术后肠梗阻治疗方法的有效性和安全性:荟萃分析综述。

IF 1.8 3区 医学 Q2 SURGERY
Pengcheng Zhang, Yueying Lin, Keqian Yi, Yu Ma, Ting Yang, Liya An, Yuxing Qi, Xingzong Huang, Xianming Su, Yinlong Deng, Jian Hu, Wen Li, Dali Sun
{"title":"术后肠梗阻治疗方法的有效性和安全性:荟萃分析综述。","authors":"Pengcheng Zhang, Yueying Lin, Keqian Yi, Yu Ma, Ting Yang, Liya An, Yuxing Qi, Xingzong Huang, Xianming Su, Yinlong Deng, Jian Hu, Wen Li, Dali Sun","doi":"10.1007/s00423-025-03739-z","DOIUrl":null,"url":null,"abstract":"<p><strong>Background & aims: </strong>Postoperative ileus is treated using a large number of methods with variable efficacy. This study further clarifies the advantages and disadvantages of existing treatments through umbrella evaluation.</p><p><strong>Method: </strong>This study conducted a systematic search of databases to select and include meta-analyses discussing the treatment of postoperative ileus. We recalculated the estimated values, 95% confidence intervals, heterogeneity estimates, small study effects, excessive significance tests, and publication biases for each included study using both random and fixed effect models.</p><p><strong>Results: </strong>A total of 24 meta-analyses, including 27 treatment protocols, were reviewed in this study. Among them, chewing gum, coffee, ERAS(Enhanced Recovery After Surgery) protocols, acupuncture, opioid receptor antagonists, Da-Cheng-Qi-Tang, early enteral nutrition, and Zusanli point injection therapy have been shown to significantly improve postoperative ileus (Class II). Opioid receptor antagonists, early enteral nutrition, ERAS, and chewing gum have also been found to significantly reduce the postoperative hospital stay (Class II).</p><p><strong>Conclusion: </strong>Eight treatment options can effectively reduce postoperative ileus, while the effectiveness and safety of other treatment options for postoperative ileus require further confirmation through high-quality research.</p>","PeriodicalId":17983,"journal":{"name":"Langenbeck's Archives of Surgery","volume":"410 1","pages":"198"},"PeriodicalIF":1.8000,"publicationDate":"2025-06-17","publicationTypes":"Journal Article","fieldsOfStudy":null,"isOpenAccess":false,"openAccessPdf":"https://www.ncbi.nlm.nih.gov/pmc/articles/PMC12170703/pdf/","citationCount":"0","resultStr":"{\"title\":\"Efficacy and safety of therapeutic means for postoperative ileus: an umbrella review of meta-analyses.\",\"authors\":\"Pengcheng Zhang, Yueying Lin, Keqian Yi, Yu Ma, Ting Yang, Liya An, Yuxing Qi, Xingzong Huang, Xianming Su, Yinlong Deng, Jian Hu, Wen Li, Dali Sun\",\"doi\":\"10.1007/s00423-025-03739-z\",\"DOIUrl\":null,\"url\":null,\"abstract\":\"<p><strong>Background & aims: </strong>Postoperative ileus is treated using a large number of methods with variable efficacy. This study further clarifies the advantages and disadvantages of existing treatments through umbrella evaluation.</p><p><strong>Method: </strong>This study conducted a systematic search of databases to select and include meta-analyses discussing the treatment of postoperative ileus. We recalculated the estimated values, 95% confidence intervals, heterogeneity estimates, small study effects, excessive significance tests, and publication biases for each included study using both random and fixed effect models.</p><p><strong>Results: </strong>A total of 24 meta-analyses, including 27 treatment protocols, were reviewed in this study. Among them, chewing gum, coffee, ERAS(Enhanced Recovery After Surgery) protocols, acupuncture, opioid receptor antagonists, Da-Cheng-Qi-Tang, early enteral nutrition, and Zusanli point injection therapy have been shown to significantly improve postoperative ileus (Class II). Opioid receptor antagonists, early enteral nutrition, ERAS, and chewing gum have also been found to significantly reduce the postoperative hospital stay (Class II).</p><p><strong>Conclusion: </strong>Eight treatment options can effectively reduce postoperative ileus, while the effectiveness and safety of other treatment options for postoperative ileus require further confirmation through high-quality research.</p>\",\"PeriodicalId\":17983,\"journal\":{\"name\":\"Langenbeck's Archives of Surgery\",\"volume\":\"410 1\",\"pages\":\"198\"},\"PeriodicalIF\":1.8000,\"publicationDate\":\"2025-06-17\",\"publicationTypes\":\"Journal Article\",\"fieldsOfStudy\":null,\"isOpenAccess\":false,\"openAccessPdf\":\"https://www.ncbi.nlm.nih.gov/pmc/articles/PMC12170703/pdf/\",\"citationCount\":\"0\",\"resultStr\":null,\"platform\":\"Semanticscholar\",\"paperid\":null,\"PeriodicalName\":\"Langenbeck's Archives of Surgery\",\"FirstCategoryId\":\"3\",\"ListUrlMain\":\"https://doi.org/10.1007/s00423-025-03739-z\",\"RegionNum\":3,\"RegionCategory\":\"医学\",\"ArticlePicture\":[],\"TitleCN\":null,\"AbstractTextCN\":null,\"PMCID\":null,\"EPubDate\":\"\",\"PubModel\":\"\",\"JCR\":\"Q2\",\"JCRName\":\"SURGERY\",\"Score\":null,\"Total\":0}","platform":"Semanticscholar","paperid":null,"PeriodicalName":"Langenbeck's Archives of Surgery","FirstCategoryId":"3","ListUrlMain":"https://doi.org/10.1007/s00423-025-03739-z","RegionNum":3,"RegionCategory":"医学","ArticlePicture":[],"TitleCN":null,"AbstractTextCN":null,"PMCID":null,"EPubDate":"","PubModel":"","JCR":"Q2","JCRName":"SURGERY","Score":null,"Total":0}
引用次数: 0

摘要

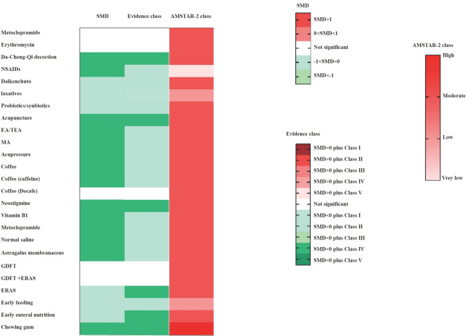
背景与目的:术后肠梗阻的治疗方法多种多样,疗效不一。本研究通过伞式评价进一步明确了现有治疗方法的优缺点。方法:本研究系统检索数据库,选择并纳入讨论术后肠梗阻治疗的荟萃分析。我们使用随机效应和固定效应模型重新计算了每个纳入研究的估计值、95%置信区间、异质性估计值、小研究效应、过度显著性检验和发表偏倚。结果:本研究共回顾了24项荟萃分析,包括27项治疗方案。其中,嚼口香糖、咖啡、ERAS(Enhanced Recovery After Surgery)方案、针灸、阿片受体拮抗剂、大成气汤、早期肠内营养、足三里穴位注射治疗均可显著改善术后肠梗阻(II类)。阿片受体拮抗剂、早期肠内营养、ERAS和嚼口香糖也被发现能显著减少术后住院时间(II类)。结论:8种治疗方案均可有效减少术后肠梗阻,其他治疗方案对术后肠梗阻的有效性和安全性需要通过高质量的研究进一步证实。
本文章由计算机程序翻译,如有差异,请以英文原文为准。

Efficacy and safety of therapeutic means for postoperative ileus: an umbrella review of meta-analyses.

Efficacy and safety of therapeutic means for postoperative ileus: an umbrella review of meta-analyses.

Efficacy and safety of therapeutic means for postoperative ileus: an umbrella review of meta-analyses.

Efficacy and safety of therapeutic means for postoperative ileus: an umbrella review of meta-analyses.

Background & aims: Postoperative ileus is treated using a large number of methods with variable efficacy. This study further clarifies the advantages and disadvantages of existing treatments through umbrella evaluation.

Method: This study conducted a systematic search of databases to select and include meta-analyses discussing the treatment of postoperative ileus. We recalculated the estimated values, 95% confidence intervals, heterogeneity estimates, small study effects, excessive significance tests, and publication biases for each included study using both random and fixed effect models.

Results: A total of 24 meta-analyses, including 27 treatment protocols, were reviewed in this study. Among them, chewing gum, coffee, ERAS(Enhanced Recovery After Surgery) protocols, acupuncture, opioid receptor antagonists, Da-Cheng-Qi-Tang, early enteral nutrition, and Zusanli point injection therapy have been shown to significantly improve postoperative ileus (Class II). Opioid receptor antagonists, early enteral nutrition, ERAS, and chewing gum have also been found to significantly reduce the postoperative hospital stay (Class II).

Conclusion: Eight treatment options can effectively reduce postoperative ileus, while the effectiveness and safety of other treatment options for postoperative ileus require further confirmation through high-quality research.

求助全文
通过发布文献求助,成功后即可免费获取论文全文。 去求助
来源期刊
CiteScore
3.30
自引率
8.70%
发文量
342
审稿时长
4-8 weeks
期刊介绍: Langenbeck''s Archives of Surgery aims to publish the best results in the field of clinical surgery and basic surgical research. The main focus is on providing the highest level of clinical research and clinically relevant basic research. The journal, published exclusively in English, will provide an international discussion forum for the controlled results of clinical surgery. The majority of published contributions will be original articles reporting on clinical data from general and visceral surgery, while endocrine surgery will also be covered. Papers on basic surgical principles from the fields of traumatology, vascular and thoracic surgery are also welcome. Evidence-based medicine is an important criterion for the acceptance of papers.
×
引用
GB/T 7714-2015
复制
MLA
复制
APA
复制
导出至
BibTeX EndNote RefMan NoteFirst NoteExpress
×
提示
您的信息不完整,为了账户安全,请先补充。
现在去补充
×
提示
您因"违规操作"
具体请查看互助需知
我知道了
×
提示
确定
请完成安全验证×
copy
已复制链接
快去分享给好友吧!
我知道了
右上角分享
点击右上角分享
0
联系我们:info@booksci.cn Book学术提供免费学术资源搜索服务,方便国内外学者检索中英文文献。致力于提供最便捷和优质的服务体验。 Copyright © 2023 布克学术 All rights reserved.
京ICP备2023020795号-1
ghs 京公网安备 11010802042870号
Book学术文献互助
Book学术文献互助群
群 号:604180095
Book学术官方微信