案例报告:《21世纪治愈法案》实施后,卫生系统利用临床决策支持促进病历共享的经验。

IF 3.4 Q2 HEALTH CARE SCIENCES & SERVICES
JAMIA Open Pub Date : 2025-06-12 eCollection Date: 2025-06-01 DOI:10.1093/jamiaopen/ooaf051
Mark Iscoe, Arjun K Venkatesh, Emily M Powers, Nitu Kashyap, Allen L Hsiao, Hun Millard, Rohit B Sangal
{"title":"案例报告:《21世纪治愈法案》实施后,卫生系统利用临床决策支持促进病历共享的经验。","authors":"Mark Iscoe, Arjun K Venkatesh, Emily M Powers, Nitu Kashyap, Allen L Hsiao, Hun Millard, Rohit B Sangal","doi":"10.1093/jamiaopen/ooaf051","DOIUrl":null,"url":null,"abstract":"<p><strong>Objective: </strong>We used clinical decision support (CDS) to promote compliance with the 21st Century Cures Act's mandate that, with few exceptions, patients be granted timely access to their clinical notes.</p><p><strong>Materials and methods: </strong>We conducted an observational analysis of note sharing rates in a large regional health system from February 2, 2021 to October 3, 2023. Throughout the study period, notes were shared with patients by default with the option not to grant note access; starting week 10, clinicians not sharing notes were presented with \"hard-stop\" CDS requiring selection of an allowable exception reason. Trends were examined with forward step-segmented linear regression.</p><p><strong>Results: </strong>0.7% of all notes were unshared; rates of unshared notes were highest in pediatrics (4.9%) and psychiatry (2.2%). Rates dropped substantially following hard-stop CDS introduction (downward step of 0.96%; 95% CI -1.17 to -0.024). Despite high portal access (72.6%), few notes were viewed by patients/proxies (17.0%).</p><p><strong>Discussion: </strong>We found very low overall rates of unshared notes; the significant drop in the rates of unshared notes following the introduction of hard-stop CDS is consistent with prior research showing that hard-stop CDS can be an effective tool. The higher rates of unshared notes in pediatrics and psychiatry likely reflect considerations around sensitive information that are inherent to these fields.</p><p><strong>Conclusions: </strong>CDS effectively promoted note sharing, but patient engagement remained low.</p>","PeriodicalId":36278,"journal":{"name":"JAMIA Open","volume":"8 3","pages":"ooaf051"},"PeriodicalIF":3.4000,"publicationDate":"2025-06-12","publicationTypes":"Journal Article","fieldsOfStudy":null,"isOpenAccess":false,"openAccessPdf":"https://www.ncbi.nlm.nih.gov/pmc/articles/PMC12161449/pdf/","citationCount":"0","resultStr":"{\"title\":\"Case Report: A health system's experience using clinical decision support to promote note sharing after the 21st Century Cures Act.\",\"authors\":\"Mark Iscoe, Arjun K Venkatesh, Emily M Powers, Nitu Kashyap, Allen L Hsiao, Hun Millard, Rohit B Sangal\",\"doi\":\"10.1093/jamiaopen/ooaf051\",\"DOIUrl\":null,\"url\":null,\"abstract\":\"<p><strong>Objective: </strong>We used clinical decision support (CDS) to promote compliance with the 21st Century Cures Act's mandate that, with few exceptions, patients be granted timely access to their clinical notes.</p><p><strong>Materials and methods: </strong>We conducted an observational analysis of note sharing rates in a large regional health system from February 2, 2021 to October 3, 2023. Throughout the study period, notes were shared with patients by default with the option not to grant note access; starting week 10, clinicians not sharing notes were presented with \\\"hard-stop\\\" CDS requiring selection of an allowable exception reason. Trends were examined with forward step-segmented linear regression.</p><p><strong>Results: </strong>0.7% of all notes were unshared; rates of unshared notes were highest in pediatrics (4.9%) and psychiatry (2.2%). Rates dropped substantially following hard-stop CDS introduction (downward step of 0.96%; 95% CI -1.17 to -0.024). Despite high portal access (72.6%), few notes were viewed by patients/proxies (17.0%).</p><p><strong>Discussion: </strong>We found very low overall rates of unshared notes; the significant drop in the rates of unshared notes following the introduction of hard-stop CDS is consistent with prior research showing that hard-stop CDS can be an effective tool. The higher rates of unshared notes in pediatrics and psychiatry likely reflect considerations around sensitive information that are inherent to these fields.</p><p><strong>Conclusions: </strong>CDS effectively promoted note sharing, but patient engagement remained low.</p>\",\"PeriodicalId\":36278,\"journal\":{\"name\":\"JAMIA Open\",\"volume\":\"8 3\",\"pages\":\"ooaf051\"},\"PeriodicalIF\":3.4000,\"publicationDate\":\"2025-06-12\",\"publicationTypes\":\"Journal Article\",\"fieldsOfStudy\":null,\"isOpenAccess\":false,\"openAccessPdf\":\"https://www.ncbi.nlm.nih.gov/pmc/articles/PMC12161449/pdf/\",\"citationCount\":\"0\",\"resultStr\":null,\"platform\":\"Semanticscholar\",\"paperid\":null,\"PeriodicalName\":\"JAMIA Open\",\"FirstCategoryId\":\"1085\",\"ListUrlMain\":\"https://doi.org/10.1093/jamiaopen/ooaf051\",\"RegionNum\":0,\"RegionCategory\":null,\"ArticlePicture\":[],\"TitleCN\":null,\"AbstractTextCN\":null,\"PMCID\":null,\"EPubDate\":\"2025/6/1 0:00:00\",\"PubModel\":\"eCollection\",\"JCR\":\"Q2\",\"JCRName\":\"HEALTH CARE SCIENCES & SERVICES\",\"Score\":null,\"Total\":0}","platform":"Semanticscholar","paperid":null,"PeriodicalName":"JAMIA Open","FirstCategoryId":"1085","ListUrlMain":"https://doi.org/10.1093/jamiaopen/ooaf051","RegionNum":0,"RegionCategory":null,"ArticlePicture":[],"TitleCN":null,"AbstractTextCN":null,"PMCID":null,"EPubDate":"2025/6/1 0:00:00","PubModel":"eCollection","JCR":"Q2","JCRName":"HEALTH CARE SCIENCES & SERVICES","Score":null,"Total":0}
引用次数: 0

摘要

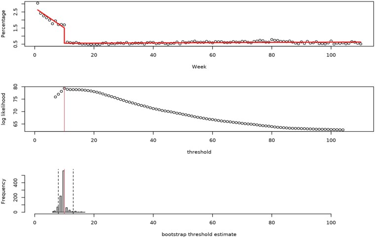
目的:我们使用临床决策支持(CDS)来促进遵守《21世纪治愈法案》(21st Century Cures Act)的规定,即除少数例外情况外,患者应及时获得其临床记录。材料和方法:我们对2021年2月2日至2023年10月3日某大型区域卫生系统的病历共享率进行了观察性分析。在整个研究期间,笔记默认与患者共享,并可选择不授予笔记访问权限;从第10周开始,不分享记录的临床医生被出示“硬停止”cd,要求选择一个允许的例外原因。采用前向分段线性回归检验趋势。结果:0.7%的笔记是未共享的;未共享病历的比例在儿科(4.9%)和精神病学(2.2%)中最高。硬停止CDS引入后,利率大幅下降(下降幅度为0.96%;95% CI -1.17至-0.024)。尽管门户访问率很高(72.6%),但患者/代理人查看的记录很少(17.0%)。讨论:我们发现未共享笔记的总体比例非常低;引入硬停CDS后,未共享票据比率的显著下降与先前的研究一致,表明硬停CDS可以是一种有效的工具。儿科和精神病学中不共享笔记的比例较高,可能反映了对这些领域固有的敏感信息的考虑。结论:CDS有效地促进了病历共享,但患者参与度仍然很低。
本文章由计算机程序翻译,如有差异,请以英文原文为准。

Case Report: A health system's experience using clinical decision support to promote note sharing after the 21st Century Cures Act.

Case Report: A health system's experience using clinical decision support to promote note sharing after the 21st Century Cures Act.

Case Report: A health system's experience using clinical decision support to promote note sharing after the 21st Century Cures Act.

Case Report: A health system's experience using clinical decision support to promote note sharing after the 21st Century Cures Act.

Objective: We used clinical decision support (CDS) to promote compliance with the 21st Century Cures Act's mandate that, with few exceptions, patients be granted timely access to their clinical notes.

Materials and methods: We conducted an observational analysis of note sharing rates in a large regional health system from February 2, 2021 to October 3, 2023. Throughout the study period, notes were shared with patients by default with the option not to grant note access; starting week 10, clinicians not sharing notes were presented with "hard-stop" CDS requiring selection of an allowable exception reason. Trends were examined with forward step-segmented linear regression.

Results: 0.7% of all notes were unshared; rates of unshared notes were highest in pediatrics (4.9%) and psychiatry (2.2%). Rates dropped substantially following hard-stop CDS introduction (downward step of 0.96%; 95% CI -1.17 to -0.024). Despite high portal access (72.6%), few notes were viewed by patients/proxies (17.0%).

Discussion: We found very low overall rates of unshared notes; the significant drop in the rates of unshared notes following the introduction of hard-stop CDS is consistent with prior research showing that hard-stop CDS can be an effective tool. The higher rates of unshared notes in pediatrics and psychiatry likely reflect considerations around sensitive information that are inherent to these fields.

Conclusions: CDS effectively promoted note sharing, but patient engagement remained low.

求助全文
通过发布文献求助,成功后即可免费获取论文全文。 去求助
来源期刊
JAMIA Open
JAMIA Open Medicine-Health Informatics
CiteScore
4.10
自引率
4.80%
发文量
102
审稿时长
16 weeks
×
引用
GB/T 7714-2015
复制
MLA
复制
APA
复制
导出至
BibTeX EndNote RefMan NoteFirst NoteExpress
×
提示
您的信息不完整,为了账户安全,请先补充。
现在去补充
×
提示
您因"违规操作"
具体请查看互助需知
我知道了
×
提示
确定
请完成安全验证×
copy
已复制链接
快去分享给好友吧!
我知道了
右上角分享
点击右上角分享
0
联系我们:info@booksci.cn Book学术提供免费学术资源搜索服务,方便国内外学者检索中英文文献。致力于提供最便捷和优质的服务体验。 Copyright © 2023 布克学术 All rights reserved.
京ICP备2023020795号-1
ghs 京公网安备 11010802042870号
Book学术文献互助
Book学术文献互助群
群 号:604180095
Book学术官方微信