雷马唑仑在ICU机械通气患者中的药代动力学特性及疗效初步研究。

IF 2.3 4区 医学 Q2 PHARMACOLOGY & PHARMACY
Jing Hu, Yuhan Zhao, Litao Shao, Wenhui Zhang, Han Wang, Yun Liu, Mengxiang Su, Xiangrong Zuo
{"title":"雷马唑仑在ICU机械通气患者中的药代动力学特性及疗效初步研究。","authors":"Jing Hu, Yuhan Zhao, Litao Shao, Wenhui Zhang, Han Wang, Yun Liu, Mengxiang Su, Xiangrong Zuo","doi":"10.1002/prp2.70130","DOIUrl":null,"url":null,"abstract":"<p><p>The pharmacokinetic (PK) profile of remimazolam, a ultra-short-acting benzodiazepine, has been investigated for procedural sedation and anesthesia, but its pharmacokinetics, pharmacodynamics, and optimal dosing for ICU sedation are still unclear. This prospective, single-center, double-blind randomized controlled trial studied ICU adults on mechanical ventilation for over 24 h. Participants were divided into three groups, each receiving a 0.2 mg/kg remimazolam loading dose in less than a minute, followed by maintenance doses of 0.1, 0.3, or 0.5 mg/kg/h. Plasma concentrations of remimazolam and its metabolites were measured using UPLC-MS/MS, and pharmacokinetic parameters were calculated using one-compartmental methods with WinNolin. The study also assessed pharmacodynamic indicators (RASS score) and the impact of the clinical indicators on pharmacokinetic parameters. The study on 36 ICU patents using a one-compartment model found that after 24 h of continuous intravenous remimazolam infusion, the drug had a median clearance rate of 22.23 mL/kg/min and a volume of distribution of 2656.58 mL/kg. The half-life was 101.791 min in ventilated patients, while its metabolites had a slower clearance rate of 0.49 mL/kg/min and an longer half-life of 656.02 min. Sedation levels were mild to moderate at dosed of 0.1-0.3 mg/kg/h. Liver function significantly affected remimazolam metabolism, influencing the half-life (R<sup>2</sup> = 0.36, p = 0.00013) and clearance (R<sup>2</sup> = 0.13, p = 0.04). The pharmacokinetic study indicates that remimazolam is effective and safe for ICU patients on mechanical ventilation, with a 24-h infusion demonstrating rapid clarence and a clear dose-effect relationship. It provides mild to moderate sedation at 0.1-0.3 mg/kg/h, but caution is advised for patients with severe liver dysfunction due to its impact on drug metabolism. Trial Registration: ClinicalTrials.gov identifier: NCT05480787.</p>","PeriodicalId":19948,"journal":{"name":"Pharmacology Research & Perspectives","volume":"13 3","pages":"e70130"},"PeriodicalIF":2.3000,"publicationDate":"2025-06-01","publicationTypes":"Journal Article","fieldsOfStudy":null,"isOpenAccess":false,"openAccessPdf":"https://www.ncbi.nlm.nih.gov/pmc/articles/PMC12167508/pdf/","citationCount":"0","resultStr":"{\"title\":\"Pharmacokinetic Properties and Therapeutic Effectiveness of Remimazolam in ICU Patients With Mechanical Ventilation: A Preliminary Study.\",\"authors\":\"Jing Hu, Yuhan Zhao, Litao Shao, Wenhui Zhang, Han Wang, Yun Liu, Mengxiang Su, Xiangrong Zuo\",\"doi\":\"10.1002/prp2.70130\",\"DOIUrl\":null,\"url\":null,\"abstract\":\"<p><p>The pharmacokinetic (PK) profile of remimazolam, a ultra-short-acting benzodiazepine, has been investigated for procedural sedation and anesthesia, but its pharmacokinetics, pharmacodynamics, and optimal dosing for ICU sedation are still unclear. This prospective, single-center, double-blind randomized controlled trial studied ICU adults on mechanical ventilation for over 24 h. Participants were divided into three groups, each receiving a 0.2 mg/kg remimazolam loading dose in less than a minute, followed by maintenance doses of 0.1, 0.3, or 0.5 mg/kg/h. Plasma concentrations of remimazolam and its metabolites were measured using UPLC-MS/MS, and pharmacokinetic parameters were calculated using one-compartmental methods with WinNolin. The study also assessed pharmacodynamic indicators (RASS score) and the impact of the clinical indicators on pharmacokinetic parameters. The study on 36 ICU patents using a one-compartment model found that after 24 h of continuous intravenous remimazolam infusion, the drug had a median clearance rate of 22.23 mL/kg/min and a volume of distribution of 2656.58 mL/kg. The half-life was 101.791 min in ventilated patients, while its metabolites had a slower clearance rate of 0.49 mL/kg/min and an longer half-life of 656.02 min. Sedation levels were mild to moderate at dosed of 0.1-0.3 mg/kg/h. Liver function significantly affected remimazolam metabolism, influencing the half-life (R<sup>2</sup> = 0.36, p = 0.00013) and clearance (R<sup>2</sup> = 0.13, p = 0.04). The pharmacokinetic study indicates that remimazolam is effective and safe for ICU patients on mechanical ventilation, with a 24-h infusion demonstrating rapid clarence and a clear dose-effect relationship. It provides mild to moderate sedation at 0.1-0.3 mg/kg/h, but caution is advised for patients with severe liver dysfunction due to its impact on drug metabolism. Trial Registration: ClinicalTrials.gov identifier: NCT05480787.</p>\",\"PeriodicalId\":19948,\"journal\":{\"name\":\"Pharmacology Research & Perspectives\",\"volume\":\"13 3\",\"pages\":\"e70130\"},\"PeriodicalIF\":2.3000,\"publicationDate\":\"2025-06-01\",\"publicationTypes\":\"Journal Article\",\"fieldsOfStudy\":null,\"isOpenAccess\":false,\"openAccessPdf\":\"https://www.ncbi.nlm.nih.gov/pmc/articles/PMC12167508/pdf/\",\"citationCount\":\"0\",\"resultStr\":null,\"platform\":\"Semanticscholar\",\"paperid\":null,\"PeriodicalName\":\"Pharmacology Research & Perspectives\",\"FirstCategoryId\":\"3\",\"ListUrlMain\":\"https://doi.org/10.1002/prp2.70130\",\"RegionNum\":4,\"RegionCategory\":\"医学\",\"ArticlePicture\":[],\"TitleCN\":null,\"AbstractTextCN\":null,\"PMCID\":null,\"EPubDate\":\"\",\"PubModel\":\"\",\"JCR\":\"Q2\",\"JCRName\":\"PHARMACOLOGY & PHARMACY\",\"Score\":null,\"Total\":0}","platform":"Semanticscholar","paperid":null,"PeriodicalName":"Pharmacology Research & Perspectives","FirstCategoryId":"3","ListUrlMain":"https://doi.org/10.1002/prp2.70130","RegionNum":4,"RegionCategory":"医学","ArticlePicture":[],"TitleCN":null,"AbstractTextCN":null,"PMCID":null,"EPubDate":"","PubModel":"","JCR":"Q2","JCRName":"PHARMACOLOGY & PHARMACY","Score":null,"Total":0}
引用次数: 0

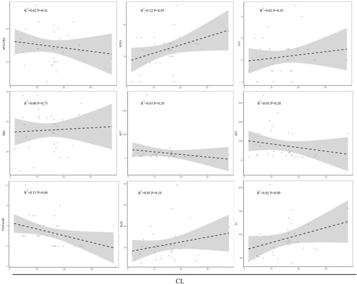
摘要

雷马唑仑(一种超短效苯二氮卓类药物)的药代动力学(PK)谱已被研究用于程序镇静和麻醉,但其药代动力学、药效学和ICU镇静的最佳剂量仍不清楚。这项前瞻性、单中心、双盲随机对照试验研究了ICU成人机械通气超过24小时。参与者被分为三组,每组在不到一分钟的时间内接受0.2 mg/kg的雷马唑仑负荷剂量,然后是0.1、0.3或0.5 mg/kg/h的维持剂量。采用UPLC-MS/MS法测定雷马唑仑及其代谢物的血药浓度,采用WinNolin单室法计算药动学参数。研究还评估了药效学指标(RASS评分)和临床指标对药动学参数的影响。采用单室模型对36项ICU专利进行研究发现,连续静脉输注雷马唑仑24 h后,药物中位清除率为22.23 mL/kg/min,分布容积为2656.58 mL/kg。通气患者的半衰期为101.791 min,其代谢产物清除率较慢,为0.49 mL/kg/min,半衰期较长,为656.02 min。剂量为0.1 ~ 0.3 mg/kg/h时,镇静水平为轻度至中度。肝功能显著影响雷马唑仑代谢,影响半衰期(R2 = 0.36, p = 0.00013)和清除率(R2 = 0.13, p = 0.04)。药代动力学研究表明,雷马唑仑对ICU机械通气患者有效、安全,24小时滴注清速快,量效关系明确。镇静剂量为0.1-0.3 mg/kg/h,有轻度至中度镇静作用,但因影响药物代谢,严重肝功能不全患者慎用。试验注册:ClinicalTrials.gov标识符:NCT05480787。
本文章由计算机程序翻译,如有差异,请以英文原文为准。

Pharmacokinetic Properties and Therapeutic Effectiveness of Remimazolam in ICU Patients With Mechanical Ventilation: A Preliminary Study.

Pharmacokinetic Properties and Therapeutic Effectiveness of Remimazolam in ICU Patients With Mechanical Ventilation: A Preliminary Study.

Pharmacokinetic Properties and Therapeutic Effectiveness of Remimazolam in ICU Patients With Mechanical Ventilation: A Preliminary Study.

Pharmacokinetic Properties and Therapeutic Effectiveness of Remimazolam in ICU Patients With Mechanical Ventilation: A Preliminary Study.

The pharmacokinetic (PK) profile of remimazolam, a ultra-short-acting benzodiazepine, has been investigated for procedural sedation and anesthesia, but its pharmacokinetics, pharmacodynamics, and optimal dosing for ICU sedation are still unclear. This prospective, single-center, double-blind randomized controlled trial studied ICU adults on mechanical ventilation for over 24 h. Participants were divided into three groups, each receiving a 0.2 mg/kg remimazolam loading dose in less than a minute, followed by maintenance doses of 0.1, 0.3, or 0.5 mg/kg/h. Plasma concentrations of remimazolam and its metabolites were measured using UPLC-MS/MS, and pharmacokinetic parameters were calculated using one-compartmental methods with WinNolin. The study also assessed pharmacodynamic indicators (RASS score) and the impact of the clinical indicators on pharmacokinetic parameters. The study on 36 ICU patents using a one-compartment model found that after 24 h of continuous intravenous remimazolam infusion, the drug had a median clearance rate of 22.23 mL/kg/min and a volume of distribution of 2656.58 mL/kg. The half-life was 101.791 min in ventilated patients, while its metabolites had a slower clearance rate of 0.49 mL/kg/min and an longer half-life of 656.02 min. Sedation levels were mild to moderate at dosed of 0.1-0.3 mg/kg/h. Liver function significantly affected remimazolam metabolism, influencing the half-life (R2 = 0.36, p = 0.00013) and clearance (R2 = 0.13, p = 0.04). The pharmacokinetic study indicates that remimazolam is effective and safe for ICU patients on mechanical ventilation, with a 24-h infusion demonstrating rapid clarence and a clear dose-effect relationship. It provides mild to moderate sedation at 0.1-0.3 mg/kg/h, but caution is advised for patients with severe liver dysfunction due to its impact on drug metabolism. Trial Registration: ClinicalTrials.gov identifier: NCT05480787.

求助全文
通过发布文献求助,成功后即可免费获取论文全文。 去求助
来源期刊
Pharmacology Research & Perspectives
Pharmacology Research & Perspectives Pharmacology, Toxicology and Pharmaceutics-General Pharmacology, Toxicology and Pharmaceutics
CiteScore
5.30
自引率
3.80%
发文量
120
审稿时长
20 weeks
期刊介绍: PR&P is jointly published by the American Society for Pharmacology and Experimental Therapeutics (ASPET), the British Pharmacological Society (BPS), and Wiley. PR&P is a bi-monthly open access journal that publishes a range of article types, including: target validation (preclinical papers that show a hypothesis is incorrect or papers on drugs that have failed in early clinical development); drug discovery reviews (strategy, hypotheses, and data resulting in a successful therapeutic drug); frontiers in translational medicine (drug and target validation for an unmet therapeutic need); pharmacological hypotheses (reviews that are oriented to inform a novel hypothesis); and replication studies (work that refutes key findings [failed replication] and work that validates key findings). PR&P publishes papers submitted directly to the journal and those referred from the journals of ASPET and the BPS
×
引用
GB/T 7714-2015
复制
MLA
复制
APA
复制
导出至
BibTeX EndNote RefMan NoteFirst NoteExpress
×
提示
您的信息不完整,为了账户安全,请先补充。
现在去补充
×
提示
您因"违规操作"
具体请查看互助需知
我知道了
×
提示
确定
请完成安全验证×
copy
已复制链接
快去分享给好友吧!
我知道了
右上角分享
点击右上角分享
0
联系我们:info@booksci.cn Book学术提供免费学术资源搜索服务,方便国内外学者检索中英文文献。致力于提供最便捷和优质的服务体验。 Copyright © 2023 布克学术 All rights reserved.
京ICP备2023020795号-1
ghs 京公网安备 11010802042870号
Book学术文献互助
Book学术文献互助群
群 号:604180095
Book学术官方微信