不同糖原分支酶产生的辛烯基琥珀酰化簇状支链淀粉的结构和功能变化。

IF 3.1 3区 农林科学 Q3 FOOD SCIENCE & TECHNOLOGY
Kyeong-Ok Choi, Cheul-Soon Yim, Phu Cuong Nguyen, Jong-Tae Park
{"title":"不同糖原分支酶产生的辛烯基琥珀酰化簇状支链淀粉的结构和功能变化。","authors":"Kyeong-Ok Choi,&nbsp;Cheul-Soon Yim,&nbsp;Phu Cuong Nguyen,&nbsp;Jong-Tae Park","doi":"10.1007/s10068-025-01892-1","DOIUrl":null,"url":null,"abstract":"<div><p>Clustered amylopectins (CAPs) were produced using recombinant glycogen branching enzymes from <i>Escherichia coli</i> K12 (EcGBE) and <i>Vibrio vulnificus</i> (VvGBE). The CAPs were esterified with octenyl succinic anhydride (OSA), introducing novel functional characteristics. Vv-CAP demonstrated a reduced apparent molecular weight and a higher prevalence of both short (degree of polymerization (DP) ≤ 5, 13.3%) and medium branches (5 &lt; DP ≤ 12, 58.2%) compared to Ec-CAP. FT-IR spectra confirmed the successful esterification of CAPs with OSA. <sup>1</sup>H-NMR analysis showed the degree of substitution (DS) for OSA-CAPs varied based on the CAP to OSA ratio (DS 0.021–0.058 for Ec-CAP and 0.011–0.066 for Vv-CAP). Esterification with OSA on shortened branches resulted in a slower digestion rate and increased resistant starch proportion. Additionally, this process enhanced the emulsifying properties of CAPs and improved the aqueous solubility of puerarin. OSA-modified CAPs are promising for pharmaceutical applications.</p></div>","PeriodicalId":566,"journal":{"name":"Food Science and Biotechnology","volume":"34 11","pages":"2445 - 2453"},"PeriodicalIF":3.1000,"publicationDate":"2025-04-28","publicationTypes":"Journal Article","fieldsOfStudy":null,"isOpenAccess":false,"openAccessPdf":"","citationCount":"0","resultStr":"{\"title\":\"Structural and functional variations of octenyl succinylated clustered amylopectin produced by distinctive glycogen branching enzymes\",\"authors\":\"Kyeong-Ok Choi,&nbsp;Cheul-Soon Yim,&nbsp;Phu Cuong Nguyen,&nbsp;Jong-Tae Park\",\"doi\":\"10.1007/s10068-025-01892-1\",\"DOIUrl\":null,\"url\":null,\"abstract\":\"<div><p>Clustered amylopectins (CAPs) were produced using recombinant glycogen branching enzymes from <i>Escherichia coli</i> K12 (EcGBE) and <i>Vibrio vulnificus</i> (VvGBE). The CAPs were esterified with octenyl succinic anhydride (OSA), introducing novel functional characteristics. Vv-CAP demonstrated a reduced apparent molecular weight and a higher prevalence of both short (degree of polymerization (DP) ≤ 5, 13.3%) and medium branches (5 &lt; DP ≤ 12, 58.2%) compared to Ec-CAP. FT-IR spectra confirmed the successful esterification of CAPs with OSA. <sup>1</sup>H-NMR analysis showed the degree of substitution (DS) for OSA-CAPs varied based on the CAP to OSA ratio (DS 0.021–0.058 for Ec-CAP and 0.011–0.066 for Vv-CAP). Esterification with OSA on shortened branches resulted in a slower digestion rate and increased resistant starch proportion. Additionally, this process enhanced the emulsifying properties of CAPs and improved the aqueous solubility of puerarin. OSA-modified CAPs are promising for pharmaceutical applications.</p></div>\",\"PeriodicalId\":566,\"journal\":{\"name\":\"Food Science and Biotechnology\",\"volume\":\"34 11\",\"pages\":\"2445 - 2453\"},\"PeriodicalIF\":3.1000,\"publicationDate\":\"2025-04-28\",\"publicationTypes\":\"Journal Article\",\"fieldsOfStudy\":null,\"isOpenAccess\":false,\"openAccessPdf\":\"\",\"citationCount\":\"0\",\"resultStr\":null,\"platform\":\"Semanticscholar\",\"paperid\":null,\"PeriodicalName\":\"Food Science and Biotechnology\",\"FirstCategoryId\":\"97\",\"ListUrlMain\":\"https://link.springer.com/article/10.1007/s10068-025-01892-1\",\"RegionNum\":3,\"RegionCategory\":\"农林科学\",\"ArticlePicture\":[],\"TitleCN\":null,\"AbstractTextCN\":null,\"PMCID\":null,\"EPubDate\":\"\",\"PubModel\":\"\",\"JCR\":\"Q3\",\"JCRName\":\"FOOD SCIENCE & TECHNOLOGY\",\"Score\":null,\"Total\":0}","platform":"Semanticscholar","paperid":null,"PeriodicalName":"Food Science and Biotechnology","FirstCategoryId":"97","ListUrlMain":"https://link.springer.com/article/10.1007/s10068-025-01892-1","RegionNum":3,"RegionCategory":"农林科学","ArticlePicture":[],"TitleCN":null,"AbstractTextCN":null,"PMCID":null,"EPubDate":"","PubModel":"","JCR":"Q3","JCRName":"FOOD SCIENCE & TECHNOLOGY","Score":null,"Total":0}
引用次数: 0

摘要

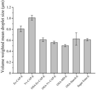
利用大肠杆菌K12 (EcGBE)和创伤弧菌(VvGBE)的重组糖原分支酶制备了簇状支链蛋白(CAPs)。并与辛烯基丁二酸酐(OSA)酯化,引入了新的功能特性。Vv-CAP表现出较低的表观分子量和较高的短支(聚合度(DP)≤5,13.3%)和中支(5 h - nmr分析显示OSA-CAP的取代度(DS)根据CAP与OSA的比值而变化(Ec-CAP的取代度为0.021-0.058,Vv-CAP的取代度为0.011-0.066)。在短枝上与OSA进行酯化反应导致消化速度减慢和抗性淀粉比例增加。此外,该工艺还提高了cap的乳化性能,改善了葛根素的水溶性。asa修饰的cap在制药应用方面很有前景。补充资料:在线版本包含补充资料,下载地址为10.1007/s10068-025-01892-1。
本文章由计算机程序翻译,如有差异,请以英文原文为准。

Structural and functional variations of octenyl succinylated clustered amylopectin produced by distinctive glycogen branching enzymes

Structural and functional variations of octenyl succinylated clustered amylopectin produced by distinctive glycogen branching enzymes

Clustered amylopectins (CAPs) were produced using recombinant glycogen branching enzymes from Escherichia coli K12 (EcGBE) and Vibrio vulnificus (VvGBE). The CAPs were esterified with octenyl succinic anhydride (OSA), introducing novel functional characteristics. Vv-CAP demonstrated a reduced apparent molecular weight and a higher prevalence of both short (degree of polymerization (DP) ≤ 5, 13.3%) and medium branches (5 < DP ≤ 12, 58.2%) compared to Ec-CAP. FT-IR spectra confirmed the successful esterification of CAPs with OSA. 1H-NMR analysis showed the degree of substitution (DS) for OSA-CAPs varied based on the CAP to OSA ratio (DS 0.021–0.058 for Ec-CAP and 0.011–0.066 for Vv-CAP). Esterification with OSA on shortened branches resulted in a slower digestion rate and increased resistant starch proportion. Additionally, this process enhanced the emulsifying properties of CAPs and improved the aqueous solubility of puerarin. OSA-modified CAPs are promising for pharmaceutical applications.

求助全文
通过发布文献求助,成功后即可免费获取论文全文。 去求助
来源期刊
Food Science and Biotechnology
Food Science and Biotechnology FOOD SCIENCE & TECHNOLOGY-
CiteScore
5.40
自引率
3.40%
发文量
174
审稿时长
2.3 months
期刊介绍: The FSB journal covers food chemistry and analysis for compositional and physiological activity changes, food hygiene and toxicology, food microbiology and biotechnology, and food engineering involved in during and after food processing through physical, chemical, and biological ways. Consumer perception and sensory evaluation on processed foods are accepted only when they are relevant to the laboratory research work. As a general rule, manuscripts dealing with analysis and efficacy of extracts from natural resources prior to the processing or without any related food processing may not be considered within the scope of the journal. The FSB journal does not deal with only local interest and a lack of significant scientific merit. The main scope of our journal is seeking for human health and wellness through constructive works and new findings in food science and biotechnology field.
×
引用
GB/T 7714-2015
复制
MLA
复制
APA
复制
导出至
BibTeX EndNote RefMan NoteFirst NoteExpress
×
提示
您的信息不完整,为了账户安全,请先补充。
现在去补充
×
提示
您因"违规操作"
具体请查看互助需知
我知道了
×
提示
确定
请完成安全验证×
copy
已复制链接
快去分享给好友吧!
我知道了
右上角分享
点击右上角分享
0
联系我们:info@booksci.cn Book学术提供免费学术资源搜索服务,方便国内外学者检索中英文文献。致力于提供最便捷和优质的服务体验。 Copyright © 2023 布克学术 All rights reserved.
京ICP备2023020795号-1
ghs 京公网安备 11010802042870号
Book学术文献互助
Book学术文献互助群
群 号:604180095
Book学术官方微信