米诺环素在发热性感染相关癫痫综合征(FIRES)的慢性治疗中的应用:一个病例系列和治疗策略的文献综述。

IF 1.2 Q4 CLINICAL NEUROLOGY
Lanlan Feng, Hui Li, Lei Ma, Mengmeng Hu, Bo Hui, Zhongqing Sun, Xiaomu Wang, Yuanyuan Wang, Wen Jiang
{"title":"米诺环素在发热性感染相关癫痫综合征(FIRES)的慢性治疗中的应用:一个病例系列和治疗策略的文献综述。","authors":"Lanlan Feng, Hui Li, Lei Ma, Mengmeng Hu, Bo Hui, Zhongqing Sun, Xiaomu Wang, Yuanyuan Wang, Wen Jiang","doi":"10.1186/s42494-025-00224-4","DOIUrl":null,"url":null,"abstract":"<p><p>The effectiveness of treatment for the chronic phase of febrile infection-related epilepsy syndrome (FIRES) remains uncertain. This study aimed to evaluate the therapeutic efficacy of minocycline in patients with chronic FIRES who had a poor response to conventional antiseizure medications. Three patients received 100 mg of minocycline (100 mg twice daily for 12 weeks), with effectiveness assessed based on seizure frequency, duration, type, and quality of life (using the quality of life in epilepsy-31, QOLIE-31), alongside adverse event monitoring. Results showed that one patient (Patient 3) exhibited a significant reduction in seizure duration and improved QOLIE-31 scores, with focal seizures being the only type observed after treatment. However, there was no statistically significant change in overall seizure frequency among the three patients. Additionally, a short literature review was conducted to explore various management strategies for chronic FIRES, including IL-1 receptor antagonist (anakinra) and IL-6 receptor antagonist (tocilizumab), centro-median thalamic nuclei deep brain stimulation, cannabidiol, responsive neurostimulation, intrathecal dexamethasone, ketogenic diet, and vagus nerve stimulation. In conclusion, considering the existing research on the etiological mechanisms of FIRES and based on our preliminary findings on the anti-inflammatory and antiepileptic properties of minocycline, early initiation of minocycline therapy in the chronic phase of FIRES should be explored further.Trial registrationClinicaltrials.gov (NCT05958069, retrospectively registered 22 July 2023).</p>","PeriodicalId":33628,"journal":{"name":"Acta Epileptologica","volume":"7 1","pages":"35"},"PeriodicalIF":1.2000,"publicationDate":"2025-06-06","publicationTypes":"Journal Article","fieldsOfStudy":null,"isOpenAccess":false,"openAccessPdf":"https://www.ncbi.nlm.nih.gov/pmc/articles/PMC12142932/pdf/","citationCount":"0","resultStr":"{\"title\":\"Minocycline in chronic management of febrile infection-related epilepsy syndrome (FIRES): a case series and literature review of treatment strategies.\",\"authors\":\"Lanlan Feng, Hui Li, Lei Ma, Mengmeng Hu, Bo Hui, Zhongqing Sun, Xiaomu Wang, Yuanyuan Wang, Wen Jiang\",\"doi\":\"10.1186/s42494-025-00224-4\",\"DOIUrl\":null,\"url\":null,\"abstract\":\"<p><p>The effectiveness of treatment for the chronic phase of febrile infection-related epilepsy syndrome (FIRES) remains uncertain. This study aimed to evaluate the therapeutic efficacy of minocycline in patients with chronic FIRES who had a poor response to conventional antiseizure medications. Three patients received 100 mg of minocycline (100 mg twice daily for 12 weeks), with effectiveness assessed based on seizure frequency, duration, type, and quality of life (using the quality of life in epilepsy-31, QOLIE-31), alongside adverse event monitoring. Results showed that one patient (Patient 3) exhibited a significant reduction in seizure duration and improved QOLIE-31 scores, with focal seizures being the only type observed after treatment. However, there was no statistically significant change in overall seizure frequency among the three patients. Additionally, a short literature review was conducted to explore various management strategies for chronic FIRES, including IL-1 receptor antagonist (anakinra) and IL-6 receptor antagonist (tocilizumab), centro-median thalamic nuclei deep brain stimulation, cannabidiol, responsive neurostimulation, intrathecal dexamethasone, ketogenic diet, and vagus nerve stimulation. In conclusion, considering the existing research on the etiological mechanisms of FIRES and based on our preliminary findings on the anti-inflammatory and antiepileptic properties of minocycline, early initiation of minocycline therapy in the chronic phase of FIRES should be explored further.Trial registrationClinicaltrials.gov (NCT05958069, retrospectively registered 22 July 2023).</p>\",\"PeriodicalId\":33628,\"journal\":{\"name\":\"Acta Epileptologica\",\"volume\":\"7 1\",\"pages\":\"35\"},\"PeriodicalIF\":1.2000,\"publicationDate\":\"2025-06-06\",\"publicationTypes\":\"Journal Article\",\"fieldsOfStudy\":null,\"isOpenAccess\":false,\"openAccessPdf\":\"https://www.ncbi.nlm.nih.gov/pmc/articles/PMC12142932/pdf/\",\"citationCount\":\"0\",\"resultStr\":null,\"platform\":\"Semanticscholar\",\"paperid\":null,\"PeriodicalName\":\"Acta Epileptologica\",\"FirstCategoryId\":\"1085\",\"ListUrlMain\":\"https://doi.org/10.1186/s42494-025-00224-4\",\"RegionNum\":0,\"RegionCategory\":null,\"ArticlePicture\":[],\"TitleCN\":null,\"AbstractTextCN\":null,\"PMCID\":null,\"EPubDate\":\"\",\"PubModel\":\"\",\"JCR\":\"Q4\",\"JCRName\":\"CLINICAL NEUROLOGY\",\"Score\":null,\"Total\":0}","platform":"Semanticscholar","paperid":null,"PeriodicalName":"Acta Epileptologica","FirstCategoryId":"1085","ListUrlMain":"https://doi.org/10.1186/s42494-025-00224-4","RegionNum":0,"RegionCategory":null,"ArticlePicture":[],"TitleCN":null,"AbstractTextCN":null,"PMCID":null,"EPubDate":"","PubModel":"","JCR":"Q4","JCRName":"CLINICAL NEUROLOGY","Score":null,"Total":0}
引用次数: 0

摘要

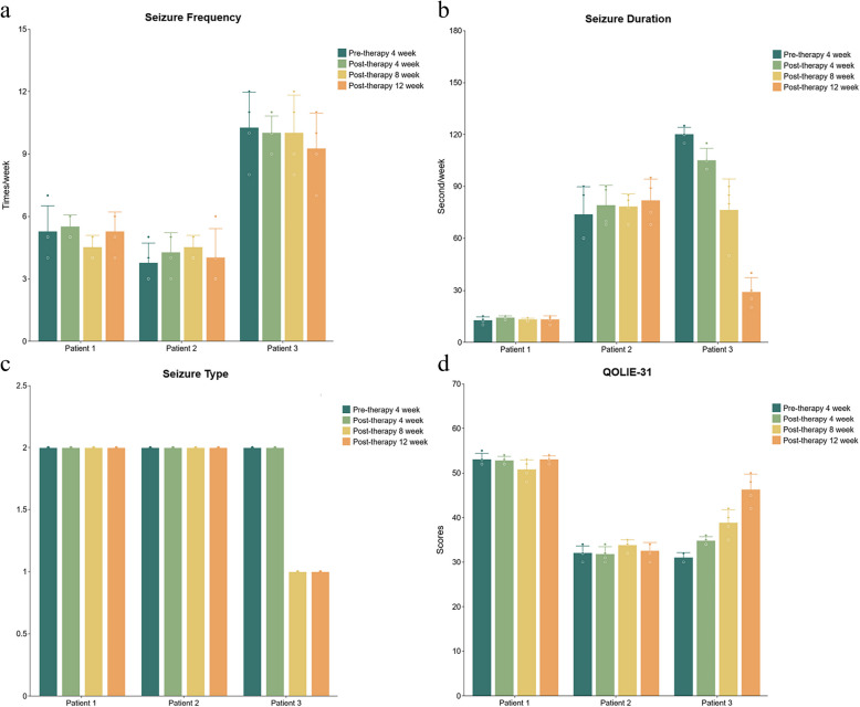
治疗慢性发热性感染相关癫痫综合征(FIRES)的有效性仍不确定。本研究旨在评估米诺环素对传统抗癫痫药物反应不佳的慢性FIRES患者的治疗效果。3例患者接受100mg米诺环素治疗(100mg每日两次,持续12周),根据癫痫发作频率、持续时间、类型和生活质量(使用癫痫患者生活质量-31,QOLIE-31)以及不良事件监测来评估疗效。结果显示,1例患者(患者3)癫痫发作时间明显缩短,QOLIE-31评分明显提高,治疗后唯一观察到局灶性癫痫发作。然而,三名患者的总体癫痫发作频率没有统计学上的显著变化。此外,一篇简短的文献综述探讨了慢性FIRES的各种管理策略,包括IL-1受体拮抗剂(anakinra)和IL-6受体拮抗剂(tocilizumab),丘脑中央-正中核深部脑刺激,大麻二酚,反应性神经刺激,鞘内地塞米松,生酮饮食和迷走神经刺激。综上所述,考虑到目前对FIRES病因机制的研究,并基于我们对米诺环素抗炎和抗癫痫作用的初步发现,应进一步探索在FIRES慢年期早期开始米诺环素治疗。试验注册:clinicaltrials .gov (NCT05958069,回顾性注册于2023年7月22日)。
本文章由计算机程序翻译,如有差异,请以英文原文为准。

Minocycline in chronic management of febrile infection-related epilepsy syndrome (FIRES): a case series and literature review of treatment strategies.

Minocycline in chronic management of febrile infection-related epilepsy syndrome (FIRES): a case series and literature review of treatment strategies.

Minocycline in chronic management of febrile infection-related epilepsy syndrome (FIRES): a case series and literature review of treatment strategies.

The effectiveness of treatment for the chronic phase of febrile infection-related epilepsy syndrome (FIRES) remains uncertain. This study aimed to evaluate the therapeutic efficacy of minocycline in patients with chronic FIRES who had a poor response to conventional antiseizure medications. Three patients received 100 mg of minocycline (100 mg twice daily for 12 weeks), with effectiveness assessed based on seizure frequency, duration, type, and quality of life (using the quality of life in epilepsy-31, QOLIE-31), alongside adverse event monitoring. Results showed that one patient (Patient 3) exhibited a significant reduction in seizure duration and improved QOLIE-31 scores, with focal seizures being the only type observed after treatment. However, there was no statistically significant change in overall seizure frequency among the three patients. Additionally, a short literature review was conducted to explore various management strategies for chronic FIRES, including IL-1 receptor antagonist (anakinra) and IL-6 receptor antagonist (tocilizumab), centro-median thalamic nuclei deep brain stimulation, cannabidiol, responsive neurostimulation, intrathecal dexamethasone, ketogenic diet, and vagus nerve stimulation. In conclusion, considering the existing research on the etiological mechanisms of FIRES and based on our preliminary findings on the anti-inflammatory and antiepileptic properties of minocycline, early initiation of minocycline therapy in the chronic phase of FIRES should be explored further.Trial registrationClinicaltrials.gov (NCT05958069, retrospectively registered 22 July 2023).

求助全文
通过发布文献求助,成功后即可免费获取论文全文。 去求助
来源期刊
Acta Epileptologica
Acta Epileptologica Medicine-Neurology (clinical)
CiteScore
2.00
自引率
0.00%
发文量
38
审稿时长
20 weeks
×
引用
GB/T 7714-2015
复制
MLA
复制
APA
复制
导出至
BibTeX EndNote RefMan NoteFirst NoteExpress
×
提示
您的信息不完整,为了账户安全,请先补充。
现在去补充
×
提示
您因"违规操作"
具体请查看互助需知
我知道了
×
提示
确定
请完成安全验证×
copy
已复制链接
快去分享给好友吧!
我知道了
右上角分享
点击右上角分享
0
联系我们:info@booksci.cn Book学术提供免费学术资源搜索服务,方便国内外学者检索中英文文献。致力于提供最便捷和优质的服务体验。 Copyright © 2023 布克学术 All rights reserved.
京ICP备2023020795号-1
ghs 京公网安备 11010802042870号
Book学术文献互助
Book学术文献互助群
群 号:604180095
Book学术官方微信