基于绩效的激励支付制度:纵向绩效和5年以上安全网提供者的不均衡奖励。

IF 2.7
Health affairs scholar Pub Date : 2025-05-21 eCollection Date: 2025-06-01 DOI:10.1093/haschl/qxaf105
Meng-Yun Lin, Zhang Zhang, Kathleen Carey, Risha Gidwani, Amresh D Hanchate
{"title":"基于绩效的激励支付制度:纵向绩效和5年以上安全网提供者的不均衡奖励。","authors":"Meng-Yun Lin, Zhang Zhang, Kathleen Carey, Risha Gidwani, Amresh D Hanchate","doi":"10.1093/haschl/qxaf105","DOIUrl":null,"url":null,"abstract":"<p><strong>Introduction: </strong>Medicare Merit-based Incentive Payment System (MIPS), established by Centers for Medicare & Medicaid Services to transition Medicare reimbursement toward value-based care, has faced criticism for its administrative complexity and potential inequities affecting safety-net providers (SNPs).</p><p><strong>Methods: </strong>This study analyzed 5-year data (2018-2022) to evaluate the performance and financial outcomes of clinicians consistently participating in MIPS, focusing on disparities between SNPs and non-SNPs.</p><p><strong>Results: </strong>We found that safety-net specialists were 31% more likely than non-safety-net specialists to consistently receive positive payment adjustments and earned modestly higher average adjustment rates (0.35% points). However, despite this superior performance, safety-net specialists did not achieve greater cumulative financial rewards due to MIPS's percentage-based adjustment structure, which disadvantages clinicians with smaller billing volumes. Our analysis also showed that MIPS financial incentives were generally modest-ranging from $300 to $4000 over 5 years-far below the estimated $12 000 in annual administrative compliance costs per physician reported in prior research.</p><p><strong>Conclusion: </strong>To address these disparities and inefficiencies, policymakers should consider alternative models such as the American Medical Association's proposed Data-Driven Performance Payment System, which reduces administrative burden by simplifying the reporting process and ensures fairer financial rewards by uncoupling incentive payments from billing volume-thereby improving equity for safety-net clinicians.</p>","PeriodicalId":94025,"journal":{"name":"Health affairs scholar","volume":"3 6","pages":"qxaf105"},"PeriodicalIF":2.7000,"publicationDate":"2025-05-21","publicationTypes":"Journal Article","fieldsOfStudy":null,"isOpenAccess":false,"openAccessPdf":"https://www.ncbi.nlm.nih.gov/pmc/articles/PMC12152720/pdf/","citationCount":"0","resultStr":"{\"title\":\"Merit-Based Incentive Payment System: longitudinal performance and uneven rewards for safety-net providers over 5 years.\",\"authors\":\"Meng-Yun Lin, Zhang Zhang, Kathleen Carey, Risha Gidwani, Amresh D Hanchate\",\"doi\":\"10.1093/haschl/qxaf105\",\"DOIUrl\":null,\"url\":null,\"abstract\":\"<p><strong>Introduction: </strong>Medicare Merit-based Incentive Payment System (MIPS), established by Centers for Medicare & Medicaid Services to transition Medicare reimbursement toward value-based care, has faced criticism for its administrative complexity and potential inequities affecting safety-net providers (SNPs).</p><p><strong>Methods: </strong>This study analyzed 5-year data (2018-2022) to evaluate the performance and financial outcomes of clinicians consistently participating in MIPS, focusing on disparities between SNPs and non-SNPs.</p><p><strong>Results: </strong>We found that safety-net specialists were 31% more likely than non-safety-net specialists to consistently receive positive payment adjustments and earned modestly higher average adjustment rates (0.35% points). However, despite this superior performance, safety-net specialists did not achieve greater cumulative financial rewards due to MIPS's percentage-based adjustment structure, which disadvantages clinicians with smaller billing volumes. Our analysis also showed that MIPS financial incentives were generally modest-ranging from $300 to $4000 over 5 years-far below the estimated $12 000 in annual administrative compliance costs per physician reported in prior research.</p><p><strong>Conclusion: </strong>To address these disparities and inefficiencies, policymakers should consider alternative models such as the American Medical Association's proposed Data-Driven Performance Payment System, which reduces administrative burden by simplifying the reporting process and ensures fairer financial rewards by uncoupling incentive payments from billing volume-thereby improving equity for safety-net clinicians.</p>\",\"PeriodicalId\":94025,\"journal\":{\"name\":\"Health affairs scholar\",\"volume\":\"3 6\",\"pages\":\"qxaf105\"},\"PeriodicalIF\":2.7000,\"publicationDate\":\"2025-05-21\",\"publicationTypes\":\"Journal Article\",\"fieldsOfStudy\":null,\"isOpenAccess\":false,\"openAccessPdf\":\"https://www.ncbi.nlm.nih.gov/pmc/articles/PMC12152720/pdf/\",\"citationCount\":\"0\",\"resultStr\":null,\"platform\":\"Semanticscholar\",\"paperid\":null,\"PeriodicalName\":\"Health affairs scholar\",\"FirstCategoryId\":\"1085\",\"ListUrlMain\":\"https://doi.org/10.1093/haschl/qxaf105\",\"RegionNum\":0,\"RegionCategory\":null,\"ArticlePicture\":[],\"TitleCN\":null,\"AbstractTextCN\":null,\"PMCID\":null,\"EPubDate\":\"2025/6/1 0:00:00\",\"PubModel\":\"eCollection\",\"JCR\":\"\",\"JCRName\":\"\",\"Score\":null,\"Total\":0}","platform":"Semanticscholar","paperid":null,"PeriodicalName":"Health affairs scholar","FirstCategoryId":"1085","ListUrlMain":"https://doi.org/10.1093/haschl/qxaf105","RegionNum":0,"RegionCategory":null,"ArticlePicture":[],"TitleCN":null,"AbstractTextCN":null,"PMCID":null,"EPubDate":"2025/6/1 0:00:00","PubModel":"eCollection","JCR":"","JCRName":"","Score":null,"Total":0}
引用次数: 0

摘要

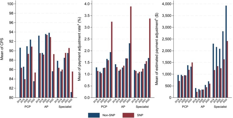
简介:医疗保险绩效激励支付系统(MIPS)是由医疗保险和医疗补助服务中心建立的,旨在将医疗保险报销转变为基于价值的医疗,因其管理复杂性和影响安全网提供者(snp)的潜在不平等而受到批评。方法:本研究分析了5年(2018-2022年)的数据,以评估持续参与MIPS的临床医生的绩效和财务结果,重点关注snp和非snp之间的差异。结果:我们发现,与非安全网专家相比,安全网专家持续获得积极支付调整的可能性要高31%,平均调整率也略高(0.35%)。然而,尽管表现优异,由于MIPS基于百分比的调整结构,安全网专家并没有获得更大的累积经济回报,这对账单量较小的临床医生不利。我们的分析还表明,MIPS的财务激励通常是适度的——在5年内从300美元到4000美元不等——远低于之前研究报告中估计的每位医生每年的行政合规成本1.2万美元。结论:为了解决这些差异和低效率问题,政策制定者应该考虑替代模式,如美国医学协会提出的数据驱动绩效支付系统,该系统通过简化报告流程来减轻行政负担,并通过将激励支付与账单量脱钩来确保更公平的财务奖励,从而提高安全网临床医生的公平性。
本文章由计算机程序翻译,如有差异,请以英文原文为准。

Merit-Based Incentive Payment System: longitudinal performance and uneven rewards for safety-net providers over 5 years.

Merit-Based Incentive Payment System: longitudinal performance and uneven rewards for safety-net providers over 5 years.

Merit-Based Incentive Payment System: longitudinal performance and uneven rewards for safety-net providers over 5 years.

Merit-Based Incentive Payment System: longitudinal performance and uneven rewards for safety-net providers over 5 years.

Introduction: Medicare Merit-based Incentive Payment System (MIPS), established by Centers for Medicare & Medicaid Services to transition Medicare reimbursement toward value-based care, has faced criticism for its administrative complexity and potential inequities affecting safety-net providers (SNPs).

Methods: This study analyzed 5-year data (2018-2022) to evaluate the performance and financial outcomes of clinicians consistently participating in MIPS, focusing on disparities between SNPs and non-SNPs.

Results: We found that safety-net specialists were 31% more likely than non-safety-net specialists to consistently receive positive payment adjustments and earned modestly higher average adjustment rates (0.35% points). However, despite this superior performance, safety-net specialists did not achieve greater cumulative financial rewards due to MIPS's percentage-based adjustment structure, which disadvantages clinicians with smaller billing volumes. Our analysis also showed that MIPS financial incentives were generally modest-ranging from $300 to $4000 over 5 years-far below the estimated $12 000 in annual administrative compliance costs per physician reported in prior research.

Conclusion: To address these disparities and inefficiencies, policymakers should consider alternative models such as the American Medical Association's proposed Data-Driven Performance Payment System, which reduces administrative burden by simplifying the reporting process and ensures fairer financial rewards by uncoupling incentive payments from billing volume-thereby improving equity for safety-net clinicians.

求助全文
通过发布文献求助,成功后即可免费获取论文全文。 去求助
来源期刊
自引率
0.00%
发文量
0
×
引用
GB/T 7714-2015
复制
MLA
复制
APA
复制
导出至
BibTeX EndNote RefMan NoteFirst NoteExpress
×
提示
您的信息不完整,为了账户安全,请先补充。
现在去补充
×
提示
您因"违规操作"
具体请查看互助需知
我知道了
×
提示
确定
请完成安全验证×
copy
已复制链接
快去分享给好友吧!
我知道了
右上角分享
点击右上角分享
0
联系我们:info@booksci.cn Book学术提供免费学术资源搜索服务,方便国内外学者检索中英文文献。致力于提供最便捷和优质的服务体验。 Copyright © 2023 布克学术 All rights reserved.
京ICP备2023020795号-1
ghs 京公网安备 11010802042870号
Book学术文献互助
Book学术文献互助群
群 号:604180095
Book学术官方微信