系统生物学教育的挑战与机遇。

IF 4.6
Endocrine-related cancer Pub Date : 2025-06-19 Print Date: 2025-06-01 DOI:10.1530/ERC-25-0024
Jeff Didier, Sophia Croce, Salma Bayoumi, Elena Valceschini, Hugues Escoffier, Evelyn Gonzalez, Ali Kishk, Apurva Badkas, Sébastien De Landtsheer, Thomas Sauter
{"title":"系统生物学教育的挑战与机遇。","authors":"Jeff Didier, Sophia Croce, Salma Bayoumi, Elena Valceschini, Hugues Escoffier, Evelyn Gonzalez, Ali Kishk, Apurva Badkas, Sébastien De Landtsheer, Thomas Sauter","doi":"10.1530/ERC-25-0024","DOIUrl":null,"url":null,"abstract":"<p><p>Systems biology requires combining deep understanding in biology with technological methods and computational approaches to acquire new insights. Accordingly, students need to gain knowledge in very different disciplines and their integration to succeed in this truly interdisciplinary field. This review summarizes a variety of study lines at the master's level and uses student and alumni feedback to highlight the main challenges and useful teaching approaches. Education in systems biology needs to be carefully designed to deliver deep knowledge in core aspects while still giving a broad overview of others. Teachers will need to find a good balance here. Integrated experimental and computational courses, as well as active learning approaches, can be key components of successful curricula. Training native systems biologists needs commitment by teachers and institutions and should start as early as possible.</p>","PeriodicalId":93989,"journal":{"name":"Endocrine-related cancer","volume":" ","pages":""},"PeriodicalIF":4.6000,"publicationDate":"2025-06-19","publicationTypes":"Journal Article","fieldsOfStudy":null,"isOpenAccess":false,"openAccessPdf":"https://www.ncbi.nlm.nih.gov/pmc/articles/PMC12186286/pdf/","citationCount":"0","resultStr":"{\"title\":\"Challenges and opportunities in systems biology education.\",\"authors\":\"Jeff Didier, Sophia Croce, Salma Bayoumi, Elena Valceschini, Hugues Escoffier, Evelyn Gonzalez, Ali Kishk, Apurva Badkas, Sébastien De Landtsheer, Thomas Sauter\",\"doi\":\"10.1530/ERC-25-0024\",\"DOIUrl\":null,\"url\":null,\"abstract\":\"<p><p>Systems biology requires combining deep understanding in biology with technological methods and computational approaches to acquire new insights. Accordingly, students need to gain knowledge in very different disciplines and their integration to succeed in this truly interdisciplinary field. This review summarizes a variety of study lines at the master's level and uses student and alumni feedback to highlight the main challenges and useful teaching approaches. Education in systems biology needs to be carefully designed to deliver deep knowledge in core aspects while still giving a broad overview of others. Teachers will need to find a good balance here. Integrated experimental and computational courses, as well as active learning approaches, can be key components of successful curricula. Training native systems biologists needs commitment by teachers and institutions and should start as early as possible.</p>\",\"PeriodicalId\":93989,\"journal\":{\"name\":\"Endocrine-related cancer\",\"volume\":\" \",\"pages\":\"\"},\"PeriodicalIF\":4.6000,\"publicationDate\":\"2025-06-19\",\"publicationTypes\":\"Journal Article\",\"fieldsOfStudy\":null,\"isOpenAccess\":false,\"openAccessPdf\":\"https://www.ncbi.nlm.nih.gov/pmc/articles/PMC12186286/pdf/\",\"citationCount\":\"0\",\"resultStr\":null,\"platform\":\"Semanticscholar\",\"paperid\":null,\"PeriodicalName\":\"Endocrine-related cancer\",\"FirstCategoryId\":\"1085\",\"ListUrlMain\":\"https://doi.org/10.1530/ERC-25-0024\",\"RegionNum\":0,\"RegionCategory\":null,\"ArticlePicture\":[],\"TitleCN\":null,\"AbstractTextCN\":null,\"PMCID\":null,\"EPubDate\":\"2025/6/1 0:00:00\",\"PubModel\":\"Print\",\"JCR\":\"\",\"JCRName\":\"\",\"Score\":null,\"Total\":0}","platform":"Semanticscholar","paperid":null,"PeriodicalName":"Endocrine-related cancer","FirstCategoryId":"1085","ListUrlMain":"https://doi.org/10.1530/ERC-25-0024","RegionNum":0,"RegionCategory":null,"ArticlePicture":[],"TitleCN":null,"AbstractTextCN":null,"PMCID":null,"EPubDate":"2025/6/1 0:00:00","PubModel":"Print","JCR":"","JCRName":"","Score":null,"Total":0}
引用次数: 0

摘要

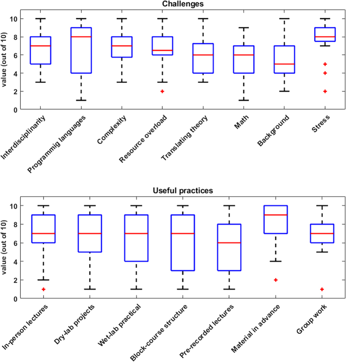
系统生物学需要将对生物学的深刻理解与技术方法和计算方法相结合,以获得新的见解。因此,学生需要在非常不同的学科和他们的整合中获得知识,才能在这个真正的跨学科领域取得成功。本综述总结了硕士水平的各种学习路线,并利用学生和校友的反馈来突出主要挑战和有用的教学方法。系统生物学的教育需要精心设计,以便在核心方面提供深入的知识,同时还能对其他方面进行广泛的概述。教师需要在这里找到一个好的平衡。综合实验和计算课程,以及主动学习方法可以成为成功课程的关键组成部分。培训本地系统生物学家需要教师和机构的承诺,并应尽早开始。
本文章由计算机程序翻译,如有差异,请以英文原文为准。

Challenges and opportunities in systems biology education.

Challenges and opportunities in systems biology education.

Challenges and opportunities in systems biology education.

Challenges and opportunities in systems biology education.

Systems biology requires combining deep understanding in biology with technological methods and computational approaches to acquire new insights. Accordingly, students need to gain knowledge in very different disciplines and their integration to succeed in this truly interdisciplinary field. This review summarizes a variety of study lines at the master's level and uses student and alumni feedback to highlight the main challenges and useful teaching approaches. Education in systems biology needs to be carefully designed to deliver deep knowledge in core aspects while still giving a broad overview of others. Teachers will need to find a good balance here. Integrated experimental and computational courses, as well as active learning approaches, can be key components of successful curricula. Training native systems biologists needs commitment by teachers and institutions and should start as early as possible.

求助全文
通过发布文献求助,成功后即可免费获取论文全文。 去求助
来源期刊
自引率
0.00%
发文量
0
×
引用
GB/T 7714-2015
复制
MLA
复制
APA
复制
导出至
BibTeX EndNote RefMan NoteFirst NoteExpress
×
提示
您的信息不完整,为了账户安全,请先补充。
现在去补充
×
提示
您因"违规操作"
具体请查看互助需知
我知道了
×
提示
确定
请完成安全验证×
copy
已复制链接
快去分享给好友吧!
我知道了
右上角分享
点击右上角分享
0
联系我们:info@booksci.cn Book学术提供免费学术资源搜索服务,方便国内外学者检索中英文文献。致力于提供最便捷和优质的服务体验。 Copyright © 2023 布克学术 All rights reserved.
京ICP备2023020795号-1
ghs 京公网安备 11010802042870号
Book学术文献互助
Book学术文献互助群
群 号:604180095
Book学术官方微信