血清神经丝光优于胶质纤维酸性蛋白区分散发性额颞叶痴呆和迟发性原发性精神疾病:一项回顾性DIPPA-FTD研究。

IF 2.4 Q3 CLINICAL NEUROLOGY
BMJ Neurology Open Pub Date : 2025-06-01 eCollection Date: 2025-01-01 DOI:10.1136/bmjno-2024-001007
Sterre Catharina Maria de Boer, Chiara Fenoglio, Andrea Arighi, Lisa Wissink, Lina Riedl, Ishana Rue, Ramon Landin-Romero, Sophie Matis, Zac Chatterton, Glenda M Halliday, Janine Diehl-Schmid, Olivier Piguet, Inge M W Verberk, Charlotte E Teunissen, Simon Ducharme, Sven J van der Lee, Yolande A L Pijnenburg, Daniela Galimberti
{"title":"血清神经丝光优于胶质纤维酸性蛋白区分散发性额颞叶痴呆和迟发性原发性精神疾病:一项回顾性DIPPA-FTD研究。","authors":"Sterre Catharina Maria de Boer, Chiara Fenoglio, Andrea Arighi, Lisa Wissink, Lina Riedl, Ishana Rue, Ramon Landin-Romero, Sophie Matis, Zac Chatterton, Glenda M Halliday, Janine Diehl-Schmid, Olivier Piguet, Inge M W Verberk, Charlotte E Teunissen, Simon Ducharme, Sven J van der Lee, Yolande A L Pijnenburg, Daniela Galimberti","doi":"10.1136/bmjno-2024-001007","DOIUrl":null,"url":null,"abstract":"<p><strong>Background: </strong>Sporadic behavioural variant frontotemporal dementia (bvFTD) is often misdiagnosed as late-onset primary psychiatric disorder (PPD). Previous research in small sample sizes has shown that neurofilament light (NfL) and glial fibrillary acidic protein (GFAP) are promising biomarkers to distinguish FTD from PPD. We aimed to investigate the discriminative value of NfL and GFAP in a multicentre cohort of sporadic bvFTD and late-onset PPD.</p><p><strong>Methods: </strong>In total, n=275 sporadic bvFTD and n=82 PPD were included from our DIPPA-FTD study. Baseline serum NfL and GFAP levels were measured using Simoa. Biomarker levels were compared between groups. The effect of age and sex on NfL and GFAP was measured using linear regression models. Discriminative accuracies were assessed using logistic regression models and receiver operating characteristic curves, corrected for age and sex. Within a subset of bvFTD patients who were deceased, the prognostic value of biomarkers was assessed by correlating disease duration (age at death minus age at blood sampling) with biomarker levels.</p><p><strong>Results: </strong>Significantly higher serum median NfL and GFAP levels were found in sporadic bvFTD (NfL 33.3 pg/mL, IQR (19.6-49.6); GFAP 124.5 pg/mL, IQR (83.5-181.6)) compared with PPD (NfL 12.2 pg/mL, IQR (9.8-17.9); GFAP 68.9 pg/mL, IQR (50.6-95.0), both p<0.001). Discriminative performance was AUC=0.872 for NfL, AUC=0.787 for GFAP and AUC=0.878 for NfL+GFAP (DeLong's p for NfL+GFAP versus NfL AUCs: p=0.286). A shorter disease duration was significantly correlated with higher NfL, but not GFAP.</p><p><strong>Conclusion: </strong>Our study found that serum GFAP does not provide additional value as a discriminative marker compared with serum NfL alone when differentiating sporadic bvFTD from late-onset PPD.</p>","PeriodicalId":52754,"journal":{"name":"BMJ Neurology Open","volume":"7 1","pages":"e001007"},"PeriodicalIF":2.4000,"publicationDate":"2025-06-01","publicationTypes":"Journal Article","fieldsOfStudy":null,"isOpenAccess":false,"openAccessPdf":"https://www.ncbi.nlm.nih.gov/pmc/articles/PMC12142094/pdf/","citationCount":"0","resultStr":"{\"title\":\"Serum neurofilament light is superior to glial fibrillary acidic protein to distinguish sporadic frontotemporal dementia from late-onset primary psychiatric disorders: a retrospective DIPPA-FTD study.\",\"authors\":\"Sterre Catharina Maria de Boer, Chiara Fenoglio, Andrea Arighi, Lisa Wissink, Lina Riedl, Ishana Rue, Ramon Landin-Romero, Sophie Matis, Zac Chatterton, Glenda M Halliday, Janine Diehl-Schmid, Olivier Piguet, Inge M W Verberk, Charlotte E Teunissen, Simon Ducharme, Sven J van der Lee, Yolande A L Pijnenburg, Daniela Galimberti\",\"doi\":\"10.1136/bmjno-2024-001007\",\"DOIUrl\":null,\"url\":null,\"abstract\":\"<p><strong>Background: </strong>Sporadic behavioural variant frontotemporal dementia (bvFTD) is often misdiagnosed as late-onset primary psychiatric disorder (PPD). Previous research in small sample sizes has shown that neurofilament light (NfL) and glial fibrillary acidic protein (GFAP) are promising biomarkers to distinguish FTD from PPD. We aimed to investigate the discriminative value of NfL and GFAP in a multicentre cohort of sporadic bvFTD and late-onset PPD.</p><p><strong>Methods: </strong>In total, n=275 sporadic bvFTD and n=82 PPD were included from our DIPPA-FTD study. Baseline serum NfL and GFAP levels were measured using Simoa. Biomarker levels were compared between groups. The effect of age and sex on NfL and GFAP was measured using linear regression models. Discriminative accuracies were assessed using logistic regression models and receiver operating characteristic curves, corrected for age and sex. Within a subset of bvFTD patients who were deceased, the prognostic value of biomarkers was assessed by correlating disease duration (age at death minus age at blood sampling) with biomarker levels.</p><p><strong>Results: </strong>Significantly higher serum median NfL and GFAP levels were found in sporadic bvFTD (NfL 33.3 pg/mL, IQR (19.6-49.6); GFAP 124.5 pg/mL, IQR (83.5-181.6)) compared with PPD (NfL 12.2 pg/mL, IQR (9.8-17.9); GFAP 68.9 pg/mL, IQR (50.6-95.0), both p<0.001). Discriminative performance was AUC=0.872 for NfL, AUC=0.787 for GFAP and AUC=0.878 for NfL+GFAP (DeLong's p for NfL+GFAP versus NfL AUCs: p=0.286). A shorter disease duration was significantly correlated with higher NfL, but not GFAP.</p><p><strong>Conclusion: </strong>Our study found that serum GFAP does not provide additional value as a discriminative marker compared with serum NfL alone when differentiating sporadic bvFTD from late-onset PPD.</p>\",\"PeriodicalId\":52754,\"journal\":{\"name\":\"BMJ Neurology Open\",\"volume\":\"7 1\",\"pages\":\"e001007\"},\"PeriodicalIF\":2.4000,\"publicationDate\":\"2025-06-01\",\"publicationTypes\":\"Journal Article\",\"fieldsOfStudy\":null,\"isOpenAccess\":false,\"openAccessPdf\":\"https://www.ncbi.nlm.nih.gov/pmc/articles/PMC12142094/pdf/\",\"citationCount\":\"0\",\"resultStr\":null,\"platform\":\"Semanticscholar\",\"paperid\":null,\"PeriodicalName\":\"BMJ Neurology Open\",\"FirstCategoryId\":\"1085\",\"ListUrlMain\":\"https://doi.org/10.1136/bmjno-2024-001007\",\"RegionNum\":0,\"RegionCategory\":null,\"ArticlePicture\":[],\"TitleCN\":null,\"AbstractTextCN\":null,\"PMCID\":null,\"EPubDate\":\"2025/1/1 0:00:00\",\"PubModel\":\"eCollection\",\"JCR\":\"Q3\",\"JCRName\":\"CLINICAL NEUROLOGY\",\"Score\":null,\"Total\":0}","platform":"Semanticscholar","paperid":null,"PeriodicalName":"BMJ Neurology Open","FirstCategoryId":"1085","ListUrlMain":"https://doi.org/10.1136/bmjno-2024-001007","RegionNum":0,"RegionCategory":null,"ArticlePicture":[],"TitleCN":null,"AbstractTextCN":null,"PMCID":null,"EPubDate":"2025/1/1 0:00:00","PubModel":"eCollection","JCR":"Q3","JCRName":"CLINICAL NEUROLOGY","Score":null,"Total":0}
引用次数: 0

摘要

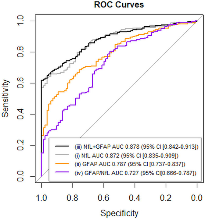
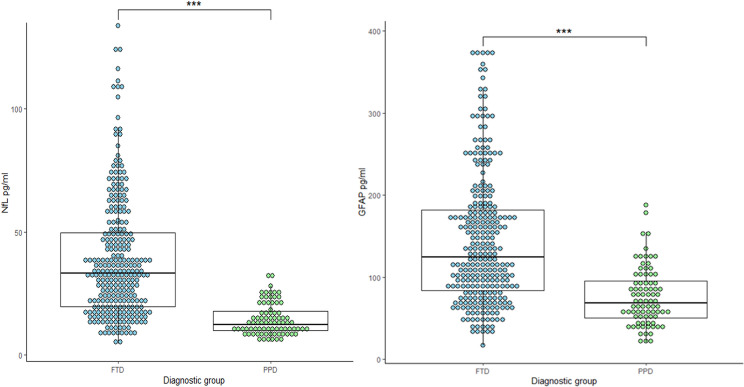
背景:散发性行为变异性额颞叶痴呆(bvFTD)常被误诊为迟发性原发性精神障碍(PPD)。先前的小样本研究表明,神经丝光(NfL)和胶质纤维酸性蛋白(GFAP)是区分FTD和PPD的有希望的生物标志物。我们的目的是研究NfL和GFAP在散发性bvFTD和晚发性PPD的多中心队列中的鉴别价值。方法:我们的DIPPA-FTD研究共纳入n=275例散发性bvFTD和n=82例PPD。基线血清NfL和GFAP水平用Simoa测定。比较各组间生物标志物水平。使用线性回归模型测量年龄和性别对NfL和GFAP的影响。使用逻辑回归模型和受试者工作特征曲线评估判别准确性,并对年龄和性别进行校正。在一组死亡的bvFTD患者中,通过将疾病持续时间(死亡时年龄减去采血时年龄)与生物标志物水平的相关性来评估生物标志物的预后价值。结果:散发性bvFTD患者血清中位NfL和GFAP水平显著升高(NfL 33.3 pg/mL, IQR (19.6-49.6);GFAP 124.5 pg/mL, IQR(83.5-181.6))与PPD (NfL 12.2 pg/mL, IQR (9.8-17.9);GFAP 68.9 pg/mL, IQR(50.6-95.0),两者均为p结论:我们的研究发现血清GFAP与单独血清NfL相比,在区分散发性bvFTD和晚发性PPD时没有提供额外的价值。
本文章由计算机程序翻译,如有差异,请以英文原文为准。

Serum neurofilament light is superior to glial fibrillary acidic protein to distinguish sporadic frontotemporal dementia from late-onset primary psychiatric disorders: a retrospective DIPPA-FTD study.

Serum neurofilament light is superior to glial fibrillary acidic protein to distinguish sporadic frontotemporal dementia from late-onset primary psychiatric disorders: a retrospective DIPPA-FTD study.

Serum neurofilament light is superior to glial fibrillary acidic protein to distinguish sporadic frontotemporal dementia from late-onset primary psychiatric disorders: a retrospective DIPPA-FTD study.

Serum neurofilament light is superior to glial fibrillary acidic protein to distinguish sporadic frontotemporal dementia from late-onset primary psychiatric disorders: a retrospective DIPPA-FTD study.

Background: Sporadic behavioural variant frontotemporal dementia (bvFTD) is often misdiagnosed as late-onset primary psychiatric disorder (PPD). Previous research in small sample sizes has shown that neurofilament light (NfL) and glial fibrillary acidic protein (GFAP) are promising biomarkers to distinguish FTD from PPD. We aimed to investigate the discriminative value of NfL and GFAP in a multicentre cohort of sporadic bvFTD and late-onset PPD.

Methods: In total, n=275 sporadic bvFTD and n=82 PPD were included from our DIPPA-FTD study. Baseline serum NfL and GFAP levels were measured using Simoa. Biomarker levels were compared between groups. The effect of age and sex on NfL and GFAP was measured using linear regression models. Discriminative accuracies were assessed using logistic regression models and receiver operating characteristic curves, corrected for age and sex. Within a subset of bvFTD patients who were deceased, the prognostic value of biomarkers was assessed by correlating disease duration (age at death minus age at blood sampling) with biomarker levels.

Results: Significantly higher serum median NfL and GFAP levels were found in sporadic bvFTD (NfL 33.3 pg/mL, IQR (19.6-49.6); GFAP 124.5 pg/mL, IQR (83.5-181.6)) compared with PPD (NfL 12.2 pg/mL, IQR (9.8-17.9); GFAP 68.9 pg/mL, IQR (50.6-95.0), both p<0.001). Discriminative performance was AUC=0.872 for NfL, AUC=0.787 for GFAP and AUC=0.878 for NfL+GFAP (DeLong's p for NfL+GFAP versus NfL AUCs: p=0.286). A shorter disease duration was significantly correlated with higher NfL, but not GFAP.

Conclusion: Our study found that serum GFAP does not provide additional value as a discriminative marker compared with serum NfL alone when differentiating sporadic bvFTD from late-onset PPD.

求助全文
通过发布文献求助,成功后即可免费获取论文全文。 去求助
来源期刊
BMJ Neurology Open
BMJ Neurology Open Medicine-Neurology (clinical)
CiteScore
3.20
自引率
3.70%
发文量
46
审稿时长
13 weeks
×
引用
GB/T 7714-2015
复制
MLA
复制
APA
复制
导出至
BibTeX EndNote RefMan NoteFirst NoteExpress
×
提示
您的信息不完整,为了账户安全,请先补充。
现在去补充
×
提示
您因"违规操作"
具体请查看互助需知
我知道了
×
提示
确定
请完成安全验证×
copy
已复制链接
快去分享给好友吧!
我知道了
右上角分享
点击右上角分享
0
联系我们:info@booksci.cn Book学术提供免费学术资源搜索服务,方便国内外学者检索中英文文献。致力于提供最便捷和优质的服务体验。 Copyright © 2023 布克学术 All rights reserved.
京ICP备2023020795号-1
ghs 京公网安备 11010802042870号
Book学术文献互助
Book学术文献互助群
群 号:604180095
Book学术官方微信