在基因组确定的lynch综合征队列中,结直肠癌和子宫内膜癌发病率增加。

IF 4.1 Q2 ONCOLOGY
Miranda L G Hallquist, Juliann M Savatt, Kristy Diloreto, Alicia Johns, Amie Decker, Cameron Hayes, Melissa A Kelly, Henry Lester Kirchner, Natasha T Strande, Adam H Buchanan
{"title":"在基因组确定的lynch综合征队列中,结直肠癌和子宫内膜癌发病率增加。","authors":"Miranda L G Hallquist, Juliann M Savatt, Kristy Diloreto, Alicia Johns, Amie Decker, Cameron Hayes, Melissa A Kelly, Henry Lester Kirchner, Natasha T Strande, Adam H Buchanan","doi":"10.1093/jncics/pkaf061","DOIUrl":null,"url":null,"abstract":"<p><strong>Background: </strong>Lynch syndrome (LS) is a hereditary cancer predisposition that increases risk for colorectal, endometrial, and other cancers. Although population-based genomic screening programs identify individuals with LS, clinical presentation in such genomically ascertained populations is unknown.</p><p><strong>Methods: </strong>MyCode is a healthcare system-based biobank that returns clinically actionable genomic screening results to participants, including pathogenic/likely pathogenic (P/LP) variants in LS genes (MLH1, MSH2, MSH6, PMS2). Adult cases (participants with an LS result) and controls (participants without a cancer predisposition variant matched to cases) reported their personal and family cancer histories. Rates of meeting National Comprehensive Cancer Network (NCCN) genetic testing guidelines and rates of colorectal and endometrial cancers in cases, controls, and their family members were calculated and compared.</p><p><strong>Results: </strong>A total of 175 cases (10 MLH1, 7 MSH2, 83 MSH6, and 75 PMS2) and 169 controls were included. Of case pedigrees, 62/175 (35.4%) met NCCN criteria for LS evaluation. Case pedigrees were more likely (P < .001) to meet criteria than control pedigrees (4/169, 8.35%). Case probands had significantly higher rates of colorectal and endometrial cancer than controls (7.7% vs 2.4%, P = .03 colorectal; 11.5% vs 0%, P < .001 endometrial), as did their relatives (3.1% vs 0.9%, P < .001 colorectal; 2.2% vs 0.5%, P < .001 endometrial).</p><p><strong>Conclusions: </strong>NCCN guidelines missed 65% of cases with P/LP LS variants despite families having higher colorectal and endometrial cancer rates compared with controls. Genomic screening can assist in identifying individuals at risk for LS-related cancers, providing an opportunity to tailor risk management for cancer prevention and early detection.</p>","PeriodicalId":14681,"journal":{"name":"JNCI Cancer Spectrum","volume":" ","pages":""},"PeriodicalIF":4.1000,"publicationDate":"2025-07-01","publicationTypes":"Journal Article","fieldsOfStudy":null,"isOpenAccess":false,"openAccessPdf":"https://www.ncbi.nlm.nih.gov/pmc/articles/PMC12288957/pdf/","citationCount":"0","resultStr":"{\"title\":\"Increased colorectal and endometrial cancer rates in a genomically ascertained Lynch syndrome cohort.\",\"authors\":\"Miranda L G Hallquist, Juliann M Savatt, Kristy Diloreto, Alicia Johns, Amie Decker, Cameron Hayes, Melissa A Kelly, Henry Lester Kirchner, Natasha T Strande, Adam H Buchanan\",\"doi\":\"10.1093/jncics/pkaf061\",\"DOIUrl\":null,\"url\":null,\"abstract\":\"<p><strong>Background: </strong>Lynch syndrome (LS) is a hereditary cancer predisposition that increases risk for colorectal, endometrial, and other cancers. Although population-based genomic screening programs identify individuals with LS, clinical presentation in such genomically ascertained populations is unknown.</p><p><strong>Methods: </strong>MyCode is a healthcare system-based biobank that returns clinically actionable genomic screening results to participants, including pathogenic/likely pathogenic (P/LP) variants in LS genes (MLH1, MSH2, MSH6, PMS2). Adult cases (participants with an LS result) and controls (participants without a cancer predisposition variant matched to cases) reported their personal and family cancer histories. Rates of meeting National Comprehensive Cancer Network (NCCN) genetic testing guidelines and rates of colorectal and endometrial cancers in cases, controls, and their family members were calculated and compared.</p><p><strong>Results: </strong>A total of 175 cases (10 MLH1, 7 MSH2, 83 MSH6, and 75 PMS2) and 169 controls were included. Of case pedigrees, 62/175 (35.4%) met NCCN criteria for LS evaluation. Case pedigrees were more likely (P < .001) to meet criteria than control pedigrees (4/169, 8.35%). Case probands had significantly higher rates of colorectal and endometrial cancer than controls (7.7% vs 2.4%, P = .03 colorectal; 11.5% vs 0%, P < .001 endometrial), as did their relatives (3.1% vs 0.9%, P < .001 colorectal; 2.2% vs 0.5%, P < .001 endometrial).</p><p><strong>Conclusions: </strong>NCCN guidelines missed 65% of cases with P/LP LS variants despite families having higher colorectal and endometrial cancer rates compared with controls. Genomic screening can assist in identifying individuals at risk for LS-related cancers, providing an opportunity to tailor risk management for cancer prevention and early detection.</p>\",\"PeriodicalId\":14681,\"journal\":{\"name\":\"JNCI Cancer Spectrum\",\"volume\":\" \",\"pages\":\"\"},\"PeriodicalIF\":4.1000,\"publicationDate\":\"2025-07-01\",\"publicationTypes\":\"Journal Article\",\"fieldsOfStudy\":null,\"isOpenAccess\":false,\"openAccessPdf\":\"https://www.ncbi.nlm.nih.gov/pmc/articles/PMC12288957/pdf/\",\"citationCount\":\"0\",\"resultStr\":null,\"platform\":\"Semanticscholar\",\"paperid\":null,\"PeriodicalName\":\"JNCI Cancer Spectrum\",\"FirstCategoryId\":\"1085\",\"ListUrlMain\":\"https://doi.org/10.1093/jncics/pkaf061\",\"RegionNum\":0,\"RegionCategory\":null,\"ArticlePicture\":[],\"TitleCN\":null,\"AbstractTextCN\":null,\"PMCID\":null,\"EPubDate\":\"\",\"PubModel\":\"\",\"JCR\":\"Q2\",\"JCRName\":\"ONCOLOGY\",\"Score\":null,\"Total\":0}","platform":"Semanticscholar","paperid":null,"PeriodicalName":"JNCI Cancer Spectrum","FirstCategoryId":"1085","ListUrlMain":"https://doi.org/10.1093/jncics/pkaf061","RegionNum":0,"RegionCategory":null,"ArticlePicture":[],"TitleCN":null,"AbstractTextCN":null,"PMCID":null,"EPubDate":"","PubModel":"","JCR":"Q2","JCRName":"ONCOLOGY","Score":null,"Total":0}
引用次数: 0

摘要

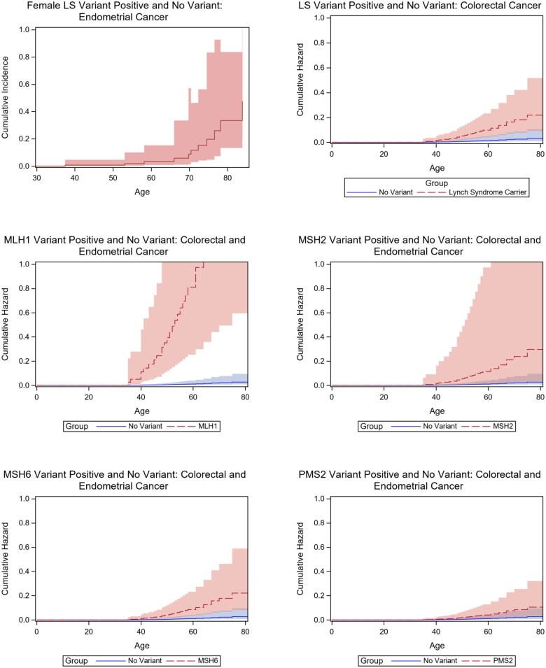
背景:Lynch综合征(LS)是一种遗传性癌症易感性,可增加结直肠癌、子宫内膜癌和其他癌症的风险。虽然以人群为基础的基因组筛查项目确定了LS患者,但在这些基因组确定的人群中的临床表现尚不清楚。方法:MyCode是一个基于医疗保健系统的生物库,它向参与者返回临床可操作的基因组筛选结果,包括LS基因(MLH1、MSH2、MSH6、PMS2)的致病/可能致病(P/LP)变异。成年病例(LS结果的参与者)和对照组(没有与病例相匹配的癌症易感性变异的参与者)报告了他们的个人和家庭癌症病史。计算并比较病例、对照组及其家庭成员中符合国家综合癌症网络(NCCN)基因检测指南的比率以及结直肠癌和子宫内膜癌的比率。结果:共纳入175例(MLH1 10例,MSH2 7例,MSH6 83例,PMS2 75例)和169例对照。在病例谱系中,62/175(35.4%)符合NCCN的LS评价标准。结论:尽管家族结直肠癌和子宫内膜癌的发病率高于对照组,但NCCN指南遗漏了65%的p /LP LS变异病例。基因组筛查可以帮助识别具有ls相关癌症风险的个体,为癌症预防和早期发现量身定制风险管理提供机会。
本文章由计算机程序翻译,如有差异,请以英文原文为准。

Increased colorectal and endometrial cancer rates in a genomically ascertained Lynch syndrome cohort.

Increased colorectal and endometrial cancer rates in a genomically ascertained Lynch syndrome cohort.

Increased colorectal and endometrial cancer rates in a genomically ascertained Lynch syndrome cohort.

Background: Lynch syndrome (LS) is a hereditary cancer predisposition that increases risk for colorectal, endometrial, and other cancers. Although population-based genomic screening programs identify individuals with LS, clinical presentation in such genomically ascertained populations is unknown.

Methods: MyCode is a healthcare system-based biobank that returns clinically actionable genomic screening results to participants, including pathogenic/likely pathogenic (P/LP) variants in LS genes (MLH1, MSH2, MSH6, PMS2). Adult cases (participants with an LS result) and controls (participants without a cancer predisposition variant matched to cases) reported their personal and family cancer histories. Rates of meeting National Comprehensive Cancer Network (NCCN) genetic testing guidelines and rates of colorectal and endometrial cancers in cases, controls, and their family members were calculated and compared.

Results: A total of 175 cases (10 MLH1, 7 MSH2, 83 MSH6, and 75 PMS2) and 169 controls were included. Of case pedigrees, 62/175 (35.4%) met NCCN criteria for LS evaluation. Case pedigrees were more likely (P < .001) to meet criteria than control pedigrees (4/169, 8.35%). Case probands had significantly higher rates of colorectal and endometrial cancer than controls (7.7% vs 2.4%, P = .03 colorectal; 11.5% vs 0%, P < .001 endometrial), as did their relatives (3.1% vs 0.9%, P < .001 colorectal; 2.2% vs 0.5%, P < .001 endometrial).

Conclusions: NCCN guidelines missed 65% of cases with P/LP LS variants despite families having higher colorectal and endometrial cancer rates compared with controls. Genomic screening can assist in identifying individuals at risk for LS-related cancers, providing an opportunity to tailor risk management for cancer prevention and early detection.

求助全文
通过发布文献求助,成功后即可免费获取论文全文。 去求助
来源期刊
JNCI Cancer Spectrum
JNCI Cancer Spectrum Medicine-Oncology
CiteScore
7.70
自引率
0.00%
发文量
80
审稿时长
18 weeks
×
引用
GB/T 7714-2015
复制
MLA
复制
APA
复制
导出至
BibTeX EndNote RefMan NoteFirst NoteExpress
×
提示
您的信息不完整,为了账户安全,请先补充。
现在去补充
×
提示
您因"违规操作"
具体请查看互助需知
我知道了
×
提示
确定
请完成安全验证×
copy
已复制链接
快去分享给好友吧!
我知道了
右上角分享
点击右上角分享
0
联系我们:info@booksci.cn Book学术提供免费学术资源搜索服务,方便国内外学者检索中英文文献。致力于提供最便捷和优质的服务体验。 Copyright © 2023 布克学术 All rights reserved.
京ICP备2023020795号-1
ghs 京公网安备 11010802042870号
Book学术文献互助
Book学术文献互助群
群 号:604180095
Book学术官方微信