E-CARE作为姑息性社会工作者的核心能力:系统回顾。

IF 2.5 2区 医学 Q2 HEALTH CARE SCIENCES & SERVICES
Hong Yao, Wang Jingyue, Zhu Rui, Yajie Hou, Yang Hui
{"title":"E-CARE作为姑息性社会工作者的核心能力:系统回顾。","authors":"Hong Yao, Wang Jingyue, Zhu Rui, Yajie Hou, Yang Hui","doi":"10.1186/s12904-025-01735-0","DOIUrl":null,"url":null,"abstract":"<p><strong>Purpose: </strong>To identify the core competencies of social workers in palliative care.</p><p><strong>Method: </strong>A systematic review of 19 high-quality studies published in English and Chinese up to February 2025 was conducted.</p><p><strong>Results: </strong>The study identified five core competencies-Ethics, Coordination, Assessment, Resource Allocation, and Education-establishing the core competencies of social workers. They serve as interdisciplinary coordinators, communication facilitators, and educators, addressing psychosocial, emotional, and environmental challenges while navigating systemic resource constraints. The framework emphasizes ongoing assessment, resource allocation, and educational interventions, positioning social workers as system navigators and existential educators essential to compassionate, patient- and family-centered care.</p><p><strong>Discussion: </strong>E-CARE framework equips social workers to navigate complex care ecosystems, foster team cohesion, mediate conflicts, advocate for patient autonomy, destigmatize end-of-life discussions, and promote resilience through ongoing training, particularly in resource-constrained settings.</p>","PeriodicalId":48945,"journal":{"name":"BMC Palliative Care","volume":"24 1","pages":"163"},"PeriodicalIF":2.5000,"publicationDate":"2025-06-09","publicationTypes":"Journal Article","fieldsOfStudy":null,"isOpenAccess":false,"openAccessPdf":"https://www.ncbi.nlm.nih.gov/pmc/articles/PMC12147374/pdf/","citationCount":"0","resultStr":"{\"title\":\"E-CARE as core competencies for palliative social workers: a systematic review.\",\"authors\":\"Hong Yao, Wang Jingyue, Zhu Rui, Yajie Hou, Yang Hui\",\"doi\":\"10.1186/s12904-025-01735-0\",\"DOIUrl\":null,\"url\":null,\"abstract\":\"<p><strong>Purpose: </strong>To identify the core competencies of social workers in palliative care.</p><p><strong>Method: </strong>A systematic review of 19 high-quality studies published in English and Chinese up to February 2025 was conducted.</p><p><strong>Results: </strong>The study identified five core competencies-Ethics, Coordination, Assessment, Resource Allocation, and Education-establishing the core competencies of social workers. They serve as interdisciplinary coordinators, communication facilitators, and educators, addressing psychosocial, emotional, and environmental challenges while navigating systemic resource constraints. The framework emphasizes ongoing assessment, resource allocation, and educational interventions, positioning social workers as system navigators and existential educators essential to compassionate, patient- and family-centered care.</p><p><strong>Discussion: </strong>E-CARE framework equips social workers to navigate complex care ecosystems, foster team cohesion, mediate conflicts, advocate for patient autonomy, destigmatize end-of-life discussions, and promote resilience through ongoing training, particularly in resource-constrained settings.</p>\",\"PeriodicalId\":48945,\"journal\":{\"name\":\"BMC Palliative Care\",\"volume\":\"24 1\",\"pages\":\"163\"},\"PeriodicalIF\":2.5000,\"publicationDate\":\"2025-06-09\",\"publicationTypes\":\"Journal Article\",\"fieldsOfStudy\":null,\"isOpenAccess\":false,\"openAccessPdf\":\"https://www.ncbi.nlm.nih.gov/pmc/articles/PMC12147374/pdf/\",\"citationCount\":\"0\",\"resultStr\":null,\"platform\":\"Semanticscholar\",\"paperid\":null,\"PeriodicalName\":\"BMC Palliative Care\",\"FirstCategoryId\":\"3\",\"ListUrlMain\":\"https://doi.org/10.1186/s12904-025-01735-0\",\"RegionNum\":2,\"RegionCategory\":\"医学\",\"ArticlePicture\":[],\"TitleCN\":null,\"AbstractTextCN\":null,\"PMCID\":null,\"EPubDate\":\"\",\"PubModel\":\"\",\"JCR\":\"Q2\",\"JCRName\":\"HEALTH CARE SCIENCES & SERVICES\",\"Score\":null,\"Total\":0}","platform":"Semanticscholar","paperid":null,"PeriodicalName":"BMC Palliative Care","FirstCategoryId":"3","ListUrlMain":"https://doi.org/10.1186/s12904-025-01735-0","RegionNum":2,"RegionCategory":"医学","ArticlePicture":[],"TitleCN":null,"AbstractTextCN":null,"PMCID":null,"EPubDate":"","PubModel":"","JCR":"Q2","JCRName":"HEALTH CARE SCIENCES & SERVICES","Score":null,"Total":0}
引用次数: 0

摘要

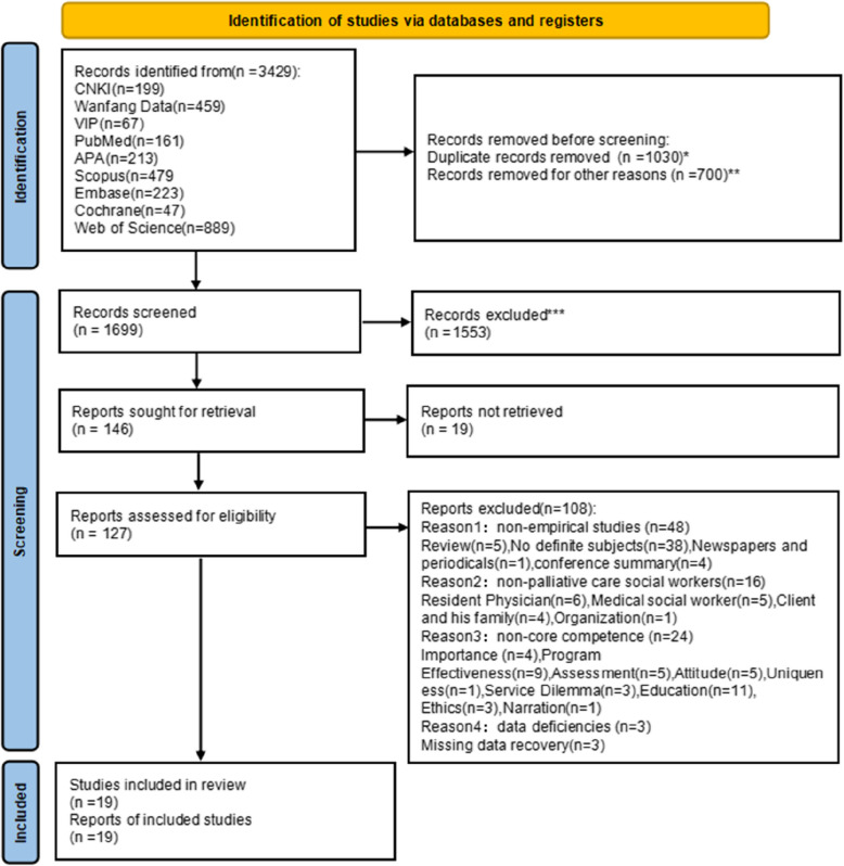
目的:确定社会工作者在姑息治疗中的核心能力。方法:对截至2025年2月发表的19篇高质量中英文文献进行系统综述。结果:本研究确定了道德、协调、评估、资源配置和教育五个核心能力,构建了社会工作者的核心能力。他们作为跨学科的协调者、沟通促进者和教育者,在应对系统资源限制的同时,解决社会心理、情感和环境方面的挑战。该框架强调持续评估、资源分配和教育干预,将社会工作者定位为系统导航员和存在主义教育者,对富有同情心、以患者和家庭为中心的护理至关重要。讨论:E-CARE框架使社会工作者能够驾驭复杂的护理生态系统,培养团队凝聚力,调解冲突,倡导患者自主,消除临终讨论的污名化,并通过持续培训(特别是在资源有限的环境中)提高复原力。
本文章由计算机程序翻译,如有差异,请以英文原文为准。

E-CARE as core competencies for palliative social workers: a systematic review.

E-CARE as core competencies for palliative social workers: a systematic review.

Purpose: To identify the core competencies of social workers in palliative care.

Method: A systematic review of 19 high-quality studies published in English and Chinese up to February 2025 was conducted.

Results: The study identified five core competencies-Ethics, Coordination, Assessment, Resource Allocation, and Education-establishing the core competencies of social workers. They serve as interdisciplinary coordinators, communication facilitators, and educators, addressing psychosocial, emotional, and environmental challenges while navigating systemic resource constraints. The framework emphasizes ongoing assessment, resource allocation, and educational interventions, positioning social workers as system navigators and existential educators essential to compassionate, patient- and family-centered care.

Discussion: E-CARE framework equips social workers to navigate complex care ecosystems, foster team cohesion, mediate conflicts, advocate for patient autonomy, destigmatize end-of-life discussions, and promote resilience through ongoing training, particularly in resource-constrained settings.

求助全文
通过发布文献求助,成功后即可免费获取论文全文。 去求助
来源期刊
BMC Palliative Care
BMC Palliative Care HEALTH CARE SCIENCES & SERVICES-
CiteScore
4.60
自引率
9.70%
发文量
201
审稿时长
21 weeks
期刊介绍: BMC Palliative Care is an open access journal publishing original peer-reviewed research articles in the clinical, scientific, ethical and policy issues, local and international, regarding all aspects of hospice and palliative care for the dying and for those with profound suffering related to chronic illness.
×
引用
GB/T 7714-2015
复制
MLA
复制
APA
复制
导出至
BibTeX EndNote RefMan NoteFirst NoteExpress
×
提示
您的信息不完整,为了账户安全,请先补充。
现在去补充
×
提示
您因"违规操作"
具体请查看互助需知
我知道了
×
提示
确定
请完成安全验证×
copy
已复制链接
快去分享给好友吧!
我知道了
右上角分享
点击右上角分享
0
联系我们:info@booksci.cn Book学术提供免费学术资源搜索服务,方便国内外学者检索中英文文献。致力于提供最便捷和优质的服务体验。 Copyright © 2023 布克学术 All rights reserved.
京ICP备2023020795号-1
ghs 京公网安备 11010802042870号
Book学术文献互助
Book学术文献互助群
群 号:604180095
Book学术官方微信