ICEBERG-3:颈动脉斑块评分联合应激回声可提高5年主要心血管不良事件的风险预测。

European heart journal open Pub Date : 2025-06-02 eCollection Date: 2025-05-01 DOI:10.1093/ehjopen/oeaf065
Murray F Matangi, Marie-France Hétu, David W J Armstrong, Jonas Shellenberger, Daniel Brouillard, Josh Baker, Ana Johnson, Hannah Willms, Amer M Johri
{"title":"ICEBERG-3:颈动脉斑块评分联合应激回声可提高5年主要心血管不良事件的风险预测。","authors":"Murray F Matangi, Marie-France Hétu, David W J Armstrong, Jonas Shellenberger, Daniel Brouillard, Josh Baker, Ana Johnson, Hannah Willms, Amer M Johri","doi":"10.1093/ehjopen/oeaf065","DOIUrl":null,"url":null,"abstract":"<p><strong>Aims: </strong>Stress echocardiography (SE), though widely accessible, has some limitations in its diagnostic test characteristics for predicting major adverse cardiovascular events (MACEs). Carotid plaque score provides direct detection of subclinical atherosclerosis and can be integrated into the stress protocol. The aim of our study was to assess the value of adding a carotid plaque score to SE to enhance the test diagnostics for predicting MACE in low-intermediate-risk patients.</p><p><strong>Methods and results: </strong>Patients aged 40-75 years referred for SE received a carotid ultrasound and were followed for 5-year MACE. Hard MACE was defined as a composite of cardiovascular death, non-fatal stroke or myocardial infarction, and emergency coronary revascularization. Soft MACE included non-emergency coronary revascularization. Patients aged >75 years, on a statin, with previously known vascular disease, a history of stroke, myocardial infarction, vascular intervention, or a resting wall motion abnormality on a baseline echo were excluded. Administrative data holdings housed at the Institute of Clinical Evaluative Sciences, ICES, were used for event follow-up. Of the 2588 patients, there were 49 cumulative incidence hard MACE and 119 soft MACE. Carotid plaque score improved the sensitivity of SE for predicting 1- and 5-year MACE. A plaque score threshold value of ≥2 provided clear differentiation of patients who experienced MACE in both positive and non-positive (negative/inconclusive for ischaemia) SE results.</p><p><strong>Conclusion: </strong>Plaque score enhances diagnostic test characteristics of SE. The combination of carotid ultrasound with SE is an important new tool for cardiovascular risk assessment. This simple tool may help differentiate risk in patients with non-positive SE results.</p>","PeriodicalId":93995,"journal":{"name":"European heart journal open","volume":"5 3","pages":"oeaf065"},"PeriodicalIF":0.0000,"publicationDate":"2025-06-02","publicationTypes":"Journal Article","fieldsOfStudy":null,"isOpenAccess":false,"openAccessPdf":"https://www.ncbi.nlm.nih.gov/pmc/articles/PMC12166518/pdf/","citationCount":"0","resultStr":"{\"title\":\"ICEBERG-3: carotid plaque score combined with the stress echo improves 5-year major adverse cardiovascular events risk prediction.\",\"authors\":\"Murray F Matangi, Marie-France Hétu, David W J Armstrong, Jonas Shellenberger, Daniel Brouillard, Josh Baker, Ana Johnson, Hannah Willms, Amer M Johri\",\"doi\":\"10.1093/ehjopen/oeaf065\",\"DOIUrl\":null,\"url\":null,\"abstract\":\"<p><strong>Aims: </strong>Stress echocardiography (SE), though widely accessible, has some limitations in its diagnostic test characteristics for predicting major adverse cardiovascular events (MACEs). Carotid plaque score provides direct detection of subclinical atherosclerosis and can be integrated into the stress protocol. The aim of our study was to assess the value of adding a carotid plaque score to SE to enhance the test diagnostics for predicting MACE in low-intermediate-risk patients.</p><p><strong>Methods and results: </strong>Patients aged 40-75 years referred for SE received a carotid ultrasound and were followed for 5-year MACE. Hard MACE was defined as a composite of cardiovascular death, non-fatal stroke or myocardial infarction, and emergency coronary revascularization. Soft MACE included non-emergency coronary revascularization. Patients aged >75 years, on a statin, with previously known vascular disease, a history of stroke, myocardial infarction, vascular intervention, or a resting wall motion abnormality on a baseline echo were excluded. Administrative data holdings housed at the Institute of Clinical Evaluative Sciences, ICES, were used for event follow-up. Of the 2588 patients, there were 49 cumulative incidence hard MACE and 119 soft MACE. Carotid plaque score improved the sensitivity of SE for predicting 1- and 5-year MACE. A plaque score threshold value of ≥2 provided clear differentiation of patients who experienced MACE in both positive and non-positive (negative/inconclusive for ischaemia) SE results.</p><p><strong>Conclusion: </strong>Plaque score enhances diagnostic test characteristics of SE. The combination of carotid ultrasound with SE is an important new tool for cardiovascular risk assessment. This simple tool may help differentiate risk in patients with non-positive SE results.</p>\",\"PeriodicalId\":93995,\"journal\":{\"name\":\"European heart journal open\",\"volume\":\"5 3\",\"pages\":\"oeaf065\"},\"PeriodicalIF\":0.0000,\"publicationDate\":\"2025-06-02\",\"publicationTypes\":\"Journal Article\",\"fieldsOfStudy\":null,\"isOpenAccess\":false,\"openAccessPdf\":\"https://www.ncbi.nlm.nih.gov/pmc/articles/PMC12166518/pdf/\",\"citationCount\":\"0\",\"resultStr\":null,\"platform\":\"Semanticscholar\",\"paperid\":null,\"PeriodicalName\":\"European heart journal open\",\"FirstCategoryId\":\"1085\",\"ListUrlMain\":\"https://doi.org/10.1093/ehjopen/oeaf065\",\"RegionNum\":0,\"RegionCategory\":null,\"ArticlePicture\":[],\"TitleCN\":null,\"AbstractTextCN\":null,\"PMCID\":null,\"EPubDate\":\"2025/5/1 0:00:00\",\"PubModel\":\"eCollection\",\"JCR\":\"\",\"JCRName\":\"\",\"Score\":null,\"Total\":0}","platform":"Semanticscholar","paperid":null,"PeriodicalName":"European heart journal open","FirstCategoryId":"1085","ListUrlMain":"https://doi.org/10.1093/ehjopen/oeaf065","RegionNum":0,"RegionCategory":null,"ArticlePicture":[],"TitleCN":null,"AbstractTextCN":null,"PMCID":null,"EPubDate":"2025/5/1 0:00:00","PubModel":"eCollection","JCR":"","JCRName":"","Score":null,"Total":0}
引用次数: 0

摘要

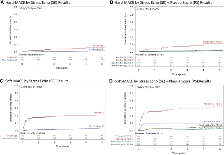
目的:应激超声心动图(SE)虽然广泛使用,但在预测主要不良心血管事件(mace)的诊断测试特征方面存在一些局限性。颈动脉斑块评分可直接检测亚临床动脉粥样硬化,并可整合到应激方案中。我们研究的目的是评估在SE中增加颈动脉斑块评分的价值,以提高中低危患者预测MACE的测试诊断。方法与结果:年龄40 ~ 75岁的SE患者行颈动脉超声检查,随访5年MACE。硬心肌梗死被定义为心血管死亡、非致死性卒中或心肌梗死以及紧急冠状动脉血运重建术的复合。软MACE包括非紧急冠状动脉重建术。排除年龄在bb0 ~ 75岁、服用他汀类药物、既往已知血管疾病、卒中、心肌梗死、血管干预史或基线回声显示静息壁运动异常的患者。临床评价科学研究所(ICES)的行政数据被用于事件随访。2588例患者中,累计发生硬性MACE 49例,软性MACE 119例。颈动脉斑块评分提高了SE预测1年和5年MACE的敏感性。斑块评分阈值≥2提供了MACE患者在SE阳性和非阳性(缺血阴性/不确定)结果中的明确区分。结论:斑块评分增强了SE的诊断试验特征。颈动脉超声与SE结合是一种重要的心血管危险评估新工具。这个简单的工具可以帮助区分非阳性SE患者的风险。
本文章由计算机程序翻译,如有差异,请以英文原文为准。

ICEBERG-3: carotid plaque score combined with the stress echo improves 5-year major adverse cardiovascular events risk prediction.

ICEBERG-3: carotid plaque score combined with the stress echo improves 5-year major adverse cardiovascular events risk prediction.

ICEBERG-3: carotid plaque score combined with the stress echo improves 5-year major adverse cardiovascular events risk prediction.

ICEBERG-3: carotid plaque score combined with the stress echo improves 5-year major adverse cardiovascular events risk prediction.

Aims: Stress echocardiography (SE), though widely accessible, has some limitations in its diagnostic test characteristics for predicting major adverse cardiovascular events (MACEs). Carotid plaque score provides direct detection of subclinical atherosclerosis and can be integrated into the stress protocol. The aim of our study was to assess the value of adding a carotid plaque score to SE to enhance the test diagnostics for predicting MACE in low-intermediate-risk patients.

Methods and results: Patients aged 40-75 years referred for SE received a carotid ultrasound and were followed for 5-year MACE. Hard MACE was defined as a composite of cardiovascular death, non-fatal stroke or myocardial infarction, and emergency coronary revascularization. Soft MACE included non-emergency coronary revascularization. Patients aged >75 years, on a statin, with previously known vascular disease, a history of stroke, myocardial infarction, vascular intervention, or a resting wall motion abnormality on a baseline echo were excluded. Administrative data holdings housed at the Institute of Clinical Evaluative Sciences, ICES, were used for event follow-up. Of the 2588 patients, there were 49 cumulative incidence hard MACE and 119 soft MACE. Carotid plaque score improved the sensitivity of SE for predicting 1- and 5-year MACE. A plaque score threshold value of ≥2 provided clear differentiation of patients who experienced MACE in both positive and non-positive (negative/inconclusive for ischaemia) SE results.

Conclusion: Plaque score enhances diagnostic test characteristics of SE. The combination of carotid ultrasound with SE is an important new tool for cardiovascular risk assessment. This simple tool may help differentiate risk in patients with non-positive SE results.

求助全文
通过发布文献求助,成功后即可免费获取论文全文。 去求助
来源期刊
CiteScore
2.80
自引率
0.00%
发文量
0
×
引用
GB/T 7714-2015
复制
MLA
复制
APA
复制
导出至
BibTeX EndNote RefMan NoteFirst NoteExpress
×
提示
您的信息不完整,为了账户安全,请先补充。
现在去补充
×
提示
您因"违规操作"
具体请查看互助需知
我知道了
×
提示
确定
请完成安全验证×
copy
已复制链接
快去分享给好友吧!
我知道了
右上角分享
点击右上角分享
0
联系我们:info@booksci.cn Book学术提供免费学术资源搜索服务,方便国内外学者检索中英文文献。致力于提供最便捷和优质的服务体验。 Copyright © 2023 布克学术 All rights reserved.
京ICP备2023020795号-1
ghs 京公网安备 11010802042870号
Book学术文献互助
Book学术文献互助群
群 号:604180095
Book学术官方微信