以英文原文为准。

Diagnostic and prognostic trajectories of interstitial lung diseases after the multidisciplinary discussion.

Diagnostic and prognostic trajectories of interstitial lung diseases after the multidisciplinary discussion.

Diagnostic and prognostic trajectories of interstitial lung diseases after the multidisciplinary discussion.

Diagnostic and prognostic trajectories of interstitial lung diseases after the multidisciplinary discussion.

Background: The 2018 guidelines on the diagnosis of idiopathic pulmonary fibrosis (IPF) conditionally recommend multidisciplinary discussion (MDD) for diagnostic decision-making. However, limited data concerning the diagnostic impact of MDD on interstitial lung diseases (ILDs) are available.

Objectives: The objective of this prospective study was to assess the impact of MDD at a tertiary referral ILD center on diagnostic trajectories, prognosis, and identification of potential treatable traits in ILD management.

Design: This prospective study enrolled all consecutive adult ILD patients referred for MDD to a tertiary academic center in San Antonio, TX, USA from January 2017 to May 2020. The subjects were followed during a 3-year follow-up period after the MDD.

Methods: Patients were stratified into three groups according to the pre-MDD diagnosis: unspecified ILD, IPF, and not IPF, and compared to the re-stratification post-MDD diagnosis into: unclassifiable ILD, IPF, and not IPF. The primary outcome was the percentage change in diagnostic trajectories after the MDD discussion.

Results: A total of 201 ILD patients (61.7% male; mean (DS) age: 67.2 (10.4) years) were included in the study. The total diagnostic trajectory change occurred in 122 (60.7%) patients. The diagnostic trajectories changed in 40 (46.5%) patients in the IPF group and 8 (19.5%) in the non-IPF group (p-value = 0.0003). Patients with pre-MDD unspecified-ILD were classified as not-IPF in 32.4% (n = 24), IPF in 23% (n = 17), and unclassifiable-ILD in 44.6% (n = 33) post-MDD. Considering the post-MDD diagnosis, differences in mortality were detected among the three groups (p = 0.037).

Conclusion: Our results suggest that MDD has a significant impact not only on the diagnostic trajectories (DT) but also on the prognosis of patients with ILDs.

求助全文
通过发布文献求助,成功后即可免费获取论文全文。 去求助
来源期刊
CiteScore
6.90
自引率
0.00%
发文量
57
审稿时长
15 weeks
期刊介绍: Therapeutic Advances in Respiratory Disease delivers the highest quality peer-reviewed articles, reviews, and scholarly comment on pioneering efforts and innovative studies across all areas of respiratory disease.
×
引用
GB/T 7714-2015
复制
MLA
复制
APA
复制
导出至
BibTeX EndNote RefMan NoteFirst NoteExpress
×
提示
您的信息不完整,为了账户安全,请先补充。
现在去补充
×
提示
您因"违规操作"
具体请查看互助需知
我知道了
×
提示
确定
请完成安全验证×
copy
已复制链接
快去分享给好友吧!
我知道了
右上角分享
点击右上角分享
0
联系我们:info@booksci.cn Book学术提供免费学术资源搜索服务,方便国内外学者检索中英文文献。致力于提供最便捷和优质的服务体验。 Copyright © 2023 布克学术 All rights reserved.
京ICP备2023020795号-1
ghs 京公网安备 11010802042870号
Book学术文献互助
Book学术文献互助群
群 号:604180095
Book学术官方微信