在印度南部的病态肥胖妇女中筛查脂肪变性肝病的简单门诊生物标志物面板的性能

TouchREVIEWS in endocrinology Pub Date : 2025-05-01 Epub Date: 2025-03-05 DOI:10.17925/EE.2025.21.1.3
Shubhashis Saha, Shaleen Dass, Kripa Elizabeth Cherian, Stephen A Jiwanmall, Dheeraj Kattula, Sandhiya Reddy, Rajeeb Jaleel, Thomas V Paul, Nitin Kapoor
{"title":"在印度南部的病态肥胖妇女中筛查脂肪变性肝病的简单门诊生物标志物面板的性能","authors":"Shubhashis Saha, Shaleen Dass, Kripa Elizabeth Cherian, Stephen A Jiwanmall, Dheeraj Kattula, Sandhiya Reddy, Rajeeb Jaleel, Thomas V Paul, Nitin Kapoor","doi":"10.17925/EE.2025.21.1.3","DOIUrl":null,"url":null,"abstract":"<p><strong>Background: </strong>Non-alcoholic fatty liver disease (NAFLD) and related health issues are increasing in Indian women with morbid obesity, but the standard diagnostic tool - abdominal ultrasound sonography (USG) - is costly and less accessible. This study aims to identify an affordable and effective biomarker panel to improve early detection and screening of NAFLD in resource-l imited settings.</p><p><strong>Methods: </strong>This cross-sectional study included 106 consecutive patients aged between 18 and 70 years with morbid obesity defined by body mass index (BMI) ≥32.5 kg/m<sup>2</sup> who underwent an abdominal USG for a non-hepatic indication. The serum biomarker indices used were hepatic steatosis index, lipid accumulation product (LAP), Framingham steatosis index, triglyceride-glucose (TyG) index, TyG weight-to-height ratio composite index, TyG-BMI and TyG waist circumference composite index.</p><p><strong>Results: </strong>The mean age was 40.2 ± 10.9 years, and the mean BMI was 41.5 ± 5.8 kg/m<sup>2</sup>. NAFLD was diagnosed in 71.7% of the participants. The TyG index showed the highest diagnostic accuracy with an area under the receiver operating characteristic curve (AUROC) of 0.835 (confidence interval [CI]: 0.713-0.957, p<0.001), with a sensitivity of 95.1% and a specificity of 70.8% at a cut-off of 9.0994. LAP showed an AUROC of 0.711 (CI: 0.584-0.838, p-value: 0.002). Using a cut-off score of 76.2, the sensitivity and specificity were 71.2 and 70.8%, respectively.</p><p><strong>Conclusion: </strong>Simple screening tools can be used to detect fatty liver disease in clinical practice. In our cohort, TyG index was found to be the best tool for identifying NAFLD, with LAP showing potential as a secondary option.</p>","PeriodicalId":75231,"journal":{"name":"TouchREVIEWS in endocrinology","volume":"21 1","pages":"48-54"},"PeriodicalIF":0.0000,"publicationDate":"2025-05-01","publicationTypes":"Journal Article","fieldsOfStudy":null,"isOpenAccess":false,"openAccessPdf":"https://www.ncbi.nlm.nih.gov/pmc/articles/PMC12140639/pdf/","citationCount":"0","resultStr":"{\"title\":\"Performance of Simple Outpatient-based Biomarker Panels for Screening of Steatotic Liver Disease in Women with Morbid Obesity from Southern India.\",\"authors\":\"Shubhashis Saha, Shaleen Dass, Kripa Elizabeth Cherian, Stephen A Jiwanmall, Dheeraj Kattula, Sandhiya Reddy, Rajeeb Jaleel, Thomas V Paul, Nitin Kapoor\",\"doi\":\"10.17925/EE.2025.21.1.3\",\"DOIUrl\":null,\"url\":null,\"abstract\":\"<p><strong>Background: </strong>Non-alcoholic fatty liver disease (NAFLD) and related health issues are increasing in Indian women with morbid obesity, but the standard diagnostic tool - abdominal ultrasound sonography (USG) - is costly and less accessible. This study aims to identify an affordable and effective biomarker panel to improve early detection and screening of NAFLD in resource-l imited settings.</p><p><strong>Methods: </strong>This cross-sectional study included 106 consecutive patients aged between 18 and 70 years with morbid obesity defined by body mass index (BMI) ≥32.5 kg/m<sup>2</sup> who underwent an abdominal USG for a non-hepatic indication. The serum biomarker indices used were hepatic steatosis index, lipid accumulation product (LAP), Framingham steatosis index, triglyceride-glucose (TyG) index, TyG weight-to-height ratio composite index, TyG-BMI and TyG waist circumference composite index.</p><p><strong>Results: </strong>The mean age was 40.2 ± 10.9 years, and the mean BMI was 41.5 ± 5.8 kg/m<sup>2</sup>. NAFLD was diagnosed in 71.7% of the participants. The TyG index showed the highest diagnostic accuracy with an area under the receiver operating characteristic curve (AUROC) of 0.835 (confidence interval [CI]: 0.713-0.957, p<0.001), with a sensitivity of 95.1% and a specificity of 70.8% at a cut-off of 9.0994. LAP showed an AUROC of 0.711 (CI: 0.584-0.838, p-value: 0.002). Using a cut-off score of 76.2, the sensitivity and specificity were 71.2 and 70.8%, respectively.</p><p><strong>Conclusion: </strong>Simple screening tools can be used to detect fatty liver disease in clinical practice. In our cohort, TyG index was found to be the best tool for identifying NAFLD, with LAP showing potential as a secondary option.</p>\",\"PeriodicalId\":75231,\"journal\":{\"name\":\"TouchREVIEWS in endocrinology\",\"volume\":\"21 1\",\"pages\":\"48-54\"},\"PeriodicalIF\":0.0000,\"publicationDate\":\"2025-05-01\",\"publicationTypes\":\"Journal Article\",\"fieldsOfStudy\":null,\"isOpenAccess\":false,\"openAccessPdf\":\"https://www.ncbi.nlm.nih.gov/pmc/articles/PMC12140639/pdf/\",\"citationCount\":\"0\",\"resultStr\":null,\"platform\":\"Semanticscholar\",\"paperid\":null,\"PeriodicalName\":\"TouchREVIEWS in endocrinology\",\"FirstCategoryId\":\"1085\",\"ListUrlMain\":\"https://doi.org/10.17925/EE.2025.21.1.3\",\"RegionNum\":0,\"RegionCategory\":null,\"ArticlePicture\":[],\"TitleCN\":null,\"AbstractTextCN\":null,\"PMCID\":null,\"EPubDate\":\"2025/3/5 0:00:00\",\"PubModel\":\"Epub\",\"JCR\":\"\",\"JCRName\":\"\",\"Score\":null,\"Total\":0}","platform":"Semanticscholar","paperid":null,"PeriodicalName":"TouchREVIEWS in endocrinology","FirstCategoryId":"1085","ListUrlMain":"https://doi.org/10.17925/EE.2025.21.1.3","RegionNum":0,"RegionCategory":null,"ArticlePicture":[],"TitleCN":null,"AbstractTextCN":null,"PMCID":null,"EPubDate":"2025/3/5 0:00:00","PubModel":"Epub","JCR":"","JCRName":"","Score":null,"Total":0}
引用次数: 0

摘要

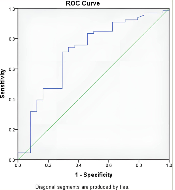
背景:非酒精性脂肪性肝病(NAFLD)及相关健康问题在印度病态肥胖女性中呈上升趋势,但标准诊断工具——腹部超声检查(USG)——价格昂贵且不易获得。本研究旨在确定一种负担得起且有效的生物标志物面板,以改善资源有限环境下NAFLD的早期检测和筛查。方法:本横断面研究纳入了106例年龄在18至70岁之间,体重指数(BMI)≥32.5 kg/m2定义为病态肥胖的患者,这些患者因非肝脏指征接受了腹部USG检查。血清生物标志物指标为肝脂肪变性指数、脂质积累积(LAP)、Framingham脂肪变性指数、甘油三酯-葡萄糖(TyG)指数、TyG体重身高比复合指数、TyG- bmi和TyG腰围复合指数。结果:平均年龄40.2±10.9岁,平均BMI为41.5±5.8 kg/m2。71.7%的参与者被诊断为NAFLD。TyG指数诊断准确率最高,受试者工作特征曲线下面积(AUROC)为0.835(置信区间[CI]: 0.713-0.957)。结论:简单的筛查工具可用于临床检测脂肪肝。在我们的队列中,TyG指数被发现是识别NAFLD的最佳工具,LAP显示出作为次要选择的潜力。
本文章由计算机程序翻译,如有差异,请以英文原文为准。

Performance of Simple Outpatient-based Biomarker Panels for Screening of Steatotic Liver Disease in Women with Morbid Obesity from Southern India.

Performance of Simple Outpatient-based Biomarker Panels for Screening of Steatotic Liver Disease in Women with Morbid Obesity from Southern India.

Performance of Simple Outpatient-based Biomarker Panels for Screening of Steatotic Liver Disease in Women with Morbid Obesity from Southern India.

Background: Non-alcoholic fatty liver disease (NAFLD) and related health issues are increasing in Indian women with morbid obesity, but the standard diagnostic tool - abdominal ultrasound sonography (USG) - is costly and less accessible. This study aims to identify an affordable and effective biomarker panel to improve early detection and screening of NAFLD in resource-l imited settings.

Methods: This cross-sectional study included 106 consecutive patients aged between 18 and 70 years with morbid obesity defined by body mass index (BMI) ≥32.5 kg/m2 who underwent an abdominal USG for a non-hepatic indication. The serum biomarker indices used were hepatic steatosis index, lipid accumulation product (LAP), Framingham steatosis index, triglyceride-glucose (TyG) index, TyG weight-to-height ratio composite index, TyG-BMI and TyG waist circumference composite index.

Results: The mean age was 40.2 ± 10.9 years, and the mean BMI was 41.5 ± 5.8 kg/m2. NAFLD was diagnosed in 71.7% of the participants. The TyG index showed the highest diagnostic accuracy with an area under the receiver operating characteristic curve (AUROC) of 0.835 (confidence interval [CI]: 0.713-0.957, p<0.001), with a sensitivity of 95.1% and a specificity of 70.8% at a cut-off of 9.0994. LAP showed an AUROC of 0.711 (CI: 0.584-0.838, p-value: 0.002). Using a cut-off score of 76.2, the sensitivity and specificity were 71.2 and 70.8%, respectively.

Conclusion: Simple screening tools can be used to detect fatty liver disease in clinical practice. In our cohort, TyG index was found to be the best tool for identifying NAFLD, with LAP showing potential as a secondary option.

求助全文
通过发布文献求助,成功后即可免费获取论文全文。 去求助
来源期刊
CiteScore
2.40
自引率
0.00%
发文量
0
×
引用
GB/T 7714-2015
复制
MLA
复制
APA
复制
导出至
BibTeX EndNote RefMan NoteFirst NoteExpress
×
提示
您的信息不完整,为了账户安全,请先补充。
现在去补充
×
提示
您因"违规操作"
具体请查看互助需知
我知道了
×
提示
确定
请完成安全验证×
copy
已复制链接
快去分享给好友吧!
我知道了
右上角分享
点击右上角分享
0
联系我们:info@booksci.cn Book学术提供免费学术资源搜索服务,方便国内外学者检索中英文文献。致力于提供最便捷和优质的服务体验。 Copyright © 2023 布克学术 All rights reserved.
京ICP备2023020795号-1
ghs 京公网安备 11010802042870号
Book学术文献互助
Book学术文献互助群
群 号:604180095
Book学术官方微信