短期静脉注射n -乙酰半胱氨酸治疗Kasai门肠造口术后胆道闭锁的2期临床试验。

IF 5.6 2区 医学 Q1 GASTROENTEROLOGY & HEPATOLOGY
Hepatology Communications Pub Date : 2025-06-09 eCollection Date: 2025-07-01 DOI:10.1097/HC9.0000000000000729
Sanjiv Harpavat, Kristin A Borovsky, Michael E Scheurer, Laurel Cavallo, Franca E Erhiawarie, Sanjeev Vasudevan, Adam M Vogel, Dana Cerminara, Elizabeth M Tessier, Kalyani R Patel, Sridevi Devaraj, Benjamin L Shneider
{"title":"短期静脉注射n -乙酰半胱氨酸治疗Kasai门肠造口术后胆道闭锁的2期临床试验。","authors":"Sanjiv Harpavat, Kristin A Borovsky, Michael E Scheurer, Laurel Cavallo, Franca E Erhiawarie, Sanjeev Vasudevan, Adam M Vogel, Dana Cerminara, Elizabeth M Tessier, Kalyani R Patel, Sridevi Devaraj, Benjamin L Shneider","doi":"10.1097/HC9.0000000000000729","DOIUrl":null,"url":null,"abstract":"<p><strong>Background: </strong>For infants with biliary atresia, the only treatment that can establish bile flow and delay need for liver transplant is the Kasai portoenterostomy (KP). Unfortunately, the KP has variable success. In this study, we hypothesized that intravenous N-acetylcysteine (IV NAC) treatment following KP would improve bile flow.</p><p><strong>Methods: </strong>This was a phase 2 study following the two-stage \"minimax\" trial design. Participants received IV NAC (150 mg/kg/day) for 7 days after KP, and the primary endpoint was achieving total serum bile acids (TSBA) ≤10 μmol/L within 24 weeks of KP. Secondary endpoints were clinical markers and the occurrence of sentinel events.</p><p><strong>Results: </strong>There were 12 participants in stage 1 who received treatment, with none achieving TSBAs ≤10 μmol/L within 24 weeks of KP. As a result, no participants were enrolled in stage 2. There were 32 adverse events in 11 participants, including 5 serious adverse events which were considered part of the participants' natural clinical course and not directly attributable to NAC treatment. Analyses of secondary outcomes demonstrated no difference in clinical markers or occurrence of sentinel events between study participants and matched historical controls.</p><p><strong>Conclusions: </strong>This study demonstrates how the two-stage \"minimax\" trial design can be used to efficiently evaluate potential therapies for BA. Although the primary endpoint was not met, NAC therapy was generally well-tolerated. NAC therapy may prove efficacious in future trials with (i) a less stringent primary endpoint and/or (ii) a longer course of treatment (NCT03499249).</p>","PeriodicalId":12978,"journal":{"name":"Hepatology Communications","volume":"9 7","pages":""},"PeriodicalIF":5.6000,"publicationDate":"2025-06-09","publicationTypes":"Journal Article","fieldsOfStudy":null,"isOpenAccess":false,"openAccessPdf":"https://www.ncbi.nlm.nih.gov/pmc/articles/PMC12150978/pdf/","citationCount":"0","resultStr":"{\"title\":\"A phase 2 trial of short-term intravenous N-acetylcysteine in biliary atresia after Kasai portoenterostomy.\",\"authors\":\"Sanjiv Harpavat, Kristin A Borovsky, Michael E Scheurer, Laurel Cavallo, Franca E Erhiawarie, Sanjeev Vasudevan, Adam M Vogel, Dana Cerminara, Elizabeth M Tessier, Kalyani R Patel, Sridevi Devaraj, Benjamin L Shneider\",\"doi\":\"10.1097/HC9.0000000000000729\",\"DOIUrl\":null,\"url\":null,\"abstract\":\"<p><strong>Background: </strong>For infants with biliary atresia, the only treatment that can establish bile flow and delay need for liver transplant is the Kasai portoenterostomy (KP). Unfortunately, the KP has variable success. In this study, we hypothesized that intravenous N-acetylcysteine (IV NAC) treatment following KP would improve bile flow.</p><p><strong>Methods: </strong>This was a phase 2 study following the two-stage \\\"minimax\\\" trial design. Participants received IV NAC (150 mg/kg/day) for 7 days after KP, and the primary endpoint was achieving total serum bile acids (TSBA) ≤10 μmol/L within 24 weeks of KP. Secondary endpoints were clinical markers and the occurrence of sentinel events.</p><p><strong>Results: </strong>There were 12 participants in stage 1 who received treatment, with none achieving TSBAs ≤10 μmol/L within 24 weeks of KP. As a result, no participants were enrolled in stage 2. There were 32 adverse events in 11 participants, including 5 serious adverse events which were considered part of the participants' natural clinical course and not directly attributable to NAC treatment. Analyses of secondary outcomes demonstrated no difference in clinical markers or occurrence of sentinel events between study participants and matched historical controls.</p><p><strong>Conclusions: </strong>This study demonstrates how the two-stage \\\"minimax\\\" trial design can be used to efficiently evaluate potential therapies for BA. Although the primary endpoint was not met, NAC therapy was generally well-tolerated. NAC therapy may prove efficacious in future trials with (i) a less stringent primary endpoint and/or (ii) a longer course of treatment (NCT03499249).</p>\",\"PeriodicalId\":12978,\"journal\":{\"name\":\"Hepatology Communications\",\"volume\":\"9 7\",\"pages\":\"\"},\"PeriodicalIF\":5.6000,\"publicationDate\":\"2025-06-09\",\"publicationTypes\":\"Journal Article\",\"fieldsOfStudy\":null,\"isOpenAccess\":false,\"openAccessPdf\":\"https://www.ncbi.nlm.nih.gov/pmc/articles/PMC12150978/pdf/\",\"citationCount\":\"0\",\"resultStr\":null,\"platform\":\"Semanticscholar\",\"paperid\":null,\"PeriodicalName\":\"Hepatology Communications\",\"FirstCategoryId\":\"3\",\"ListUrlMain\":\"https://doi.org/10.1097/HC9.0000000000000729\",\"RegionNum\":2,\"RegionCategory\":\"医学\",\"ArticlePicture\":[],\"TitleCN\":null,\"AbstractTextCN\":null,\"PMCID\":null,\"EPubDate\":\"2025/7/1 0:00:00\",\"PubModel\":\"eCollection\",\"JCR\":\"Q1\",\"JCRName\":\"GASTROENTEROLOGY & HEPATOLOGY\",\"Score\":null,\"Total\":0}","platform":"Semanticscholar","paperid":null,"PeriodicalName":"Hepatology Communications","FirstCategoryId":"3","ListUrlMain":"https://doi.org/10.1097/HC9.0000000000000729","RegionNum":2,"RegionCategory":"医学","ArticlePicture":[],"TitleCN":null,"AbstractTextCN":null,"PMCID":null,"EPubDate":"2025/7/1 0:00:00","PubModel":"eCollection","JCR":"Q1","JCRName":"GASTROENTEROLOGY & HEPATOLOGY","Score":null,"Total":0}
引用次数: 0

摘要

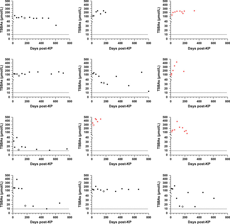
背景:对于胆道闭锁的婴儿,唯一可以建立胆汁流动和延迟肝移植需要的治疗是Kasai门肠造口术(KP)。不幸的是,KP有不同的成功。在这项研究中,我们假设在KP后静脉注射n -乙酰半胱氨酸(IV NAC)治疗可以改善胆汁流动。方法:这是一项2期研究,遵循两阶段“最大最小”试验设计。参与者在KP后7天内静脉注射NAC (150 mg/kg/天),主要终点是在KP后24周内达到血清总胆汁酸(TSBA)≤10 μmol/L。次要终点是临床标志物和前哨事件的发生。结果:1期12例患者接受治疗,无一例患者在给药24周内TSBAs≤10 μmol/L。因此,没有参与者被纳入第二阶段。11名参与者共发生32次不良事件,其中5次严重不良事件被认为是参与者自然临床过程的一部分,不能直接归因于NAC治疗。次要结果的分析表明,在研究参与者和匹配的历史对照之间,临床标志物或前哨事件的发生没有差异。结论:本研究证明了两阶段“最大最小”试验设计可以有效地评估BA的潜在治疗方法。虽然没有达到主要终点,但NAC治疗通常耐受性良好。在未来的试验中,NAC治疗可能被证明是有效的(i)不那么严格的主要终点和/或(ii)更长的治疗过程(NCT03499249)。
本文章由计算机程序翻译,如有差异,请以英文原文为准。

A phase 2 trial of short-term intravenous N-acetylcysteine in biliary atresia after Kasai portoenterostomy.

A phase 2 trial of short-term intravenous N-acetylcysteine in biliary atresia after Kasai portoenterostomy.

A phase 2 trial of short-term intravenous N-acetylcysteine in biliary atresia after Kasai portoenterostomy.

A phase 2 trial of short-term intravenous N-acetylcysteine in biliary atresia after Kasai portoenterostomy.

Background: For infants with biliary atresia, the only treatment that can establish bile flow and delay need for liver transplant is the Kasai portoenterostomy (KP). Unfortunately, the KP has variable success. In this study, we hypothesized that intravenous N-acetylcysteine (IV NAC) treatment following KP would improve bile flow.

Methods: This was a phase 2 study following the two-stage "minimax" trial design. Participants received IV NAC (150 mg/kg/day) for 7 days after KP, and the primary endpoint was achieving total serum bile acids (TSBA) ≤10 μmol/L within 24 weeks of KP. Secondary endpoints were clinical markers and the occurrence of sentinel events.

Results: There were 12 participants in stage 1 who received treatment, with none achieving TSBAs ≤10 μmol/L within 24 weeks of KP. As a result, no participants were enrolled in stage 2. There were 32 adverse events in 11 participants, including 5 serious adverse events which were considered part of the participants' natural clinical course and not directly attributable to NAC treatment. Analyses of secondary outcomes demonstrated no difference in clinical markers or occurrence of sentinel events between study participants and matched historical controls.

Conclusions: This study demonstrates how the two-stage "minimax" trial design can be used to efficiently evaluate potential therapies for BA. Although the primary endpoint was not met, NAC therapy was generally well-tolerated. NAC therapy may prove efficacious in future trials with (i) a less stringent primary endpoint and/or (ii) a longer course of treatment (NCT03499249).

求助全文
通过发布文献求助,成功后即可免费获取论文全文。 去求助
来源期刊
Hepatology Communications
Hepatology Communications GASTROENTEROLOGY & HEPATOLOGY-
CiteScore
8.00
自引率
2.00%
发文量
248
审稿时长
8 weeks
期刊介绍: Hepatology Communications is a peer-reviewed, online-only, open access journal for fast dissemination of high quality basic, translational, and clinical research in hepatology. Hepatology Communications maintains high standard and rigorous peer review. Because of its open access nature, authors retain the copyright to their works, all articles are immediately available and free to read and share, and it is fully compliant with funder and institutional mandates. The journal is committed to fast publication and author satisfaction. ​
×
引用
GB/T 7714-2015
复制
MLA
复制
APA
复制
导出至
BibTeX EndNote RefMan NoteFirst NoteExpress
×
提示
您的信息不完整,为了账户安全,请先补充。
现在去补充
×
提示
您因"违规操作"
具体请查看互助需知
我知道了
×
提示
确定
请完成安全验证×
copy
已复制链接
快去分享给好友吧!
我知道了
右上角分享
点击右上角分享
0
联系我们:info@booksci.cn Book学术提供免费学术资源搜索服务,方便国内外学者检索中英文文献。致力于提供最便捷和优质的服务体验。 Copyright © 2023 布克学术 All rights reserved.
京ICP备2023020795号-1
ghs 京公网安备 11010802042870号
Book学术文献互助
Book学术文献互助群
群 号:604180095
Book学术官方微信