在非洲高发病率、资源有限的环境中,肝细胞癌诊断的实用方法。

IF 3 Q2 ONCOLOGY
JCO Global Oncology Pub Date : 2025-06-01 Epub Date: 2025-06-11 DOI:10.1200/GO-24-00592
Gregory D Kirk, Sara Nsibirwa, Jim K Aizire, Redeat L Assefa, Antonio Bandala-Jacques, Jackson Orem, Tongai Maponga, Moussa Seydi, Gilles Wandeler, Amir Mohareb, David L Thomas, Fred Okuku, Emmanuelle Ochola, Ponsiano Ocama
{"title":"在非洲高发病率、资源有限的环境中,肝细胞癌诊断的实用方法。","authors":"Gregory D Kirk, Sara Nsibirwa, Jim K Aizire, Redeat L Assefa, Antonio Bandala-Jacques, Jackson Orem, Tongai Maponga, Moussa Seydi, Gilles Wandeler, Amir Mohareb, David L Thomas, Fred Okuku, Emmanuelle Ochola, Ponsiano Ocama","doi":"10.1200/GO-24-00592","DOIUrl":null,"url":null,"abstract":"<p><strong>Purpose: </strong>Hepatocellular carcinoma (HCC) is common and deadly in sub-Saharan Africa, where advanced imaging techniques, such as computerized tomography and magnetic resonance imaging, are scarce. The purpose of this study was to develop a pragmatic HCC diagnostic strategy for such settings.</p><p><strong>Methods: </strong>We evaluated standardized protocol-collected data on clinical, ultrasonographic, biochemical, and pathological criteria in a multisite study of 649 suspected HCC cases in Uganda. Participants underwent standardized interviews, clinical assessments, and ultrasound examinations by trained staff with alpha-fetoprotein (AFP) testing at a central laboratory, and pathology was obtained for selected participants. Concordance analysis and percentage-confirmed yield using different HCC case definitions were performed, with survival follow-up as a validation measure.</p><p><strong>Results: </strong>The median age was 45 years, 68% were male, and 45% had chronic hepatitis B infection. Ultrasonographic, biochemical (AFP), and pathological definitions confirmed 91%, 57%, and 17% of clinically defined HCC cases, respectively. The median survival after diagnosis was 46 days. An integrated HCC case definition that combined clinical criteria with one confirmatory test increased the percentage-confirmed yield by 3.7% (ultrasonographic), 37.7% (biochemical), and 77.7% (pathologic) over the clinical definition alone. Yield from AFP or pathology beyond ultrasound was minimal. Survival did not differ appreciably by HCC case definition. This integrated HCC case definition maintained diagnostic rigor while maximizing yield.</p><p><strong>Conclusion: </strong>We propose an integrated HCC case definition as a pragmatic, resource-adaptable approach for clinical diagnosis and research in sub-Saharan Africa. This definition can be readily implemented and can support regional collaborative efforts to develop novel diagnostics and improved treatments to ameliorate the heavy HCC burden.</p>","PeriodicalId":14806,"journal":{"name":"JCO Global Oncology","volume":"11 ","pages":"e2400592"},"PeriodicalIF":3.0000,"publicationDate":"2025-06-01","publicationTypes":"Journal Article","fieldsOfStudy":null,"isOpenAccess":false,"openAccessPdf":"https://www.ncbi.nlm.nih.gov/pmc/articles/PMC12179888/pdf/","citationCount":"0","resultStr":"{\"title\":\"Pragmatic Approach to Hepatocellular Carcinoma Diagnosis in High-Incidence, Resource-Limited Settings in Africa.\",\"authors\":\"Gregory D Kirk, Sara Nsibirwa, Jim K Aizire, Redeat L Assefa, Antonio Bandala-Jacques, Jackson Orem, Tongai Maponga, Moussa Seydi, Gilles Wandeler, Amir Mohareb, David L Thomas, Fred Okuku, Emmanuelle Ochola, Ponsiano Ocama\",\"doi\":\"10.1200/GO-24-00592\",\"DOIUrl\":null,\"url\":null,\"abstract\":\"<p><strong>Purpose: </strong>Hepatocellular carcinoma (HCC) is common and deadly in sub-Saharan Africa, where advanced imaging techniques, such as computerized tomography and magnetic resonance imaging, are scarce. The purpose of this study was to develop a pragmatic HCC diagnostic strategy for such settings.</p><p><strong>Methods: </strong>We evaluated standardized protocol-collected data on clinical, ultrasonographic, biochemical, and pathological criteria in a multisite study of 649 suspected HCC cases in Uganda. Participants underwent standardized interviews, clinical assessments, and ultrasound examinations by trained staff with alpha-fetoprotein (AFP) testing at a central laboratory, and pathology was obtained for selected participants. Concordance analysis and percentage-confirmed yield using different HCC case definitions were performed, with survival follow-up as a validation measure.</p><p><strong>Results: </strong>The median age was 45 years, 68% were male, and 45% had chronic hepatitis B infection. Ultrasonographic, biochemical (AFP), and pathological definitions confirmed 91%, 57%, and 17% of clinically defined HCC cases, respectively. The median survival after diagnosis was 46 days. An integrated HCC case definition that combined clinical criteria with one confirmatory test increased the percentage-confirmed yield by 3.7% (ultrasonographic), 37.7% (biochemical), and 77.7% (pathologic) over the clinical definition alone. Yield from AFP or pathology beyond ultrasound was minimal. Survival did not differ appreciably by HCC case definition. This integrated HCC case definition maintained diagnostic rigor while maximizing yield.</p><p><strong>Conclusion: </strong>We propose an integrated HCC case definition as a pragmatic, resource-adaptable approach for clinical diagnosis and research in sub-Saharan Africa. This definition can be readily implemented and can support regional collaborative efforts to develop novel diagnostics and improved treatments to ameliorate the heavy HCC burden.</p>\",\"PeriodicalId\":14806,\"journal\":{\"name\":\"JCO Global Oncology\",\"volume\":\"11 \",\"pages\":\"e2400592\"},\"PeriodicalIF\":3.0000,\"publicationDate\":\"2025-06-01\",\"publicationTypes\":\"Journal Article\",\"fieldsOfStudy\":null,\"isOpenAccess\":false,\"openAccessPdf\":\"https://www.ncbi.nlm.nih.gov/pmc/articles/PMC12179888/pdf/\",\"citationCount\":\"0\",\"resultStr\":null,\"platform\":\"Semanticscholar\",\"paperid\":null,\"PeriodicalName\":\"JCO Global Oncology\",\"FirstCategoryId\":\"1085\",\"ListUrlMain\":\"https://doi.org/10.1200/GO-24-00592\",\"RegionNum\":0,\"RegionCategory\":null,\"ArticlePicture\":[],\"TitleCN\":null,\"AbstractTextCN\":null,\"PMCID\":null,\"EPubDate\":\"2025/6/11 0:00:00\",\"PubModel\":\"Epub\",\"JCR\":\"Q2\",\"JCRName\":\"ONCOLOGY\",\"Score\":null,\"Total\":0}","platform":"Semanticscholar","paperid":null,"PeriodicalName":"JCO Global Oncology","FirstCategoryId":"1085","ListUrlMain":"https://doi.org/10.1200/GO-24-00592","RegionNum":0,"RegionCategory":null,"ArticlePicture":[],"TitleCN":null,"AbstractTextCN":null,"PMCID":null,"EPubDate":"2025/6/11 0:00:00","PubModel":"Epub","JCR":"Q2","JCRName":"ONCOLOGY","Score":null,"Total":0}
引用次数: 0

摘要

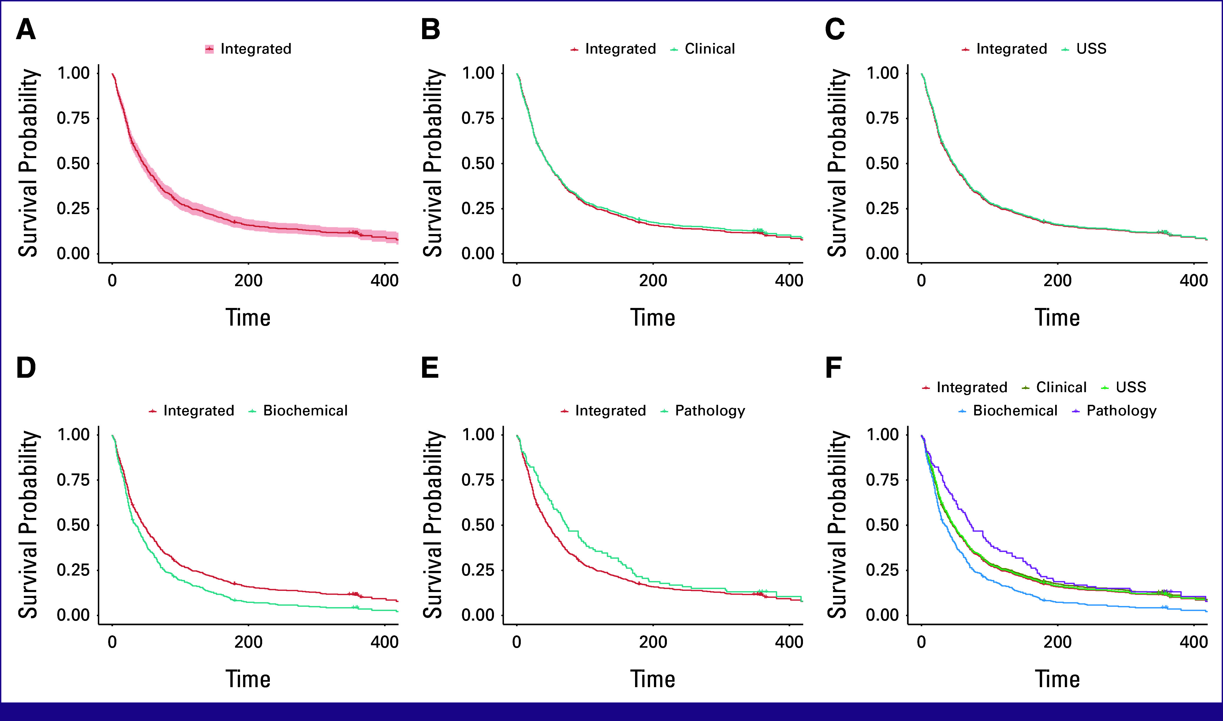
目的:肝细胞癌(HCC)在撒哈拉以南非洲地区是常见和致命的,那里缺乏先进的成像技术,如计算机断层扫描和磁共振成像。本研究的目的是为这种情况制定一种实用的HCC诊断策略。方法:我们对乌干达649例疑似HCC病例的多地点研究中收集的临床、超声、生化和病理标准的标准化方案进行了评估。参与者接受标准化访谈、临床评估和超声检查,由训练有素的工作人员在中心实验室进行甲胎蛋白(AFP)检测,并对选定的参与者进行病理检查。使用不同HCC病例定义进行了一致性分析和百分比确认率,并以生存随访作为验证措施。结果:中位年龄为45岁,68%为男性,45%为慢性乙型肝炎感染。超声、生化(AFP)和病理诊断分别确诊91%、57%和17%的临床HCC病例。诊断后的中位生存期为46天。结合临床标准和一项确认性检查的综合HCC病例定义比单独的临床定义增加3.7%(超声检查)、37.7%(生化检查)和77.7%(病理检查)的确诊率。甲胎蛋白或病理超声检查的结果是最小的。不同HCC病例的生存率无明显差异。这种综合的HCC病例定义保持了诊断的严谨性,同时最大限度地提高了产出率。结论:我们提出了一种综合HCC病例定义,作为撒哈拉以南非洲临床诊断和研究的实用、资源适应性强的方法。这一定义可以很容易地实施,并可以支持区域合作努力,开发新的诊断方法和改进的治疗方法,以减轻沉重的HCC负担。
本文章由计算机程序翻译,如有差异,请以英文原文为准。

Pragmatic Approach to Hepatocellular Carcinoma Diagnosis in High-Incidence, Resource-Limited Settings in Africa.

Pragmatic Approach to Hepatocellular Carcinoma Diagnosis in High-Incidence, Resource-Limited Settings in Africa.

Pragmatic Approach to Hepatocellular Carcinoma Diagnosis in High-Incidence, Resource-Limited Settings in Africa.

Purpose: Hepatocellular carcinoma (HCC) is common and deadly in sub-Saharan Africa, where advanced imaging techniques, such as computerized tomography and magnetic resonance imaging, are scarce. The purpose of this study was to develop a pragmatic HCC diagnostic strategy for such settings.

Methods: We evaluated standardized protocol-collected data on clinical, ultrasonographic, biochemical, and pathological criteria in a multisite study of 649 suspected HCC cases in Uganda. Participants underwent standardized interviews, clinical assessments, and ultrasound examinations by trained staff with alpha-fetoprotein (AFP) testing at a central laboratory, and pathology was obtained for selected participants. Concordance analysis and percentage-confirmed yield using different HCC case definitions were performed, with survival follow-up as a validation measure.

Results: The median age was 45 years, 68% were male, and 45% had chronic hepatitis B infection. Ultrasonographic, biochemical (AFP), and pathological definitions confirmed 91%, 57%, and 17% of clinically defined HCC cases, respectively. The median survival after diagnosis was 46 days. An integrated HCC case definition that combined clinical criteria with one confirmatory test increased the percentage-confirmed yield by 3.7% (ultrasonographic), 37.7% (biochemical), and 77.7% (pathologic) over the clinical definition alone. Yield from AFP or pathology beyond ultrasound was minimal. Survival did not differ appreciably by HCC case definition. This integrated HCC case definition maintained diagnostic rigor while maximizing yield.

Conclusion: We propose an integrated HCC case definition as a pragmatic, resource-adaptable approach for clinical diagnosis and research in sub-Saharan Africa. This definition can be readily implemented and can support regional collaborative efforts to develop novel diagnostics and improved treatments to ameliorate the heavy HCC burden.

求助全文
通过发布文献求助,成功后即可免费获取论文全文。 去求助
来源期刊
JCO Global Oncology
JCO Global Oncology Medicine-Oncology
CiteScore
6.70
自引率
6.70%
发文量
310
审稿时长
7 weeks
×
引用
GB/T 7714-2015
复制
MLA
复制
APA
复制
导出至
BibTeX EndNote RefMan NoteFirst NoteExpress
×
提示
您的信息不完整,为了账户安全,请先补充。
现在去补充
×
提示
您因"违规操作"
具体请查看互助需知
我知道了
×
提示
确定
请完成安全验证×
copy
已复制链接
快去分享给好友吧!
我知道了
右上角分享
点击右上角分享
0
联系我们:info@booksci.cn Book学术提供免费学术资源搜索服务,方便国内外学者检索中英文文献。致力于提供最便捷和优质的服务体验。 Copyright © 2023 布克学术 All rights reserved.
京ICP备2023020795号-1
ghs 京公网安备 11010802042870号
Book学术文献互助
Book学术文献互助群
群 号:604180095
Book学术官方微信