阿西米尼治疗慢性髓系白血病患者作为二线或二线以上治疗的有效性和安全性:一项系统回顾和荟萃分析。

IF 3.1 3区 医学 Q2 HEMATOLOGY
Therapeutic Advances in Hematology Pub Date : 2025-06-10 eCollection Date: 2025-01-01 DOI:10.1177/20406207251342203
Zixin Fan, Jiayi Xie, Pinying Su, Jingye Tai, Weiyi Feng, Rui Xu, Yun Ouyang
{"title":"阿西米尼治疗慢性髓系白血病患者作为二线或二线以上治疗的有效性和安全性:一项系统回顾和荟萃分析。","authors":"Zixin Fan, Jiayi Xie, Pinying Su, Jingye Tai, Weiyi Feng, Rui Xu, Yun Ouyang","doi":"10.1177/20406207251342203","DOIUrl":null,"url":null,"abstract":"<p><strong>Background: </strong>Patients with chronic myeloid leukemia (CML) are currently experiencing intolerance or lack of efficacy with previous tyrosine kinase inhibitors (TKIs) and benefit from asciminib as a novel TKI.</p><p><strong>Objectives: </strong>The purpose of this meta-analysis was to evaluate the efficacy and safety of asciminib as a second-line or beyond second-line treatment for patients with CML.</p><p><strong>Design: </strong>A systematic review and meta-analysis.</p><p><strong>Data sources and methods: </strong>We searched four databases (PubMed, Cochrane, Web of Science, and EMBASE) for relevant literature from the inception of the databases to February 4, 2024. Two authors independently performed data extraction to assess the efficacy of asciminib using metrics such as the rate of major molecular response (MMR) and the safety of asciminib using the rate of adverse event (AE). We also performed a subgroup analysis based on the reason for starting asciminib. Data were analyzed using either a fixed-effects model or a random-effects model to calculate the rate of MMR and the rate of AEs. We also assessed the quality of the studies by selecting appropriate tools according to the type of included studies.</p><p><strong>Results: </strong>We included 8 studies involving a total of 691 patients. The overall MMR rate for patients with CML treated with asciminib was 46.9% (95% CI: 39.8-54.0, <i>p</i> < 0.05). AEs were reported in five studies, with a combined rate of 79.2% (95% CI: 46.6-98.7, <i>p</i> < 0.05) for all grades and 39.5% (95% CI: 17.6-61.3, <i>p</i> < 0.05) for grade ⩾3 AEs. Thrombocytopenia was the most common AE, with a combined rate of 22.5% (95% CI: 18.8-26.3, <i>p</i> < 0.05) for all grades.</p><p><strong>Conclusion: </strong>Asciminib is effective in the treatment of patients with CML, and the most common AE during treatment is thrombocytopenia.</p>","PeriodicalId":23048,"journal":{"name":"Therapeutic Advances in Hematology","volume":"16 ","pages":"20406207251342203"},"PeriodicalIF":3.1000,"publicationDate":"2025-06-10","publicationTypes":"Journal Article","fieldsOfStudy":null,"isOpenAccess":false,"openAccessPdf":"https://www.ncbi.nlm.nih.gov/pmc/articles/PMC12159473/pdf/","citationCount":"0","resultStr":"{\"title\":\"The efficacy and safety of asciminib treatment in patients with chronic myeloid leukemia as a second-line or beyond second-line treatment: a systematic review and meta-analysis.\",\"authors\":\"Zixin Fan, Jiayi Xie, Pinying Su, Jingye Tai, Weiyi Feng, Rui Xu, Yun Ouyang\",\"doi\":\"10.1177/20406207251342203\",\"DOIUrl\":null,\"url\":null,\"abstract\":\"<p><strong>Background: </strong>Patients with chronic myeloid leukemia (CML) are currently experiencing intolerance or lack of efficacy with previous tyrosine kinase inhibitors (TKIs) and benefit from asciminib as a novel TKI.</p><p><strong>Objectives: </strong>The purpose of this meta-analysis was to evaluate the efficacy and safety of asciminib as a second-line or beyond second-line treatment for patients with CML.</p><p><strong>Design: </strong>A systematic review and meta-analysis.</p><p><strong>Data sources and methods: </strong>We searched four databases (PubMed, Cochrane, Web of Science, and EMBASE) for relevant literature from the inception of the databases to February 4, 2024. Two authors independently performed data extraction to assess the efficacy of asciminib using metrics such as the rate of major molecular response (MMR) and the safety of asciminib using the rate of adverse event (AE). We also performed a subgroup analysis based on the reason for starting asciminib. Data were analyzed using either a fixed-effects model or a random-effects model to calculate the rate of MMR and the rate of AEs. We also assessed the quality of the studies by selecting appropriate tools according to the type of included studies.</p><p><strong>Results: </strong>We included 8 studies involving a total of 691 patients. The overall MMR rate for patients with CML treated with asciminib was 46.9% (95% CI: 39.8-54.0, <i>p</i> < 0.05). AEs were reported in five studies, with a combined rate of 79.2% (95% CI: 46.6-98.7, <i>p</i> < 0.05) for all grades and 39.5% (95% CI: 17.6-61.3, <i>p</i> < 0.05) for grade ⩾3 AEs. Thrombocytopenia was the most common AE, with a combined rate of 22.5% (95% CI: 18.8-26.3, <i>p</i> < 0.05) for all grades.</p><p><strong>Conclusion: </strong>Asciminib is effective in the treatment of patients with CML, and the most common AE during treatment is thrombocytopenia.</p>\",\"PeriodicalId\":23048,\"journal\":{\"name\":\"Therapeutic Advances in Hematology\",\"volume\":\"16 \",\"pages\":\"20406207251342203\"},\"PeriodicalIF\":3.1000,\"publicationDate\":\"2025-06-10\",\"publicationTypes\":\"Journal Article\",\"fieldsOfStudy\":null,\"isOpenAccess\":false,\"openAccessPdf\":\"https://www.ncbi.nlm.nih.gov/pmc/articles/PMC12159473/pdf/\",\"citationCount\":\"0\",\"resultStr\":null,\"platform\":\"Semanticscholar\",\"paperid\":null,\"PeriodicalName\":\"Therapeutic Advances in Hematology\",\"FirstCategoryId\":\"3\",\"ListUrlMain\":\"https://doi.org/10.1177/20406207251342203\",\"RegionNum\":3,\"RegionCategory\":\"医学\",\"ArticlePicture\":[],\"TitleCN\":null,\"AbstractTextCN\":null,\"PMCID\":null,\"EPubDate\":\"2025/1/1 0:00:00\",\"PubModel\":\"eCollection\",\"JCR\":\"Q2\",\"JCRName\":\"HEMATOLOGY\",\"Score\":null,\"Total\":0}","platform":"Semanticscholar","paperid":null,"PeriodicalName":"Therapeutic Advances in Hematology","FirstCategoryId":"3","ListUrlMain":"https://doi.org/10.1177/20406207251342203","RegionNum":3,"RegionCategory":"医学","ArticlePicture":[],"TitleCN":null,"AbstractTextCN":null,"PMCID":null,"EPubDate":"2025/1/1 0:00:00","PubModel":"eCollection","JCR":"Q2","JCRName":"HEMATOLOGY","Score":null,"Total":0}
引用次数: 0

摘要

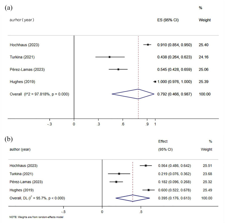
背景:慢性髓性白血病(CML)患者目前正在经历既往酪氨酸激酶抑制剂(TKIs)的不耐受或缺乏疗效,并从阿西米尼作为一种新型TKI获益。目的:本荟萃分析的目的是评估阿西米尼作为CML患者的二线或超二线治疗的有效性和安全性。设计:系统回顾和荟萃分析。数据来源和方法:我们检索了PubMed、Cochrane、Web of Science和EMBASE四个数据库,检索了从数据库建立到2024年2月4日的相关文献。两位作者独立进行了数据提取,使用主要分子反应率(MMR)和不良事件发生率(AE)等指标评估阿西米尼的疗效。我们还根据开始使用阿西米尼的原因进行了亚组分析。采用固定效应模型或随机效应模型对数据进行分析,计算MMR率和ae率。我们还根据纳入研究的类型选择合适的工具来评估研究的质量。结果:我们纳入了8项研究,共涉及691例患者。阿西米尼治疗CML患者的总MMR率为46.9% (95% CI: 39.8-54.0, p < 0.05)。在五项研究中报告了ae,所有等级的ae合并率为79.2% (95% CI: 46.6-98.7, p < 0.05),对于小于或等于3级的ae,合并率为39.5% (95% CI: 17.6-61.3, p < 0.05)。血小板减少症是最常见的AE,所有级别的AE发生率为22.5% (95% CI: 18.8-26.3, p < 0.05)。结论:阿西米尼治疗CML患者有效,治疗过程中最常见的AE是血小板减少症。
本文章由计算机程序翻译,如有差异,请以英文原文为准。

The efficacy and safety of asciminib treatment in patients with chronic myeloid leukemia as a second-line or beyond second-line treatment: a systematic review and meta-analysis.

The efficacy and safety of asciminib treatment in patients with chronic myeloid leukemia as a second-line or beyond second-line treatment: a systematic review and meta-analysis.

The efficacy and safety of asciminib treatment in patients with chronic myeloid leukemia as a second-line or beyond second-line treatment: a systematic review and meta-analysis.

The efficacy and safety of asciminib treatment in patients with chronic myeloid leukemia as a second-line or beyond second-line treatment: a systematic review and meta-analysis.

Background: Patients with chronic myeloid leukemia (CML) are currently experiencing intolerance or lack of efficacy with previous tyrosine kinase inhibitors (TKIs) and benefit from asciminib as a novel TKI.

Objectives: The purpose of this meta-analysis was to evaluate the efficacy and safety of asciminib as a second-line or beyond second-line treatment for patients with CML.

Design: A systematic review and meta-analysis.

Data sources and methods: We searched four databases (PubMed, Cochrane, Web of Science, and EMBASE) for relevant literature from the inception of the databases to February 4, 2024. Two authors independently performed data extraction to assess the efficacy of asciminib using metrics such as the rate of major molecular response (MMR) and the safety of asciminib using the rate of adverse event (AE). We also performed a subgroup analysis based on the reason for starting asciminib. Data were analyzed using either a fixed-effects model or a random-effects model to calculate the rate of MMR and the rate of AEs. We also assessed the quality of the studies by selecting appropriate tools according to the type of included studies.

Results: We included 8 studies involving a total of 691 patients. The overall MMR rate for patients with CML treated with asciminib was 46.9% (95% CI: 39.8-54.0, p < 0.05). AEs were reported in five studies, with a combined rate of 79.2% (95% CI: 46.6-98.7, p < 0.05) for all grades and 39.5% (95% CI: 17.6-61.3, p < 0.05) for grade ⩾3 AEs. Thrombocytopenia was the most common AE, with a combined rate of 22.5% (95% CI: 18.8-26.3, p < 0.05) for all grades.

Conclusion: Asciminib is effective in the treatment of patients with CML, and the most common AE during treatment is thrombocytopenia.

求助全文
通过发布文献求助,成功后即可免费获取论文全文。 去求助
来源期刊
CiteScore
4.30
自引率
0.00%
发文量
54
审稿时长
7 weeks
期刊介绍: Therapeutic Advances in Hematology delivers the highest quality peer-reviewed articles, reviews, and scholarly comment on pioneering efforts and innovative studies across all areas of hematology. The journal has a strong clinical and pharmacological focus and is aimed at clinicians and researchers in hematology, providing a forum in print and online for publishing the highest quality articles in this area.
×
引用
GB/T 7714-2015
复制
MLA
复制
APA
复制
导出至
BibTeX EndNote RefMan NoteFirst NoteExpress
×
提示
您的信息不完整,为了账户安全,请先补充。
现在去补充
×
提示
您因"违规操作"
具体请查看互助需知
我知道了
×
提示
确定
请完成安全验证×
copy
已复制链接
快去分享给好友吧!
我知道了
右上角分享
点击右上角分享
0
联系我们:info@booksci.cn Book学术提供免费学术资源搜索服务,方便国内外学者检索中英文文献。致力于提供最便捷和优质的服务体验。 Copyright © 2023 布克学术 All rights reserved.
京ICP备2023020795号-1
ghs 京公网安备 11010802042870号
Book学术文献互助
Book学术文献互助群
群 号:604180095
Book学术官方微信