研究总结:阿达木单抗参考产品和阿达木单抗-adbm在类风湿关节炎、克罗恩病和慢性斑块性银屑病患者中的免疫原性:伏尔泰试验的汇总分析

IF 2.9 3区 医学 Q2 RHEUMATOLOGY
Rheumatology and Therapy Pub Date : 2025-08-01 Epub Date: 2025-06-11 DOI:10.1007/s40744-025-00766-6
Vibeke Strand
{"title":"研究总结:阿达木单抗参考产品和阿达木单抗-adbm在类风湿关节炎、克罗恩病和慢性斑块性银屑病患者中的免疫原性:伏尔泰试验的汇总分析","authors":"Vibeke Strand","doi":"10.1007/s40744-025-00766-6","DOIUrl":null,"url":null,"abstract":"<p><p>This summary-of-research article presents the findings of a post hoc analysis comparing immunogenicity across the VOLTAIRE trials program, originally published in BMJ Open. Adalimumab-adbm (Cyltezo<sup>®</sup>) is approved by the US Food and Drug Administration as an interchangeable biosimilar to the adalimumab reference product (RP; Humira<sup>®</sup>). In this analysis of immunogenicity in patients who participated in VOLTAIRE-RA (NCT021372260), VOLTAIRE-CD (NCT02871635), and VOLTAIRE-PsO (NCT02850965), immune response was assessed in patients of each biosimilar and RP treatment arm at various time points, and further stratified by patient sex. Across VOLTAIRE trials, the incidence of immunogenicity parameters had similar trajectories and were highest in VOLTAIRE-PsO, followed by VOLTAIRE-CD and VOLTAIRE-RA, highlighting the effects of differences in patient populations and background medications on immune response for each indication. The same trend was observed in subgroup analyses by patient sex. These analyses show supporting evidence of the biosimilarity of adalimumab-adbm with adalimumab RP in adult patients with rheumatoid arthritis, Crohn's disease, and plaque psoriasis.Trial Registrations: VOLTAIRE-RA, NCT021372260; VOLTAIRE-CD, NCT02871635; VOLTAIRE-PsO, NCT02850965.</p>","PeriodicalId":21267,"journal":{"name":"Rheumatology and Therapy","volume":" ","pages":"613-616"},"PeriodicalIF":2.9000,"publicationDate":"2025-08-01","publicationTypes":"Journal Article","fieldsOfStudy":null,"isOpenAccess":false,"openAccessPdf":"https://www.ncbi.nlm.nih.gov/pmc/articles/PMC12246292/pdf/","citationCount":"0","resultStr":"{\"title\":\"Summary of Research: Immunogenicity of Adalimumab Reference Product and Adalimumab-adbm in Patients with Rheumatoid Arthritis, Crohn's Disease, and Chronic Plaque Psoriasis: A Pooled Analysis of the VOLTAIRE trials.\",\"authors\":\"Vibeke Strand\",\"doi\":\"10.1007/s40744-025-00766-6\",\"DOIUrl\":null,\"url\":null,\"abstract\":\"<p><p>This summary-of-research article presents the findings of a post hoc analysis comparing immunogenicity across the VOLTAIRE trials program, originally published in BMJ Open. Adalimumab-adbm (Cyltezo<sup>®</sup>) is approved by the US Food and Drug Administration as an interchangeable biosimilar to the adalimumab reference product (RP; Humira<sup>®</sup>). In this analysis of immunogenicity in patients who participated in VOLTAIRE-RA (NCT021372260), VOLTAIRE-CD (NCT02871635), and VOLTAIRE-PsO (NCT02850965), immune response was assessed in patients of each biosimilar and RP treatment arm at various time points, and further stratified by patient sex. Across VOLTAIRE trials, the incidence of immunogenicity parameters had similar trajectories and were highest in VOLTAIRE-PsO, followed by VOLTAIRE-CD and VOLTAIRE-RA, highlighting the effects of differences in patient populations and background medications on immune response for each indication. The same trend was observed in subgroup analyses by patient sex. These analyses show supporting evidence of the biosimilarity of adalimumab-adbm with adalimumab RP in adult patients with rheumatoid arthritis, Crohn's disease, and plaque psoriasis.Trial Registrations: VOLTAIRE-RA, NCT021372260; VOLTAIRE-CD, NCT02871635; VOLTAIRE-PsO, NCT02850965.</p>\",\"PeriodicalId\":21267,\"journal\":{\"name\":\"Rheumatology and Therapy\",\"volume\":\" \",\"pages\":\"613-616\"},\"PeriodicalIF\":2.9000,\"publicationDate\":\"2025-08-01\",\"publicationTypes\":\"Journal Article\",\"fieldsOfStudy\":null,\"isOpenAccess\":false,\"openAccessPdf\":\"https://www.ncbi.nlm.nih.gov/pmc/articles/PMC12246292/pdf/\",\"citationCount\":\"0\",\"resultStr\":null,\"platform\":\"Semanticscholar\",\"paperid\":null,\"PeriodicalName\":\"Rheumatology and Therapy\",\"FirstCategoryId\":\"3\",\"ListUrlMain\":\"https://doi.org/10.1007/s40744-025-00766-6\",\"RegionNum\":3,\"RegionCategory\":\"医学\",\"ArticlePicture\":[],\"TitleCN\":null,\"AbstractTextCN\":null,\"PMCID\":null,\"EPubDate\":\"2025/6/11 0:00:00\",\"PubModel\":\"Epub\",\"JCR\":\"Q2\",\"JCRName\":\"RHEUMATOLOGY\",\"Score\":null,\"Total\":0}","platform":"Semanticscholar","paperid":null,"PeriodicalName":"Rheumatology and Therapy","FirstCategoryId":"3","ListUrlMain":"https://doi.org/10.1007/s40744-025-00766-6","RegionNum":3,"RegionCategory":"医学","ArticlePicture":[],"TitleCN":null,"AbstractTextCN":null,"PMCID":null,"EPubDate":"2025/6/11 0:00:00","PubModel":"Epub","JCR":"Q2","JCRName":"RHEUMATOLOGY","Score":null,"Total":0}
引用次数: 0

摘要

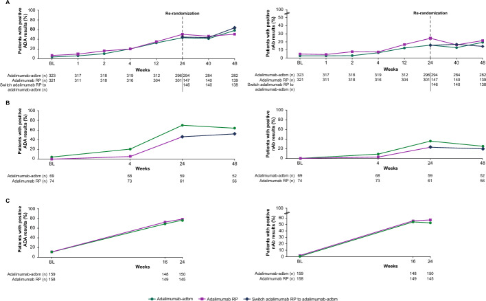
这篇研究摘要文章介绍了一项事后分析的结果,比较了volaire试验项目的免疫原性,最初发表在《BMJ Open》上。阿达木单抗-adbm (Cyltezo®)被美国食品和药物管理局批准为阿达木单抗参考产品的可互换生物仿制药(RP;抗®)。在这项对VOLTAIRE-RA (NCT021372260)、VOLTAIRE-CD (NCT02871635)和VOLTAIRE-PsO (NCT02850965)患者免疫原性的分析中,对每个生物仿制药和RP治疗组患者在不同时间点的免疫应答进行了评估,并进一步按患者性别分层。在整个伏尔泰试验中,免疫原性参数的发生率具有相似的轨迹,并且在伏尔泰- pso中最高,其次是伏尔泰- cd和伏尔泰- ra,突出了患者群体和背景药物差异对每种适应症免疫反应的影响。在按患者性别划分的亚组分析中也观察到同样的趋势。这些分析显示了阿达木单抗-adbm与阿达木单抗RP在类风湿性关节炎、克罗恩病和斑块型银屑病成年患者中的生物相似性的支持证据。试验注册:voltai - ra, NCT021372260;VOLTAIRE-CD NCT02871635;VOLTAIRE-PsO NCT02850965。
本文章由计算机程序翻译,如有差异,请以英文原文为准。

Summary of Research: Immunogenicity of Adalimumab Reference Product and Adalimumab-adbm in Patients with Rheumatoid Arthritis, Crohn's Disease, and Chronic Plaque Psoriasis: A Pooled Analysis of the VOLTAIRE trials.

Summary of Research: Immunogenicity of Adalimumab Reference Product and Adalimumab-adbm in Patients with Rheumatoid Arthritis, Crohn's Disease, and Chronic Plaque Psoriasis: A Pooled Analysis of the VOLTAIRE trials.

Summary of Research: Immunogenicity of Adalimumab Reference Product and Adalimumab-adbm in Patients with Rheumatoid Arthritis, Crohn's Disease, and Chronic Plaque Psoriasis: A Pooled Analysis of the VOLTAIRE trials.

This summary-of-research article presents the findings of a post hoc analysis comparing immunogenicity across the VOLTAIRE trials program, originally published in BMJ Open. Adalimumab-adbm (Cyltezo®) is approved by the US Food and Drug Administration as an interchangeable biosimilar to the adalimumab reference product (RP; Humira®). In this analysis of immunogenicity in patients who participated in VOLTAIRE-RA (NCT021372260), VOLTAIRE-CD (NCT02871635), and VOLTAIRE-PsO (NCT02850965), immune response was assessed in patients of each biosimilar and RP treatment arm at various time points, and further stratified by patient sex. Across VOLTAIRE trials, the incidence of immunogenicity parameters had similar trajectories and were highest in VOLTAIRE-PsO, followed by VOLTAIRE-CD and VOLTAIRE-RA, highlighting the effects of differences in patient populations and background medications on immune response for each indication. The same trend was observed in subgroup analyses by patient sex. These analyses show supporting evidence of the biosimilarity of adalimumab-adbm with adalimumab RP in adult patients with rheumatoid arthritis, Crohn's disease, and plaque psoriasis.Trial Registrations: VOLTAIRE-RA, NCT021372260; VOLTAIRE-CD, NCT02871635; VOLTAIRE-PsO, NCT02850965.

求助全文
通过发布文献求助,成功后即可免费获取论文全文。 去求助
来源期刊
Rheumatology and Therapy
Rheumatology and Therapy RHEUMATOLOGY-
CiteScore
6.00
自引率
5.30%
发文量
91
审稿时长
6 weeks
期刊介绍: Aims and Scope Rheumatology and Therapy is an international, open access, peer reviewed, rapid publication journal dedicated to the publication of high-quality clinical (all phases), observational, real-world and health outcomes research around the discovery, development, and use of rheumatologic therapies. Studies relating to diagnosis, pharmacoeconomics, public health, quality of life, and patient care, management, and education are also welcomed. Areas of focus include, but are not limited to, rheumatoid arthritis, gout, gouty arthritis, psoriatic arthritis, osteoarthritis, juvenile idiopathic/rheumatoid arthritis, systemic lupus erythematosus, axial spondyloarthritis, Pompe’s disease, inflammatory joint conditions, musculoskeletal conditions, systemic sclerosis, and fibromyalgia. The journal is of interest to a broad audience of healthcare professionals and publishes original research, reviews, case reports, trial protocols, communications and letters. The journal is read by a global audience and receives submissions from all over the world. Rheumatology and Therapy will consider all scientifically sound research be it positive, confirmatory or negative data. Submissions are welcomed whether they relate to an international and/or a country-specific audience, something that is crucially important when researchers are trying to target more specific patient populations. This inclusive approach allows the journal to assist in the dissemination of all scientifically and ethically sound research. Ethics and Disclosures The journal is a member of the Committee on Publication Ethics (COPE) and subscribes to its principles on how to deal with acts of misconduct thereby committing to investigate allegations of misconduct in order to ensure the integrity of research. Content in this journal is peer-reviewed (Single-blind). For more information on our publishing ethics policies, please see here: https://www.springer.com/gp/editorial-policies Rapid Publication The journal’s rapid publication timelines aim for a peer review decision within 2 weeks of submission. If an article is accepted it will be published online 3-4 weeks from acceptance. These rapid timelines are achieved through the combination of a dedicated in-house editorial team, who closely manage article workflow, and an extensive Editorial and Advisory Board who assist with rapid peer review. This allows the journal to support the rapid dissemination of research, whilst still providing robust peer review. Combined with the journal’s open access model this allows for the rapid and efficient communication of the latest research and reviews, allowing the advancement of rheumatologic therapies. Personal Service The journal’s dedicated in-house editorial team offer a personal “concierge service” meaning that authors will always have a personal point of contact able to update them on the status of their manuscript. The editorial team check all manuscripts to ensure that articles conform to the most recent COPE, GPP and ICMJE publishing guidelines. This supports the publication of ethically sound and transparent research. We also encourage pre-submission enquiries and are always happy to provide a confidential assessment of manuscripts. Digital Features Rheumatology and Therapy offers a range of additional features designed to increase the visibility, readership and educational value of the journal’s content. Each article is accompanied by key summary points, giving a time-efficient overview of the content to a wide readership. Articles may be accompanied by plain language summaries to assist readers who have some knowledge of, but not in-depth expertise in, the area to understand the scientific content and overall implications of the article. The journal also provides the option to include various types of digital features including animated abstracts, video abstracts, slide decks, audio slides, instructional videos, infographics, podcasts and animations. All additional features are peer reviewed to the same high standard as the article itself. If you consider that your paper would benefit from the inclusion of a digital feature, please let us know. Our editorial team are able to create high-quality slide decks and infographics in-house, and video abstracts through our partner Research Square, and would be happy to assist in any way we can. For further information about digital features, please contact the journal editor (see ‘Contact the Journal’ for email address), and see the ‘Guidelines for digital features and plain language summaries’ document under ‘Submission guidelines’. For examples of digital features please visit: https://springerhealthcare.com/expertise/publishing-digital-features/ Preprints We encourage posting of preprints of primary research manuscripts on preprint servers, authors'' or institutional websites, and open communications between researchers whether on community preprint servers or preprint commenting platforms. Posting of preprints is not considered prior publication and will not jeopardize consideration in our journals. Authors should disclose details of preprint posting during the submission process or at any other point during consideration in the journal. Once the manuscript is published, it is the author''s responsibility to ensure that the preprint record is updated with a publication reference, including the DOI and a URL link to the published version of the article on the journal website. Please see here for further information on preprint sharing: https://www.springer.com/gp/authors-editors/journal-author/journal-author-helpdesk/submission/1302#c16721550 Peer Review Process Upon submission, manuscripts are assessed by the editorial team to ensure they fit within the aims and scope of the journal and are also checked for plagiarism. All suitable submissions are then subject to a comprehensive single-blind peer review. Reviewers are selected based on their relevant expertise and publication history in the subject area. The journal has an extensive pool of editorial and advisory board members who have been selected to assist with peer review based on the afore-mentioned criteria. At least two extensive reviews are required to make the editorial decision. Where reviewer recommendations are conflicted, the editorial board will be contacted for further advice and a presiding decision. Manuscripts are then either accepted, rejected or authors are required to make major or minor revisions (both reviewer comments and editorial comments may need to be addressed). Once a revised manuscript is re-submitted, it is assessed along with the responses to reviewer comments and if it has been adequately revised it will be accepted for publication. Accepted manuscripts are then copyedited and typeset by the production team before online publication. Appeals against decisions following peer review are considered on a case-by-case basis and should be sent to the journal editor, and authors are welcome to make rebuttals against individual reviewer comments if appropriate. Considering the time and effort required for a detailed peer review we reward our regular reviewers with the opportunity to publish without publication fees (pending peer review) for every three reviews completed per calendar year. Copyright Rheumatology and Therapy is published under the Creative Commons Attribution-Noncommercial License, which allows users to read, copy, distribute, and make derivative works for non-commercial purposes from the material, as long as the author of the original work is cited. The author assigns the exclusive right to any commercial use of the article to Springer. For more information about the Creative Commons Attribution-Noncommercial License, click here: http://creativecommons.org/licenses/by-nc/4.0. Publication Fees Upon acceptance of an article, authors will be required to pay the mandatory Rapid Service Fee of €5,250/$6,000/£4,300. The journal will consider fee discounts and waivers for developing countries and this is decided on a case-by-case basis. Open Access All articles published by Rheumatology and Therapy are published open access. Contact For more information about the journal, including pre-submission enquiries, please contact charlotte.maddocks@springernature.com.
×
引用
GB/T 7714-2015
复制
MLA
复制
APA
复制
导出至
BibTeX EndNote RefMan NoteFirst NoteExpress
×
提示
您的信息不完整,为了账户安全,请先补充。
现在去补充
×
提示
您因"违规操作"
具体请查看互助需知
我知道了
×
提示
确定
请完成安全验证×
copy
已复制链接
快去分享给好友吧!
我知道了
右上角分享
点击右上角分享
0
联系我们:info@booksci.cn Book学术提供免费学术资源搜索服务,方便国内外学者检索中英文文献。致力于提供最便捷和优质的服务体验。 Copyright © 2023 布克学术 All rights reserved.
京ICP备2023020795号-1
ghs 京公网安备 11010802042870号
Book学术文献互助
Book学术文献互助群
群 号:604180095
Book学术官方微信