在一项随机对照试验中,6个月的结构化力量或耐力锻炼计划对胃分流手术后体重减轻的影响。

IF 1.8 3区 医学 Q2 SURGERY
Stefanie Lehmann, Undine Gabriele Lange, Andreas Oberbach, Ulf Retschlag, Roland Morgenroth, Harald Busse, Christiane Prettin, David Petroff, Lena Seidemann, Matthias Blüher, Arne Dietrich
{"title":"在一项随机对照试验中,6个月的结构化力量或耐力锻炼计划对胃分流手术后体重减轻的影响。","authors":"Stefanie Lehmann, Undine Gabriele Lange, Andreas Oberbach, Ulf Retschlag, Roland Morgenroth, Harald Busse, Christiane Prettin, David Petroff, Lena Seidemann, Matthias Blüher, Arne Dietrich","doi":"10.1007/s00423-025-03731-7","DOIUrl":null,"url":null,"abstract":"<p><strong>Purpose: </strong>To examine the effects of differently structured exercise programs (strength training (ST) vs endurance training (ET) vs a control group (CG)) on glucose metabolism and weight loss following Roux-en-Y Gastric Bypass (RYGB).</p><p><strong>Methods: </strong>After RYGB, patients were randomized to a standardized ST or ET program or a control group, the intervention started within 28 days. Outcomes at 6 months were glucose and lipid metabolism, anthropometrics, inflammation, and quality of life.</p><p><strong>Results: </strong>93 patients were randomized (30 in ST and 31 in ET, 32 in CG; 28% with type 2 diabetes mellitus, 8.5% insulin-dependent). Total weight was - 2.5 kg (95% CI - 4.7 to - 0.4, p = 0.023) lower in pooled intervention group (PIG) and fat mass according to bioelectrical impedance analysis was - 3.0 kg (95% CI - 5.0 to - 1.0, p = 0.0037) lower in the PIG. Fat-free mass decreased by - 4.2 kg with no difference between the groups. The primary endpoint, glucose concentration after a 2 h oral glucose tolerance test, did not differ between the PIG and the CG, - 0.29 mmol/L (95% CI - 1.22 to 0.63, p = 0.54). Similarly, we did not detect any differences in lipid metabolism, inflammation, and quality of life between the groups.</p><p><strong>Conclusion: </strong>In our study, we found that an additional exercise training 6 months postoperatvely- independent of the type of training- resulted in greater weight loss and loss of fat mass. However, it had no effect on glucose/lipid parameters or inflammation beyond the surgery itself.</p>","PeriodicalId":17983,"journal":{"name":"Langenbeck's Archives of Surgery","volume":"410 1","pages":"194"},"PeriodicalIF":1.8000,"publicationDate":"2025-06-14","publicationTypes":"Journal Article","fieldsOfStudy":null,"isOpenAccess":false,"openAccessPdf":"https://www.ncbi.nlm.nih.gov/pmc/articles/PMC12167321/pdf/","citationCount":"0","resultStr":"{\"title\":\"The effect of 6 months of structured strength or endurance exercise program on weight loss after gastric bypass surgery in a randomized controlled trial.\",\"authors\":\"Stefanie Lehmann, Undine Gabriele Lange, Andreas Oberbach, Ulf Retschlag, Roland Morgenroth, Harald Busse, Christiane Prettin, David Petroff, Lena Seidemann, Matthias Blüher, Arne Dietrich\",\"doi\":\"10.1007/s00423-025-03731-7\",\"DOIUrl\":null,\"url\":null,\"abstract\":\"<p><strong>Purpose: </strong>To examine the effects of differently structured exercise programs (strength training (ST) vs endurance training (ET) vs a control group (CG)) on glucose metabolism and weight loss following Roux-en-Y Gastric Bypass (RYGB).</p><p><strong>Methods: </strong>After RYGB, patients were randomized to a standardized ST or ET program or a control group, the intervention started within 28 days. Outcomes at 6 months were glucose and lipid metabolism, anthropometrics, inflammation, and quality of life.</p><p><strong>Results: </strong>93 patients were randomized (30 in ST and 31 in ET, 32 in CG; 28% with type 2 diabetes mellitus, 8.5% insulin-dependent). Total weight was - 2.5 kg (95% CI - 4.7 to - 0.4, p = 0.023) lower in pooled intervention group (PIG) and fat mass according to bioelectrical impedance analysis was - 3.0 kg (95% CI - 5.0 to - 1.0, p = 0.0037) lower in the PIG. Fat-free mass decreased by - 4.2 kg with no difference between the groups. The primary endpoint, glucose concentration after a 2 h oral glucose tolerance test, did not differ between the PIG and the CG, - 0.29 mmol/L (95% CI - 1.22 to 0.63, p = 0.54). Similarly, we did not detect any differences in lipid metabolism, inflammation, and quality of life between the groups.</p><p><strong>Conclusion: </strong>In our study, we found that an additional exercise training 6 months postoperatvely- independent of the type of training- resulted in greater weight loss and loss of fat mass. However, it had no effect on glucose/lipid parameters or inflammation beyond the surgery itself.</p>\",\"PeriodicalId\":17983,\"journal\":{\"name\":\"Langenbeck's Archives of Surgery\",\"volume\":\"410 1\",\"pages\":\"194\"},\"PeriodicalIF\":1.8000,\"publicationDate\":\"2025-06-14\",\"publicationTypes\":\"Journal Article\",\"fieldsOfStudy\":null,\"isOpenAccess\":false,\"openAccessPdf\":\"https://www.ncbi.nlm.nih.gov/pmc/articles/PMC12167321/pdf/\",\"citationCount\":\"0\",\"resultStr\":null,\"platform\":\"Semanticscholar\",\"paperid\":null,\"PeriodicalName\":\"Langenbeck's Archives of Surgery\",\"FirstCategoryId\":\"3\",\"ListUrlMain\":\"https://doi.org/10.1007/s00423-025-03731-7\",\"RegionNum\":3,\"RegionCategory\":\"医学\",\"ArticlePicture\":[],\"TitleCN\":null,\"AbstractTextCN\":null,\"PMCID\":null,\"EPubDate\":\"\",\"PubModel\":\"\",\"JCR\":\"Q2\",\"JCRName\":\"SURGERY\",\"Score\":null,\"Total\":0}","platform":"Semanticscholar","paperid":null,"PeriodicalName":"Langenbeck's Archives of Surgery","FirstCategoryId":"3","ListUrlMain":"https://doi.org/10.1007/s00423-025-03731-7","RegionNum":3,"RegionCategory":"医学","ArticlePicture":[],"TitleCN":null,"AbstractTextCN":null,"PMCID":null,"EPubDate":"","PubModel":"","JCR":"Q2","JCRName":"SURGERY","Score":null,"Total":0}
引用次数: 0

摘要

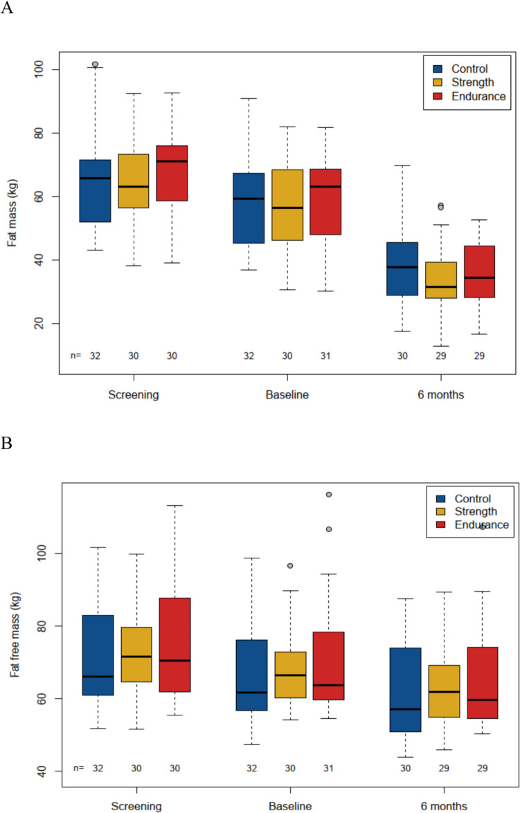
目的:研究不同结构的运动项目(力量训练(ST) vs耐力训练(ET) vs对照组(CG))对Roux-en-Y胃旁路术(RYGB)后葡萄糖代谢和体重减轻的影响。方法:RYGB后,患者随机分为标准化ST或ET方案或对照组,干预在28天内开始。6个月时的结果是糖脂代谢、人体测量、炎症和生活质量。结果:93例患者随机分组(ST 30例,ET 31例,CG 32例;28%为2型糖尿病,8.5%为胰岛素依赖型糖尿病)。综合干预组(PIG)的总体重降低了- 2.5 kg (95% CI - 4.7 - 0.4, p = 0.023),根据生物电阻抗分析,猪的脂肪质量降低了- 3.0 kg (95% CI - 5.0 - 1.0, p = 0.0037)。无脂质量下降- 4.2 kg,组间无差异。主要终点,2小时口服葡萄糖耐量试验后的葡萄糖浓度,在猪和CG之间没有差异,为- 0.29 mmol/L (95% CI - 1.22至0.63,p = 0.54)。同样,我们没有发现两组之间在脂质代谢、炎症和生活质量方面有任何差异。结论:在我们的研究中,我们发现术后6个月进行额外的运动训练-与训练类型无关-导致更大的体重减轻和脂肪量减少。然而,除了手术本身,它对葡萄糖/脂质参数或炎症没有影响。
本文章由计算机程序翻译,如有差异,请以英文原文为准。

The effect of 6 months of structured strength or endurance exercise program on weight loss after gastric bypass surgery in a randomized controlled trial.

The effect of 6 months of structured strength or endurance exercise program on weight loss after gastric bypass surgery in a randomized controlled trial.

The effect of 6 months of structured strength or endurance exercise program on weight loss after gastric bypass surgery in a randomized controlled trial.

Purpose: To examine the effects of differently structured exercise programs (strength training (ST) vs endurance training (ET) vs a control group (CG)) on glucose metabolism and weight loss following Roux-en-Y Gastric Bypass (RYGB).

Methods: After RYGB, patients were randomized to a standardized ST or ET program or a control group, the intervention started within 28 days. Outcomes at 6 months were glucose and lipid metabolism, anthropometrics, inflammation, and quality of life.

Results: 93 patients were randomized (30 in ST and 31 in ET, 32 in CG; 28% with type 2 diabetes mellitus, 8.5% insulin-dependent). Total weight was - 2.5 kg (95% CI - 4.7 to - 0.4, p = 0.023) lower in pooled intervention group (PIG) and fat mass according to bioelectrical impedance analysis was - 3.0 kg (95% CI - 5.0 to - 1.0, p = 0.0037) lower in the PIG. Fat-free mass decreased by - 4.2 kg with no difference between the groups. The primary endpoint, glucose concentration after a 2 h oral glucose tolerance test, did not differ between the PIG and the CG, - 0.29 mmol/L (95% CI - 1.22 to 0.63, p = 0.54). Similarly, we did not detect any differences in lipid metabolism, inflammation, and quality of life between the groups.

Conclusion: In our study, we found that an additional exercise training 6 months postoperatvely- independent of the type of training- resulted in greater weight loss and loss of fat mass. However, it had no effect on glucose/lipid parameters or inflammation beyond the surgery itself.

求助全文
通过发布文献求助,成功后即可免费获取论文全文。 去求助
来源期刊
CiteScore
3.30
自引率
8.70%
发文量
342
审稿时长
4-8 weeks
期刊介绍: Langenbeck''s Archives of Surgery aims to publish the best results in the field of clinical surgery and basic surgical research. The main focus is on providing the highest level of clinical research and clinically relevant basic research. The journal, published exclusively in English, will provide an international discussion forum for the controlled results of clinical surgery. The majority of published contributions will be original articles reporting on clinical data from general and visceral surgery, while endocrine surgery will also be covered. Papers on basic surgical principles from the fields of traumatology, vascular and thoracic surgery are also welcome. Evidence-based medicine is an important criterion for the acceptance of papers.
×
引用
GB/T 7714-2015
复制
MLA
复制
APA
复制
导出至
BibTeX EndNote RefMan NoteFirst NoteExpress
×
提示
您的信息不完整,为了账户安全,请先补充。
现在去补充
×
提示
您因"违规操作"
具体请查看互助需知
我知道了
×
提示
确定
请完成安全验证×
copy
已复制链接
快去分享给好友吧!
我知道了
右上角分享
点击右上角分享
0
联系我们:info@booksci.cn Book学术提供免费学术资源搜索服务,方便国内外学者检索中英文文献。致力于提供最便捷和优质的服务体验。 Copyright © 2023 布克学术 All rights reserved.
京ICP备2023020795号-1
ghs 京公网安备 11010802042870号
Book学术文献互助
Book学术文献互助群
群 号:604180095
Book学术官方微信