高学历子女的父母支持:城乡背景差异和父母健康维度。

IF 2.3 4区 医学 Q3 HEALTH CARE SCIENCES & SERVICES
Jiaxing Li, Jianyu Chen, Lihua Zhu, Li Luo
{"title":"高学历子女的父母支持:城乡背景差异和父母健康维度。","authors":"Jiaxing Li, Jianyu Chen, Lihua Zhu, Li Luo","doi":"10.1177/00469580251344181","DOIUrl":null,"url":null,"abstract":"<p><p>With rising life expectancy, older adults' dependency on children for care increases, though the level of support varies based on children's individual capabilities. In multi-child households, highly educated offspring are often considered to prioritize personal utility, opting to substitute caregiving with financial assistance. However, as parental health declines, their support evolves to stronger reciprocal motivations. Employing a fixed-effects model clustered at the family level and data from the 2018 China Family Panel Studies, this study analyzes intergenerational support within multi-child households, specifically examining how parental health mediates support from highly educated offspring to older adults across urban and rural contexts. Findings highlight the substantial impact of 2 dimensions of parental health on intergenerational support patterns, with highly educated children in urban and rural areas exhibiting different responses. In urban settings, highly educated children tend to provide less caregiving support, increasing their involvement only in response to severe parental depression. In contrast, children of rural areas face greater expectations of reciprocity, offering both financial and caregiving support when their parents' health deteriorates. This study once again provides empirical support for the health benefits of parental investment in children's education. Moreover, these findings offer insights for formulating public policies aimed at addressing inequalities in care for older individuals.</p>","PeriodicalId":54976,"journal":{"name":"Inquiry-The Journal of Health Care Organization Provision and Financing","volume":"62 ","pages":"469580251344181"},"PeriodicalIF":2.3000,"publicationDate":"2025-01-01","publicationTypes":"Journal Article","fieldsOfStudy":null,"isOpenAccess":false,"openAccessPdf":"https://www.ncbi.nlm.nih.gov/pmc/articles/PMC12166245/pdf/","citationCount":"0","resultStr":"{\"title\":\"Parental Support by Highly Educated Offspring: Disparities Across Urban-Rural Contexts and Parental Health Dimensions.\",\"authors\":\"Jiaxing Li, Jianyu Chen, Lihua Zhu, Li Luo\",\"doi\":\"10.1177/00469580251344181\",\"DOIUrl\":null,\"url\":null,\"abstract\":\"<p><p>With rising life expectancy, older adults' dependency on children for care increases, though the level of support varies based on children's individual capabilities. In multi-child households, highly educated offspring are often considered to prioritize personal utility, opting to substitute caregiving with financial assistance. However, as parental health declines, their support evolves to stronger reciprocal motivations. Employing a fixed-effects model clustered at the family level and data from the 2018 China Family Panel Studies, this study analyzes intergenerational support within multi-child households, specifically examining how parental health mediates support from highly educated offspring to older adults across urban and rural contexts. Findings highlight the substantial impact of 2 dimensions of parental health on intergenerational support patterns, with highly educated children in urban and rural areas exhibiting different responses. In urban settings, highly educated children tend to provide less caregiving support, increasing their involvement only in response to severe parental depression. In contrast, children of rural areas face greater expectations of reciprocity, offering both financial and caregiving support when their parents' health deteriorates. This study once again provides empirical support for the health benefits of parental investment in children's education. Moreover, these findings offer insights for formulating public policies aimed at addressing inequalities in care for older individuals.</p>\",\"PeriodicalId\":54976,\"journal\":{\"name\":\"Inquiry-The Journal of Health Care Organization Provision and Financing\",\"volume\":\"62 \",\"pages\":\"469580251344181\"},\"PeriodicalIF\":2.3000,\"publicationDate\":\"2025-01-01\",\"publicationTypes\":\"Journal Article\",\"fieldsOfStudy\":null,\"isOpenAccess\":false,\"openAccessPdf\":\"https://www.ncbi.nlm.nih.gov/pmc/articles/PMC12166245/pdf/\",\"citationCount\":\"0\",\"resultStr\":null,\"platform\":\"Semanticscholar\",\"paperid\":null,\"PeriodicalName\":\"Inquiry-The Journal of Health Care Organization Provision and Financing\",\"FirstCategoryId\":\"3\",\"ListUrlMain\":\"https://doi.org/10.1177/00469580251344181\",\"RegionNum\":4,\"RegionCategory\":\"医学\",\"ArticlePicture\":[],\"TitleCN\":null,\"AbstractTextCN\":null,\"PMCID\":null,\"EPubDate\":\"2025/6/13 0:00:00\",\"PubModel\":\"Epub\",\"JCR\":\"Q3\",\"JCRName\":\"HEALTH CARE SCIENCES & SERVICES\",\"Score\":null,\"Total\":0}","platform":"Semanticscholar","paperid":null,"PeriodicalName":"Inquiry-The Journal of Health Care Organization Provision and Financing","FirstCategoryId":"3","ListUrlMain":"https://doi.org/10.1177/00469580251344181","RegionNum":4,"RegionCategory":"医学","ArticlePicture":[],"TitleCN":null,"AbstractTextCN":null,"PMCID":null,"EPubDate":"2025/6/13 0:00:00","PubModel":"Epub","JCR":"Q3","JCRName":"HEALTH CARE SCIENCES & SERVICES","Score":null,"Total":0}
引用次数: 0

摘要

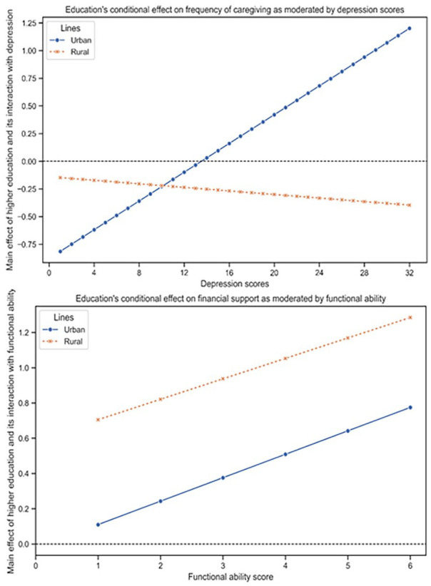
随着预期寿命的延长,老年人对儿童照顾的依赖程度也在增加,尽管支持程度因儿童的个人能力而异。在多子女家庭中,受过高等教育的子女通常被认为优先考虑个人利益,选择用经济援助代替照顾。然而,随着父母健康状况的下降,他们的支持演变为更强的互惠动机。本研究采用家庭层面的固定效应模型和2018年中国家庭小组研究的数据,分析了多子女家庭中的代际支持,特别是研究了父母健康如何在城市和农村背景下调节受过高等教育的后代对老年人的支持。调查结果突出了父母健康的两个维度对代际支持模式的重大影响,城市和农村地区受过高等教育的儿童表现出不同的反应。在城市环境中,受过高等教育的儿童往往提供较少的照料支持,只有在父母严重抑郁的情况下才会增加他们的参与。相比之下,农村地区的孩子对互惠的期望更高,当父母的健康状况恶化时,他们会提供经济和照顾方面的支持。本研究再次为父母投资子女教育的健康效益提供了实证支持。此外,这些发现为制定旨在解决老年人护理不平等问题的公共政策提供了见解。
本文章由计算机程序翻译,如有差异,请以英文原文为准。

Parental Support by Highly Educated Offspring: Disparities Across Urban-Rural Contexts and Parental Health Dimensions.

Parental Support by Highly Educated Offspring: Disparities Across Urban-Rural Contexts and Parental Health Dimensions.

Parental Support by Highly Educated Offspring: Disparities Across Urban-Rural Contexts and Parental Health Dimensions.

Parental Support by Highly Educated Offspring: Disparities Across Urban-Rural Contexts and Parental Health Dimensions.

With rising life expectancy, older adults' dependency on children for care increases, though the level of support varies based on children's individual capabilities. In multi-child households, highly educated offspring are often considered to prioritize personal utility, opting to substitute caregiving with financial assistance. However, as parental health declines, their support evolves to stronger reciprocal motivations. Employing a fixed-effects model clustered at the family level and data from the 2018 China Family Panel Studies, this study analyzes intergenerational support within multi-child households, specifically examining how parental health mediates support from highly educated offspring to older adults across urban and rural contexts. Findings highlight the substantial impact of 2 dimensions of parental health on intergenerational support patterns, with highly educated children in urban and rural areas exhibiting different responses. In urban settings, highly educated children tend to provide less caregiving support, increasing their involvement only in response to severe parental depression. In contrast, children of rural areas face greater expectations of reciprocity, offering both financial and caregiving support when their parents' health deteriorates. This study once again provides empirical support for the health benefits of parental investment in children's education. Moreover, these findings offer insights for formulating public policies aimed at addressing inequalities in care for older individuals.

求助全文
通过发布文献求助,成功后即可免费获取论文全文。 去求助
来源期刊
CiteScore
2.50
自引率
0.00%
发文量
192
审稿时长
>12 weeks
期刊介绍: INQUIRY is a peer-reviewed open access journal whose msision is to to improve health by sharing research spanning health care, including public health, health services, and health policy.
×
引用
GB/T 7714-2015
复制
MLA
复制
APA
复制
导出至
BibTeX EndNote RefMan NoteFirst NoteExpress
×
提示
您的信息不完整,为了账户安全,请先补充。
现在去补充
×
提示
您因"违规操作"
具体请查看互助需知
我知道了
×
提示
确定
请完成安全验证×
copy
已复制链接
快去分享给好友吧!
我知道了
右上角分享
点击右上角分享
0
联系我们:info@booksci.cn Book学术提供免费学术资源搜索服务,方便国内外学者检索中英文文献。致力于提供最便捷和优质的服务体验。 Copyright © 2023 布克学术 All rights reserved.
京ICP备2023020795号-1
ghs 京公网安备 11010802042870号
Book学术文献互助
Book学术文献互助群
群 号:604180095
Book学术官方微信