评价一线免疫检查点抑制剂联合化疗治疗肺肉瘤样癌的有效性和安全性。

IF 3.3 Q1 ONCOLOGY
Lung Cancer: Targets and Therapy Pub Date : 2025-06-09 eCollection Date: 2025-01-01 DOI:10.2147/LCTT.S494990
He Du, Xinyu Song, Fengying Wu
{"title":"评价一线免疫检查点抑制剂联合化疗治疗肺肉瘤样癌的有效性和安全性。","authors":"He Du, Xinyu Song, Fengying Wu","doi":"10.2147/LCTT.S494990","DOIUrl":null,"url":null,"abstract":"<p><strong>Background: </strong>Pulmonary sarcomatoid carcinoma (PSC) represents a rare subtype of non-small cell lung cancer (NSCLC), and it has poor pathologic differentiation, aggressive progression, and early metastasis. Conventional antitumor therapies demonstrate limited efficacy against PSC, which is frequently associated with unfavorable clinical outcomes.</p><p><strong>Methods: </strong>We conducted an open-label, single-arm Phase II trial. This study has been registered with Clinical Trials (ChiCTR2000031478). Patients received immune checkpoint inhibitor (ICI) combination with chemotherapy, the treatment continued until disease progression, unacceptable toxicity, patient withdrawal, or death. The primary endpoint was objective response rate (ORR), with secondary endpoints comprising progression-free survival (PFS), disease control rate (DCR), overall survival (OS), and treatment-emergent adverse events.</p><p><strong>Results: </strong>From March 2021 through August 2023, a total of 38 patients were enrolled. The study comprised predominantly male participants (91%, n=34) with a median age of 65.4 years. Notably, 86.8% (n=33) had smoking histories. The ORR and DCR were 73.7% and 94.7%, respectively. The median PFS was 13.3 months (95% CI, 10.2-15.7) and median OS was not reached. The most common immune-related adverse events were pneumonitis, the incidence of which was 13.2%. The majority of observed AEs were grades 1 or 2 and all AEs were manageable. Only two patients discontinued treatment due to grade 3 immune-related pneumonitis during the study.</p><p><strong>Conclusion: </strong>In our trial, we found that ICI combination with chemotherapy showed robust efficacy alongside acceptable toxicity in advanced-stage PSC. Taken together, ICI combination with chemotherapy could be a better option for PSC.</p>","PeriodicalId":18066,"journal":{"name":"Lung Cancer: Targets and Therapy","volume":"16 ","pages":"73-83"},"PeriodicalIF":3.3000,"publicationDate":"2025-06-09","publicationTypes":"Journal Article","fieldsOfStudy":null,"isOpenAccess":false,"openAccessPdf":"https://www.ncbi.nlm.nih.gov/pmc/articles/PMC12164836/pdf/","citationCount":"0","resultStr":"{\"title\":\"Evaluation of the Effectiveness and Safety Profile of First-Line Immune Checkpoint Inhibitors Combined with Chemotherapy in Pulmonary Sarcomatoid Carcinoma.\",\"authors\":\"He Du, Xinyu Song, Fengying Wu\",\"doi\":\"10.2147/LCTT.S494990\",\"DOIUrl\":null,\"url\":null,\"abstract\":\"<p><strong>Background: </strong>Pulmonary sarcomatoid carcinoma (PSC) represents a rare subtype of non-small cell lung cancer (NSCLC), and it has poor pathologic differentiation, aggressive progression, and early metastasis. Conventional antitumor therapies demonstrate limited efficacy against PSC, which is frequently associated with unfavorable clinical outcomes.</p><p><strong>Methods: </strong>We conducted an open-label, single-arm Phase II trial. This study has been registered with Clinical Trials (ChiCTR2000031478). Patients received immune checkpoint inhibitor (ICI) combination with chemotherapy, the treatment continued until disease progression, unacceptable toxicity, patient withdrawal, or death. The primary endpoint was objective response rate (ORR), with secondary endpoints comprising progression-free survival (PFS), disease control rate (DCR), overall survival (OS), and treatment-emergent adverse events.</p><p><strong>Results: </strong>From March 2021 through August 2023, a total of 38 patients were enrolled. The study comprised predominantly male participants (91%, n=34) with a median age of 65.4 years. Notably, 86.8% (n=33) had smoking histories. The ORR and DCR were 73.7% and 94.7%, respectively. The median PFS was 13.3 months (95% CI, 10.2-15.7) and median OS was not reached. The most common immune-related adverse events were pneumonitis, the incidence of which was 13.2%. The majority of observed AEs were grades 1 or 2 and all AEs were manageable. Only two patients discontinued treatment due to grade 3 immune-related pneumonitis during the study.</p><p><strong>Conclusion: </strong>In our trial, we found that ICI combination with chemotherapy showed robust efficacy alongside acceptable toxicity in advanced-stage PSC. Taken together, ICI combination with chemotherapy could be a better option for PSC.</p>\",\"PeriodicalId\":18066,\"journal\":{\"name\":\"Lung Cancer: Targets and Therapy\",\"volume\":\"16 \",\"pages\":\"73-83\"},\"PeriodicalIF\":3.3000,\"publicationDate\":\"2025-06-09\",\"publicationTypes\":\"Journal Article\",\"fieldsOfStudy\":null,\"isOpenAccess\":false,\"openAccessPdf\":\"https://www.ncbi.nlm.nih.gov/pmc/articles/PMC12164836/pdf/\",\"citationCount\":\"0\",\"resultStr\":null,\"platform\":\"Semanticscholar\",\"paperid\":null,\"PeriodicalName\":\"Lung Cancer: Targets and Therapy\",\"FirstCategoryId\":\"1085\",\"ListUrlMain\":\"https://doi.org/10.2147/LCTT.S494990\",\"RegionNum\":0,\"RegionCategory\":null,\"ArticlePicture\":[],\"TitleCN\":null,\"AbstractTextCN\":null,\"PMCID\":null,\"EPubDate\":\"2025/1/1 0:00:00\",\"PubModel\":\"eCollection\",\"JCR\":\"Q1\",\"JCRName\":\"ONCOLOGY\",\"Score\":null,\"Total\":0}","platform":"Semanticscholar","paperid":null,"PeriodicalName":"Lung Cancer: Targets and Therapy","FirstCategoryId":"1085","ListUrlMain":"https://doi.org/10.2147/LCTT.S494990","RegionNum":0,"RegionCategory":null,"ArticlePicture":[],"TitleCN":null,"AbstractTextCN":null,"PMCID":null,"EPubDate":"2025/1/1 0:00:00","PubModel":"eCollection","JCR":"Q1","JCRName":"ONCOLOGY","Score":null,"Total":0}
引用次数: 0

摘要

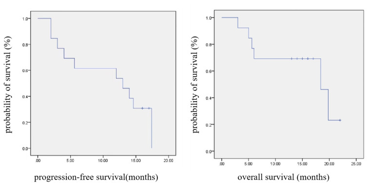
背景:肺肉瘤样癌(Pulmonary sarcomatoid carcinoma, PSC)是一种罕见的非小细胞肺癌(non-small cell lung cancer, NSCLC)亚型,病理分化差,进展积极,转移早。传统的抗肿瘤疗法对PSC的疗效有限,这通常与不利的临床结果相关。方法:我们进行了一项开放标签、单臂II期试验。本研究已在临床试验注册(ChiCTR2000031478)。患者接受免疫检查点抑制剂(ICI)联合化疗,治疗持续至疾病进展、不可接受的毒性、患者停药或死亡。主要终点是客观缓解率(ORR),次要终点包括无进展生存期(PFS)、疾病控制率(DCR)、总生存期(OS)和治疗中出现的不良事件。结果:从2021年3月到2023年8月,共有38名患者入组。该研究主要由男性参与者组成(91%,n=34),中位年龄为65.4岁。值得注意的是,86.8% (n=33)有吸烟史。ORR和DCR分别为73.7%和94.7%。中位PFS为13.3个月(95% CI, 10.2-15.7),中位OS未达到。最常见的免疫相关不良事件是肺炎,发生率为13.2%。大多数观察到的ae为1级或2级,所有ae都是可控的。在研究期间,只有两名患者因三级免疫相关性肺炎而停止治疗。结论:在我们的试验中,我们发现ICI联合化疗在晚期PSC中显示出强大的疗效和可接受的毒性。综上所述,ICI联合化疗可能是PSC更好的选择。
本文章由计算机程序翻译,如有差异,请以英文原文为准。

Evaluation of the Effectiveness and Safety Profile of First-Line Immune Checkpoint Inhibitors Combined with Chemotherapy in Pulmonary Sarcomatoid Carcinoma.

Evaluation of the Effectiveness and Safety Profile of First-Line Immune Checkpoint Inhibitors Combined with Chemotherapy in Pulmonary Sarcomatoid Carcinoma.

Evaluation of the Effectiveness and Safety Profile of First-Line Immune Checkpoint Inhibitors Combined with Chemotherapy in Pulmonary Sarcomatoid Carcinoma.

Evaluation of the Effectiveness and Safety Profile of First-Line Immune Checkpoint Inhibitors Combined with Chemotherapy in Pulmonary Sarcomatoid Carcinoma.

Background: Pulmonary sarcomatoid carcinoma (PSC) represents a rare subtype of non-small cell lung cancer (NSCLC), and it has poor pathologic differentiation, aggressive progression, and early metastasis. Conventional antitumor therapies demonstrate limited efficacy against PSC, which is frequently associated with unfavorable clinical outcomes.

Methods: We conducted an open-label, single-arm Phase II trial. This study has been registered with Clinical Trials (ChiCTR2000031478). Patients received immune checkpoint inhibitor (ICI) combination with chemotherapy, the treatment continued until disease progression, unacceptable toxicity, patient withdrawal, or death. The primary endpoint was objective response rate (ORR), with secondary endpoints comprising progression-free survival (PFS), disease control rate (DCR), overall survival (OS), and treatment-emergent adverse events.

Results: From March 2021 through August 2023, a total of 38 patients were enrolled. The study comprised predominantly male participants (91%, n=34) with a median age of 65.4 years. Notably, 86.8% (n=33) had smoking histories. The ORR and DCR were 73.7% and 94.7%, respectively. The median PFS was 13.3 months (95% CI, 10.2-15.7) and median OS was not reached. The most common immune-related adverse events were pneumonitis, the incidence of which was 13.2%. The majority of observed AEs were grades 1 or 2 and all AEs were manageable. Only two patients discontinued treatment due to grade 3 immune-related pneumonitis during the study.

Conclusion: In our trial, we found that ICI combination with chemotherapy showed robust efficacy alongside acceptable toxicity in advanced-stage PSC. Taken together, ICI combination with chemotherapy could be a better option for PSC.

求助全文
通过发布文献求助,成功后即可免费获取论文全文。 去求助
来源期刊
CiteScore
8.10
自引率
0.00%
发文量
10
审稿时长
16 weeks
×
引用
GB/T 7714-2015
复制
MLA
复制
APA
复制
导出至
BibTeX EndNote RefMan NoteFirst NoteExpress
×
提示
您的信息不完整,为了账户安全,请先补充。
现在去补充
×
提示
您因"违规操作"
具体请查看互助需知
我知道了
×
提示
确定
请完成安全验证×
copy
已复制链接
快去分享给好友吧!
我知道了
右上角分享
点击右上角分享
0
联系我们:info@booksci.cn Book学术提供免费学术资源搜索服务,方便国内外学者检索中英文文献。致力于提供最便捷和优质的服务体验。 Copyright © 2023 布克学术 All rights reserved.
京ICP备2023020795号-1
ghs 京公网安备 11010802042870号
Book学术文献互助
Book学术文献互助群
群 号:604180095
Book学术官方微信