海祖卡坝库内内陆阿育鱼异速生长及其年生活史的影响因素

Q3 Environmental Science
Dalia Khatun, Tomomi Tanaka, Masahiro Horinouchi, Hidekazu Yoshioka, Futoshi Aranishi
{"title":"海祖卡坝库内内陆阿育鱼异速生长及其年生活史的影响因素","authors":"Dalia Khatun,&nbsp;Tomomi Tanaka,&nbsp;Masahiro Horinouchi,&nbsp;Hidekazu Yoshioka,&nbsp;Futoshi Aranishi","doi":"10.1111/lre.70011","DOIUrl":null,"url":null,"abstract":"<p>Ayu <i>Plecoglossus altivelis altivelis</i> is a commercially and recreationally important freshwater fish in Japan. This species is categorised into two ecological forms: amphidromous migrating between rivers and sea and landlocked migrating between rivers and lakes or dam reservoirs. Despite its ecological and economical values, growth analysis has been developed limitedly in the early life history of particularly the amphidromous form, and the growth potential of the landlocked form throughout an annual life history remains almost unknown. This study investigated the allometric growth and condition factors along with their variation among months and life stages of artificial landlocked ayu in Haidzuka Dam reservoir and its connected Tabusa River. A total of 281 individuals were collected monthly from October 2017 to September 2018, and their total length (TL) and body weight (BW) ranged from 1.11 to 14.98 cm and 0.001 to 32.148 g, respectively. Although the allometric coefficient (<i>b</i>) of the length–weight relationship varied from 2.71 to 3.44 among months, it indicated overall positive allometric growth (<i>b</i> = 3.83) calculated from the equation BW = 0.0013TL<sup>3.83</sup>. The growth pattern altered significantly among life stages from positive allometric for larvae, juveniles, and youngs to negative allometric for adults. The calculated asymptotic length and growth coefficient of the logistic growth model were 17.71 cm and 3.91 year<sup>−1</sup>, respectively. Significant differences were found in allometric (<i>K</i><sub>A</sub>) and Fulton's (<i>K</i><sub>F</sub>) condition factors among months, while there was no difference in relative condition factor and relative weight (<i>W</i><sub>R</sub>). Life stage-specific analysis also revealed that the adult stage was nutritionally healthier compared to other life stages based on <i>K</i><sub>A</sub> and <i>K</i><sub>F</sub>. Only <i>K</i><sub>F</sub> showed significant correlations with both TL and BW, making it an ideal condition factor to predict the wellbeing of ayu in this reservoir. Moreover, the Wilcoxon signed-rank test for <i>W</i><sub>R</sub> showed no significant divergence from 100, suggesting a balanced habitat in this reservoir for ayu. These findings will be crucial for further studies and to develop appropriate strategies for the sustainable management of artificial landlocked ayu in dam reservoirs.</p>","PeriodicalId":39473,"journal":{"name":"Lakes and Reservoirs: Research and Management","volume":"30 1","pages":""},"PeriodicalIF":0.0000,"publicationDate":"2025-06-16","publicationTypes":"Journal Article","fieldsOfStudy":null,"isOpenAccess":false,"openAccessPdf":"https://onlinelibrary.wiley.com/doi/epdf/10.1111/lre.70011","citationCount":"0","resultStr":"{\"title\":\"Allometric Growth and Condition Factors Throughout an Annual Life History of Landlocked Ayu Plecoglossus altivelis altivelis in Haidzuka Dam Reservoir\",\"authors\":\"Dalia Khatun,&nbsp;Tomomi Tanaka,&nbsp;Masahiro Horinouchi,&nbsp;Hidekazu Yoshioka,&nbsp;Futoshi Aranishi\",\"doi\":\"10.1111/lre.70011\",\"DOIUrl\":null,\"url\":null,\"abstract\":\"<p>Ayu <i>Plecoglossus altivelis altivelis</i> is a commercially and recreationally important freshwater fish in Japan. This species is categorised into two ecological forms: amphidromous migrating between rivers and sea and landlocked migrating between rivers and lakes or dam reservoirs. Despite its ecological and economical values, growth analysis has been developed limitedly in the early life history of particularly the amphidromous form, and the growth potential of the landlocked form throughout an annual life history remains almost unknown. This study investigated the allometric growth and condition factors along with their variation among months and life stages of artificial landlocked ayu in Haidzuka Dam reservoir and its connected Tabusa River. A total of 281 individuals were collected monthly from October 2017 to September 2018, and their total length (TL) and body weight (BW) ranged from 1.11 to 14.98 cm and 0.001 to 32.148 g, respectively. Although the allometric coefficient (<i>b</i>) of the length–weight relationship varied from 2.71 to 3.44 among months, it indicated overall positive allometric growth (<i>b</i> = 3.83) calculated from the equation BW = 0.0013TL<sup>3.83</sup>. The growth pattern altered significantly among life stages from positive allometric for larvae, juveniles, and youngs to negative allometric for adults. The calculated asymptotic length and growth coefficient of the logistic growth model were 17.71 cm and 3.91 year<sup>−1</sup>, respectively. Significant differences were found in allometric (<i>K</i><sub>A</sub>) and Fulton's (<i>K</i><sub>F</sub>) condition factors among months, while there was no difference in relative condition factor and relative weight (<i>W</i><sub>R</sub>). Life stage-specific analysis also revealed that the adult stage was nutritionally healthier compared to other life stages based on <i>K</i><sub>A</sub> and <i>K</i><sub>F</sub>. Only <i>K</i><sub>F</sub> showed significant correlations with both TL and BW, making it an ideal condition factor to predict the wellbeing of ayu in this reservoir. Moreover, the Wilcoxon signed-rank test for <i>W</i><sub>R</sub> showed no significant divergence from 100, suggesting a balanced habitat in this reservoir for ayu. These findings will be crucial for further studies and to develop appropriate strategies for the sustainable management of artificial landlocked ayu in dam reservoirs.</p>\",\"PeriodicalId\":39473,\"journal\":{\"name\":\"Lakes and Reservoirs: Research and Management\",\"volume\":\"30 1\",\"pages\":\"\"},\"PeriodicalIF\":0.0000,\"publicationDate\":\"2025-06-16\",\"publicationTypes\":\"Journal Article\",\"fieldsOfStudy\":null,\"isOpenAccess\":false,\"openAccessPdf\":\"https://onlinelibrary.wiley.com/doi/epdf/10.1111/lre.70011\",\"citationCount\":\"0\",\"resultStr\":null,\"platform\":\"Semanticscholar\",\"paperid\":null,\"PeriodicalName\":\"Lakes and Reservoirs: Research and Management\",\"FirstCategoryId\":\"1085\",\"ListUrlMain\":\"https://onlinelibrary.wiley.com/doi/10.1111/lre.70011\",\"RegionNum\":0,\"RegionCategory\":null,\"ArticlePicture\":[],\"TitleCN\":null,\"AbstractTextCN\":null,\"PMCID\":null,\"EPubDate\":\"\",\"PubModel\":\"\",\"JCR\":\"Q3\",\"JCRName\":\"Environmental Science\",\"Score\":null,\"Total\":0}","platform":"Semanticscholar","paperid":null,"PeriodicalName":"Lakes and Reservoirs: Research and Management","FirstCategoryId":"1085","ListUrlMain":"https://onlinelibrary.wiley.com/doi/10.1111/lre.70011","RegionNum":0,"RegionCategory":null,"ArticlePicture":[],"TitleCN":null,"AbstractTextCN":null,"PMCID":null,"EPubDate":"","PubModel":"","JCR":"Q3","JCRName":"Environmental Science","Score":null,"Total":0}
引用次数: 0

摘要

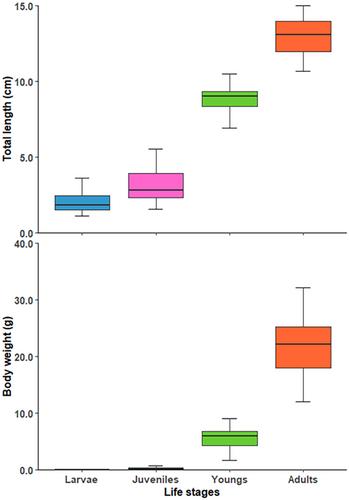
Ayu Plecoglossus altivelis altivelis是日本重要的商业和娱乐淡水鱼。该物种分为两种生态形式:在河流和海洋之间的两栖迁徙和在河流和湖泊或水坝水库之间的内陆迁徙。尽管其具有生态和经济价值,但生长分析在早期生活史中发展有限,特别是在两性形式的生活史中,并且在整个年度生活史中,内陆形式的生长潜力几乎仍然未知。本文研究了海祖卡坝水库及其相连的塔布沙河人工内陆鱼的异速生长和条件因子及其在月份和生命阶段的变化。2017年10月至2018年9月,每月共采集281只,体长1.11 ~ 14.98 cm,体重0.001 ~ 32.148 g。虽然不同月份长-重关系的异速生长系数(b)在2.71 ~ 3.44之间变化,但根据公式BW = 0.0013TL3.83计算,整体异速生长为正(b = 3.83)。幼虫、幼鱼和幼鱼的生长模式在不同的生命阶段发生了显著的变化,从正异速生长到负异速生长。logistic增长模型的渐近长度和增长系数分别为17.71 cm和3.91 year−1。异速生长因子(KA)和富尔顿(KF)各月间差异有统计学意义,相对条件因子和相对体重(WR)各月间差异无统计学意义。基于KA和KF的生命阶段特异性分析还显示,与其他生命阶段相比,成年阶段的营养状况更健康。只有KF与TL和BW均呈显著相关,是预测该储层阿玉健康状况的理想条件因子。WR的Wilcoxon sign -rank检验结果表明,WR与100的差异不显著,表明该水库存在平衡生境。这些发现将对进一步研究和制定水坝水库人工内陆流可持续管理的适当战略至关重要。
本文章由计算机程序翻译,如有差异,请以英文原文为准。

Allometric Growth and Condition Factors Throughout an Annual Life History of Landlocked Ayu Plecoglossus altivelis altivelis in Haidzuka Dam Reservoir

Allometric Growth and Condition Factors Throughout an Annual Life History of Landlocked Ayu Plecoglossus altivelis altivelis in Haidzuka Dam Reservoir

Ayu Plecoglossus altivelis altivelis is a commercially and recreationally important freshwater fish in Japan. This species is categorised into two ecological forms: amphidromous migrating between rivers and sea and landlocked migrating between rivers and lakes or dam reservoirs. Despite its ecological and economical values, growth analysis has been developed limitedly in the early life history of particularly the amphidromous form, and the growth potential of the landlocked form throughout an annual life history remains almost unknown. This study investigated the allometric growth and condition factors along with their variation among months and life stages of artificial landlocked ayu in Haidzuka Dam reservoir and its connected Tabusa River. A total of 281 individuals were collected monthly from October 2017 to September 2018, and their total length (TL) and body weight (BW) ranged from 1.11 to 14.98 cm and 0.001 to 32.148 g, respectively. Although the allometric coefficient (b) of the length–weight relationship varied from 2.71 to 3.44 among months, it indicated overall positive allometric growth (b = 3.83) calculated from the equation BW = 0.0013TL3.83. The growth pattern altered significantly among life stages from positive allometric for larvae, juveniles, and youngs to negative allometric for adults. The calculated asymptotic length and growth coefficient of the logistic growth model were 17.71 cm and 3.91 year−1, respectively. Significant differences were found in allometric (KA) and Fulton's (KF) condition factors among months, while there was no difference in relative condition factor and relative weight (WR). Life stage-specific analysis also revealed that the adult stage was nutritionally healthier compared to other life stages based on KA and KF. Only KF showed significant correlations with both TL and BW, making it an ideal condition factor to predict the wellbeing of ayu in this reservoir. Moreover, the Wilcoxon signed-rank test for WR showed no significant divergence from 100, suggesting a balanced habitat in this reservoir for ayu. These findings will be crucial for further studies and to develop appropriate strategies for the sustainable management of artificial landlocked ayu in dam reservoirs.

求助全文
通过发布文献求助,成功后即可免费获取论文全文。 去求助
来源期刊
Lakes and Reservoirs: Research and Management
Lakes and Reservoirs: Research and Management Environmental Science-Water Science and Technology
CiteScore
2.40
自引率
0.00%
发文量
29
期刊介绍: Lakes & Reservoirs: Research and Management aims to promote environmentally sound management of natural and artificial lakes, consistent with sustainable development policies. This peer-reviewed Journal publishes international research on the management and conservation of lakes and reservoirs to facilitate the international exchange of results.
×
引用
GB/T 7714-2015
复制
MLA
复制
APA
复制
导出至
BibTeX EndNote RefMan NoteFirst NoteExpress
×
提示
您的信息不完整,为了账户安全,请先补充。
现在去补充
×
提示
您因"违规操作"
具体请查看互助需知
我知道了
×
提示
确定
请完成安全验证×
copy
已复制链接
快去分享给好友吧!
我知道了
右上角分享
点击右上角分享
0
联系我们:info@booksci.cn Book学术提供免费学术资源搜索服务,方便国内外学者检索中英文文献。致力于提供最便捷和优质的服务体验。 Copyright © 2023 布克学术 All rights reserved.
京ICP备2023020795号-1
ghs 京公网安备 11010802042870号
Book学术文献互助
Book学术文献互助群
群 号:604180095
Book学术官方微信