急性髓系白血病患者接受venetoclax联合阿扎胞苷治疗的结果:一项来自巴基斯坦的单中心回顾性研究。

Journal of cancer & allied specialties Pub Date : 2025-05-29 eCollection Date: 2025-01-01 DOI:10.2478/jcas-2025-0001
Junaid Alam, Lavita Kumari, Usman Shaikh, Akbar Khan Muhammad Ali
{"title":"急性髓系白血病患者接受venetoclax联合阿扎胞苷治疗的结果:一项来自巴基斯坦的单中心回顾性研究。","authors":"Junaid Alam, Lavita Kumari, Usman Shaikh, Akbar Khan Muhammad Ali","doi":"10.2478/jcas-2025-0001","DOIUrl":null,"url":null,"abstract":"<p><strong>Introduction: </strong>Acute Myeloid Leukemia (AML) has a peak incidence in elderly patients with the median age of onset being 68 years. Owing to the advanced age and multiple comorbidities, such patients are not candidates for the standard chemotherapeutic protocols. Here we discuss the treatment strategies employed for newly diagnosed elderly patients with AML at our institution and their associated outcomes.</p><p><strong>Materials and methods: </strong>We conducted a single institutional retrospective review of cases which included elderly patients aged ≥ 50 years diagnosed with AML and treated with venetolcax in combination with azacitidine. Data relating to patients' characteristics, cytogenetics, molecular aberrations and vital status were extracted. We evaluated the overall survival (OS) as our primary outcome of interest.</p><p><strong>Results: </strong>This study involved 58 patients with confirmed AML, with a median age of 61.5 years. The majority of patients were male (77.6%). Most patients (75.9%) died, while 15.5% were still under treatment at the end of the study period. The median OS was 7.0 months. There was no significant difference in survival based on comorbid conditions (p = 0.586). However, survival differed by gender, with a median OS of 6 months for males and 16 months for females (p = 0.021). The number of chemotherapy cycles significantly impacted survival, with increased cycles associated with a reduced hazard of death (HR = 0.74, p < 0.01).</p><p><strong>Conclusion: </strong>Our findings contribute to the growing evidence that venetoclax combined with azacitidine is an effective treatment option for elderly patients with AML who are not eligible for intensive treatment.</p>","PeriodicalId":73631,"journal":{"name":"Journal of cancer & allied specialties","volume":"11 1","pages":"1-7"},"PeriodicalIF":0.0000,"publicationDate":"2025-05-29","publicationTypes":"Journal Article","fieldsOfStudy":null,"isOpenAccess":false,"openAccessPdf":"https://www.ncbi.nlm.nih.gov/pmc/articles/PMC12147701/pdf/","citationCount":"0","resultStr":"{\"title\":\"Outcomes of patients with Acute Myeloid Leukemia receiving venetoclax in combination with azacitidine: A single center retrospective study from Pakistan.\",\"authors\":\"Junaid Alam, Lavita Kumari, Usman Shaikh, Akbar Khan Muhammad Ali\",\"doi\":\"10.2478/jcas-2025-0001\",\"DOIUrl\":null,\"url\":null,\"abstract\":\"<p><strong>Introduction: </strong>Acute Myeloid Leukemia (AML) has a peak incidence in elderly patients with the median age of onset being 68 years. Owing to the advanced age and multiple comorbidities, such patients are not candidates for the standard chemotherapeutic protocols. Here we discuss the treatment strategies employed for newly diagnosed elderly patients with AML at our institution and their associated outcomes.</p><p><strong>Materials and methods: </strong>We conducted a single institutional retrospective review of cases which included elderly patients aged ≥ 50 years diagnosed with AML and treated with venetolcax in combination with azacitidine. Data relating to patients' characteristics, cytogenetics, molecular aberrations and vital status were extracted. We evaluated the overall survival (OS) as our primary outcome of interest.</p><p><strong>Results: </strong>This study involved 58 patients with confirmed AML, with a median age of 61.5 years. The majority of patients were male (77.6%). Most patients (75.9%) died, while 15.5% were still under treatment at the end of the study period. The median OS was 7.0 months. There was no significant difference in survival based on comorbid conditions (p = 0.586). However, survival differed by gender, with a median OS of 6 months for males and 16 months for females (p = 0.021). The number of chemotherapy cycles significantly impacted survival, with increased cycles associated with a reduced hazard of death (HR = 0.74, p < 0.01).</p><p><strong>Conclusion: </strong>Our findings contribute to the growing evidence that venetoclax combined with azacitidine is an effective treatment option for elderly patients with AML who are not eligible for intensive treatment.</p>\",\"PeriodicalId\":73631,\"journal\":{\"name\":\"Journal of cancer & allied specialties\",\"volume\":\"11 1\",\"pages\":\"1-7\"},\"PeriodicalIF\":0.0000,\"publicationDate\":\"2025-05-29\",\"publicationTypes\":\"Journal Article\",\"fieldsOfStudy\":null,\"isOpenAccess\":false,\"openAccessPdf\":\"https://www.ncbi.nlm.nih.gov/pmc/articles/PMC12147701/pdf/\",\"citationCount\":\"0\",\"resultStr\":null,\"platform\":\"Semanticscholar\",\"paperid\":null,\"PeriodicalName\":\"Journal of cancer & allied specialties\",\"FirstCategoryId\":\"1085\",\"ListUrlMain\":\"https://doi.org/10.2478/jcas-2025-0001\",\"RegionNum\":0,\"RegionCategory\":null,\"ArticlePicture\":[],\"TitleCN\":null,\"AbstractTextCN\":null,\"PMCID\":null,\"EPubDate\":\"2025/1/1 0:00:00\",\"PubModel\":\"eCollection\",\"JCR\":\"\",\"JCRName\":\"\",\"Score\":null,\"Total\":0}","platform":"Semanticscholar","paperid":null,"PeriodicalName":"Journal of cancer & allied specialties","FirstCategoryId":"1085","ListUrlMain":"https://doi.org/10.2478/jcas-2025-0001","RegionNum":0,"RegionCategory":null,"ArticlePicture":[],"TitleCN":null,"AbstractTextCN":null,"PMCID":null,"EPubDate":"2025/1/1 0:00:00","PubModel":"eCollection","JCR":"","JCRName":"","Score":null,"Total":0}
引用次数: 0

摘要

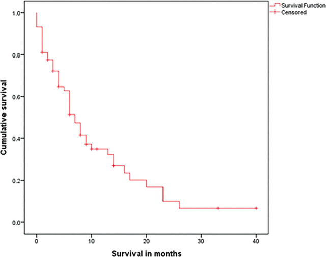
急性髓系白血病(AML)在老年患者中发病率最高,中位发病年龄为68岁。由于高龄和多重合并症,这些患者不适合标准的化疗方案。在这里,我们讨论了在我们机构新诊断的老年AML患者的治疗策略及其相关结果。材料和方法:我们进行了一项单一机构回顾性研究,纳入了年龄≥50岁的诊断为急性髓性白血病(AML)的老年患者,并使用维奈托卡西联合阿扎胞苷治疗。提取与患者特征、细胞遗传学、分子畸变和生命状态有关的数据。我们评估总生存期(OS)作为我们感兴趣的主要结局。结果:本研究纳入了58例确诊AML患者,中位年龄为61.5岁。患者以男性居多(77.6%)。大多数患者(75.9%)死亡,而15.5%的患者在研究结束时仍在接受治疗。中位OS为7.0个月。两组共病生存率差异无统计学意义(p = 0.586)。然而,生存期因性别而异,男性的中位生存期为6个月,女性为16个月(p = 0.021)。化疗周期数显著影响生存,周期增加与死亡风险降低相关(HR = 0.74, p < 0.01)。结论:我们的研究结果提供了越来越多的证据,表明venetoclax联合阿扎胞苷是不符合强化治疗条件的老年AML患者的有效治疗选择。
本文章由计算机程序翻译,如有差异,请以英文原文为准。

Outcomes of patients with Acute Myeloid Leukemia receiving venetoclax in combination with azacitidine: A single center retrospective study from Pakistan.

Outcomes of patients with Acute Myeloid Leukemia receiving venetoclax in combination with azacitidine: A single center retrospective study from Pakistan.

Outcomes of patients with Acute Myeloid Leukemia receiving venetoclax in combination with azacitidine: A single center retrospective study from Pakistan.

Outcomes of patients with Acute Myeloid Leukemia receiving venetoclax in combination with azacitidine: A single center retrospective study from Pakistan.

Introduction: Acute Myeloid Leukemia (AML) has a peak incidence in elderly patients with the median age of onset being 68 years. Owing to the advanced age and multiple comorbidities, such patients are not candidates for the standard chemotherapeutic protocols. Here we discuss the treatment strategies employed for newly diagnosed elderly patients with AML at our institution and their associated outcomes.

Materials and methods: We conducted a single institutional retrospective review of cases which included elderly patients aged ≥ 50 years diagnosed with AML and treated with venetolcax in combination with azacitidine. Data relating to patients' characteristics, cytogenetics, molecular aberrations and vital status were extracted. We evaluated the overall survival (OS) as our primary outcome of interest.

Results: This study involved 58 patients with confirmed AML, with a median age of 61.5 years. The majority of patients were male (77.6%). Most patients (75.9%) died, while 15.5% were still under treatment at the end of the study period. The median OS was 7.0 months. There was no significant difference in survival based on comorbid conditions (p = 0.586). However, survival differed by gender, with a median OS of 6 months for males and 16 months for females (p = 0.021). The number of chemotherapy cycles significantly impacted survival, with increased cycles associated with a reduced hazard of death (HR = 0.74, p < 0.01).

Conclusion: Our findings contribute to the growing evidence that venetoclax combined with azacitidine is an effective treatment option for elderly patients with AML who are not eligible for intensive treatment.

求助全文
通过发布文献求助,成功后即可免费获取论文全文。 去求助
来源期刊
自引率
0.00%
发文量
0
审稿时长
12 weeks
×
引用
GB/T 7714-2015
复制
MLA
复制
APA
复制
导出至
BibTeX EndNote RefMan NoteFirst NoteExpress
×
提示
您的信息不完整,为了账户安全,请先补充。
现在去补充
×
提示
您因"违规操作"
具体请查看互助需知
我知道了
×
提示
确定
请完成安全验证×
copy
已复制链接
快去分享给好友吧!
我知道了
右上角分享
点击右上角分享
0
联系我们:info@booksci.cn Book学术提供免费学术资源搜索服务,方便国内外学者检索中英文文献。致力于提供最便捷和优质的服务体验。 Copyright © 2023 布克学术 All rights reserved.
京ICP备2023020795号-1
ghs 京公网安备 11010802042870号
Book学术文献互助
Book学术文献互助群
群 号:604180095
Book学术官方微信