2013 - 2023年上海单中心极低出生体重儿短期结局趋势

IF 1.7 4区 医学 Q2 PEDIATRICS
Translational pediatrics Pub Date : 2025-05-30 Epub Date: 2025-05-25 DOI:10.21037/tp-2025-16
Ling Zhao, Wan Tang, Pu Xu, Ziming Wang, Jiayu Zhou, Yingying Jiang, Zhuoyu Zhao, Rong Zhang, Jin Wang, Laishuan Wang
{"title":"2013 - 2023年上海单中心极低出生体重儿短期结局趋势","authors":"Ling Zhao, Wan Tang, Pu Xu, Ziming Wang, Jiayu Zhou, Yingying Jiang, Zhuoyu Zhao, Rong Zhang, Jin Wang, Laishuan Wang","doi":"10.21037/tp-2025-16","DOIUrl":null,"url":null,"abstract":"<p><strong>Background: </strong>Very low birth weight infants (VLBWI) are vulnerable to serious complications. We aim to describe the short-term outcomes of VLBWI in a single center during 2013-2023, providing the basis for clinical disease management.</p><p><strong>Methods: </strong>A retrospective study of VLBWI admitted to a tertiary neonatal intensive care unit (NICU) between 1 January 2013 and 31 December 2023 was conducted to analyze trends of mortality and major morbidities over the 11-year period. Infants were divided into two subgroups according to birth weight (BW): <1,000 and 1,000-1,500 g. Major morbidities were defined as bronchopulmonary dysplasia (BPD), late onset sepsis (LOS), intraventricular hemorrhage (IVH) ≥ grade 3, necrotizing enterocolitis (NEC) ≥ stage 2, retinopathy of prematurity (ROP) ≥ stage 3 or needed treatment, and periventricular leukomalacia (PVL).</p><p><strong>Results: </strong>A total of 2,475 VLBWI were enrolled from 2013 to 2023. Analysis showed that the overall trend of mortality, LOS, NEC, IVH and PVL decreased, but BPD and ROP increased during the 11 years. Except for ROP, which exhibited a consistent increasing trend, other outcomes have a significant inflection point. Mortality, LOS, NEC, IVH and PVL kept steady initially, but decreased quickly around 2017. BPD was stable from 2013 to 2016, after which it increased dramatically. Most trends in the two subgroups by BW were similar to the patterns in the overall infants.</p><p><strong>Conclusions: </strong>Mortality and most morbidities in VLBWI decreased from 2013 to 2023, with the exception of BPD and ROP. Continuous research and quality improvement (QI) efforts should be made to further improve the outcomes of VLBWI, especially for BPD and ROP.</p>","PeriodicalId":23294,"journal":{"name":"Translational pediatrics","volume":"14 5","pages":"788-798"},"PeriodicalIF":1.7000,"publicationDate":"2025-05-30","publicationTypes":"Journal Article","fieldsOfStudy":null,"isOpenAccess":false,"openAccessPdf":"https://www.ncbi.nlm.nih.gov/pmc/articles/PMC12163821/pdf/","citationCount":"0","resultStr":"{\"title\":\"Trends in short-term outcomes of very low birth weight infants from a single center in Shanghai from 2013 to 2023.\",\"authors\":\"Ling Zhao, Wan Tang, Pu Xu, Ziming Wang, Jiayu Zhou, Yingying Jiang, Zhuoyu Zhao, Rong Zhang, Jin Wang, Laishuan Wang\",\"doi\":\"10.21037/tp-2025-16\",\"DOIUrl\":null,\"url\":null,\"abstract\":\"<p><strong>Background: </strong>Very low birth weight infants (VLBWI) are vulnerable to serious complications. We aim to describe the short-term outcomes of VLBWI in a single center during 2013-2023, providing the basis for clinical disease management.</p><p><strong>Methods: </strong>A retrospective study of VLBWI admitted to a tertiary neonatal intensive care unit (NICU) between 1 January 2013 and 31 December 2023 was conducted to analyze trends of mortality and major morbidities over the 11-year period. Infants were divided into two subgroups according to birth weight (BW): <1,000 and 1,000-1,500 g. Major morbidities were defined as bronchopulmonary dysplasia (BPD), late onset sepsis (LOS), intraventricular hemorrhage (IVH) ≥ grade 3, necrotizing enterocolitis (NEC) ≥ stage 2, retinopathy of prematurity (ROP) ≥ stage 3 or needed treatment, and periventricular leukomalacia (PVL).</p><p><strong>Results: </strong>A total of 2,475 VLBWI were enrolled from 2013 to 2023. Analysis showed that the overall trend of mortality, LOS, NEC, IVH and PVL decreased, but BPD and ROP increased during the 11 years. Except for ROP, which exhibited a consistent increasing trend, other outcomes have a significant inflection point. Mortality, LOS, NEC, IVH and PVL kept steady initially, but decreased quickly around 2017. BPD was stable from 2013 to 2016, after which it increased dramatically. Most trends in the two subgroups by BW were similar to the patterns in the overall infants.</p><p><strong>Conclusions: </strong>Mortality and most morbidities in VLBWI decreased from 2013 to 2023, with the exception of BPD and ROP. Continuous research and quality improvement (QI) efforts should be made to further improve the outcomes of VLBWI, especially for BPD and ROP.</p>\",\"PeriodicalId\":23294,\"journal\":{\"name\":\"Translational pediatrics\",\"volume\":\"14 5\",\"pages\":\"788-798\"},\"PeriodicalIF\":1.7000,\"publicationDate\":\"2025-05-30\",\"publicationTypes\":\"Journal Article\",\"fieldsOfStudy\":null,\"isOpenAccess\":false,\"openAccessPdf\":\"https://www.ncbi.nlm.nih.gov/pmc/articles/PMC12163821/pdf/\",\"citationCount\":\"0\",\"resultStr\":null,\"platform\":\"Semanticscholar\",\"paperid\":null,\"PeriodicalName\":\"Translational pediatrics\",\"FirstCategoryId\":\"3\",\"ListUrlMain\":\"https://doi.org/10.21037/tp-2025-16\",\"RegionNum\":4,\"RegionCategory\":\"医学\",\"ArticlePicture\":[],\"TitleCN\":null,\"AbstractTextCN\":null,\"PMCID\":null,\"EPubDate\":\"2025/5/25 0:00:00\",\"PubModel\":\"Epub\",\"JCR\":\"Q2\",\"JCRName\":\"PEDIATRICS\",\"Score\":null,\"Total\":0}","platform":"Semanticscholar","paperid":null,"PeriodicalName":"Translational pediatrics","FirstCategoryId":"3","ListUrlMain":"https://doi.org/10.21037/tp-2025-16","RegionNum":4,"RegionCategory":"医学","ArticlePicture":[],"TitleCN":null,"AbstractTextCN":null,"PMCID":null,"EPubDate":"2025/5/25 0:00:00","PubModel":"Epub","JCR":"Q2","JCRName":"PEDIATRICS","Score":null,"Total":0}
引用次数: 0

摘要

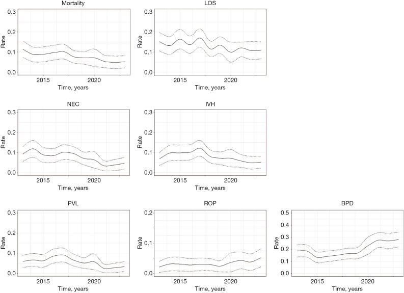
背景:极低出生体重儿(VLBWI)易发生严重并发症。我们旨在描述2013-2023年单中心VLBWI的短期预后,为临床疾病管理提供依据。方法:回顾性研究2013年1月1日至2023年12月31日入住新生儿重症监护病房(NICU)的VLBWI患者,分析11年期间的死亡率和主要发病率趋势。根据出生体重(BW)将婴儿分为两个亚组:结果:2013 - 2023年共纳入2475例VLBWI。分析表明,11年间死亡率、LOS、NEC、IVH和PVL总体呈下降趋势,而BPD和ROP呈上升趋势。除机械钻速呈持续上升趋势外,其他指标均有显著拐点。死亡率、LOS、NEC、IVH和PVL最初保持稳定,但在2017年左右迅速下降。2013年至2016年,BPD保持稳定,之后急剧增加。按体重划分的两个亚组的大多数趋势与整体婴儿的模式相似。结论:2013年至2023年,VLBWI的死亡率和大部分发病率下降,BPD和ROP除外。应持续研究和质量改进(QI)工作,以进一步改善VLBWI的结果,特别是在BPD和ROP方面。
本文章由计算机程序翻译,如有差异,请以英文原文为准。

Trends in short-term outcomes of very low birth weight infants from a single center in Shanghai from 2013 to 2023.

Trends in short-term outcomes of very low birth weight infants from a single center in Shanghai from 2013 to 2023.

Background: Very low birth weight infants (VLBWI) are vulnerable to serious complications. We aim to describe the short-term outcomes of VLBWI in a single center during 2013-2023, providing the basis for clinical disease management.

Methods: A retrospective study of VLBWI admitted to a tertiary neonatal intensive care unit (NICU) between 1 January 2013 and 31 December 2023 was conducted to analyze trends of mortality and major morbidities over the 11-year period. Infants were divided into two subgroups according to birth weight (BW): <1,000 and 1,000-1,500 g. Major morbidities were defined as bronchopulmonary dysplasia (BPD), late onset sepsis (LOS), intraventricular hemorrhage (IVH) ≥ grade 3, necrotizing enterocolitis (NEC) ≥ stage 2, retinopathy of prematurity (ROP) ≥ stage 3 or needed treatment, and periventricular leukomalacia (PVL).

Results: A total of 2,475 VLBWI were enrolled from 2013 to 2023. Analysis showed that the overall trend of mortality, LOS, NEC, IVH and PVL decreased, but BPD and ROP increased during the 11 years. Except for ROP, which exhibited a consistent increasing trend, other outcomes have a significant inflection point. Mortality, LOS, NEC, IVH and PVL kept steady initially, but decreased quickly around 2017. BPD was stable from 2013 to 2016, after which it increased dramatically. Most trends in the two subgroups by BW were similar to the patterns in the overall infants.

Conclusions: Mortality and most morbidities in VLBWI decreased from 2013 to 2023, with the exception of BPD and ROP. Continuous research and quality improvement (QI) efforts should be made to further improve the outcomes of VLBWI, especially for BPD and ROP.

求助全文
通过发布文献求助,成功后即可免费获取论文全文。 去求助
来源期刊
Translational pediatrics
Translational pediatrics Medicine-Pediatrics, Perinatology and Child Health
CiteScore
4.50
自引率
5.00%
发文量
108
期刊介绍: Information not localized
×
引用
GB/T 7714-2015
复制
MLA
复制
APA
复制
导出至
BibTeX EndNote RefMan NoteFirst NoteExpress
×
提示
您的信息不完整,为了账户安全,请先补充。
现在去补充
×
提示
您因"违规操作"
具体请查看互助需知
我知道了
×
提示
确定
请完成安全验证×
copy
已复制链接
快去分享给好友吧!
我知道了
右上角分享
点击右上角分享
0
联系我们:info@booksci.cn Book学术提供免费学术资源搜索服务,方便国内外学者检索中英文文献。致力于提供最便捷和优质的服务体验。 Copyright © 2023 布克学术 All rights reserved.
京ICP备2023020795号-1
ghs 京公网安备 11010802042870号
Book学术文献互助
Book学术文献互助群
群 号:604180095
Book学术官方微信