特应性患者总IgE和嗜酸性粒细胞的年龄、性别和症状依赖性变化:一项为期五年的回顾性研究

IF 3 3区 医学 Q2 ALLERGY
Journal of Asthma and Allergy Pub Date : 2025-06-03 eCollection Date: 2025-01-01 DOI:10.2147/JAA.S519591
Lei Zhao, Yiting Wu, Hui Zhu, Yanmei Lin, Hang Su, Jingwei Hu, Min Zhang, Wuping Bao
{"title":"特应性患者总IgE和嗜酸性粒细胞的年龄、性别和症状依赖性变化:一项为期五年的回顾性研究","authors":"Lei Zhao, Yiting Wu, Hui Zhu, Yanmei Lin, Hang Su, Jingwei Hu, Min Zhang, Wuping Bao","doi":"10.2147/JAA.S519591","DOIUrl":null,"url":null,"abstract":"<p><strong>Background: </strong>Total immunoglobulin E (t-IgE) and eosinophils as central effector molecular and cells are crucial biomarkers for allergic diseases. Age, sex and allergic symptoms may influence these biomarkers and the relationship among t-IgE, eosinophils, and atopic diseases remained unknown.</p><p><strong>Methods: </strong>A five-year retrospective study enrolled 7654 patients with allergic symptoms underwent allergen testing. We collected age, sex, symptoms, and complete blood counts and explored variations in t-IgE and eosinophil across demographic and clinical parameters.</p><p><strong>Results: </strong>Among atopic patients, t-IgE levels peaked in children, decreasing with age, with a slight increase in the elderly, mirroring eosinophil trends. Females consistently exhibited lower t-IgE and eosinophil levels than males, regardless of atopic status. High t-IgE and eosinophils were the most common in patients ≥12 years with respiratory symptoms. Dust mites often caused respiratory symptoms. Egg allergies typically affected the ear, nose, and throat (ENT). Seafood/peanut allergies were linked to skin symptoms. Interestingly, elevated t-IgE and eosinophil levels did not consistently correlate with positive allergen tests. Among atopic patients, 44.5% exhibited normal t-IgE, and 41.4% had normal eosinophils. In the subgroup (22.8%) with both markers normal, more were females (62.5%). Sensitization to allergens like soy, shrimp, mold combination, Artemisia argyi, common ragweed, and willow/aspen/elm may fail to elevate t-IgE and eosinophils.</p><p><strong>Conclusion: </strong>Characteristics such as older age, female, skin and ENT symptoms, and allergens may correlate with lower t-IgE and eosinophils in the allergic populations which means we should pay more attention to these population, even if their t-IgE and eosinophils are normal, the allergen test is necessary for treatment strategies.</p><p><strong>Clinical trial registration: </strong>ChiCTR2300067700 (Date of Registration: 2023-01-18).</p>","PeriodicalId":15079,"journal":{"name":"Journal of Asthma and Allergy","volume":"18 ","pages":"915-926"},"PeriodicalIF":3.0000,"publicationDate":"2025-06-03","publicationTypes":"Journal Article","fieldsOfStudy":null,"isOpenAccess":false,"openAccessPdf":"https://www.ncbi.nlm.nih.gov/pmc/articles/PMC12145109/pdf/","citationCount":"0","resultStr":"{\"title\":\"Age, Sex, and Symptom-Dependent Variations in Total IgE and Eosinophils in Atopic Patients: A Five-Year Retrospective Study.\",\"authors\":\"Lei Zhao, Yiting Wu, Hui Zhu, Yanmei Lin, Hang Su, Jingwei Hu, Min Zhang, Wuping Bao\",\"doi\":\"10.2147/JAA.S519591\",\"DOIUrl\":null,\"url\":null,\"abstract\":\"<p><strong>Background: </strong>Total immunoglobulin E (t-IgE) and eosinophils as central effector molecular and cells are crucial biomarkers for allergic diseases. Age, sex and allergic symptoms may influence these biomarkers and the relationship among t-IgE, eosinophils, and atopic diseases remained unknown.</p><p><strong>Methods: </strong>A five-year retrospective study enrolled 7654 patients with allergic symptoms underwent allergen testing. We collected age, sex, symptoms, and complete blood counts and explored variations in t-IgE and eosinophil across demographic and clinical parameters.</p><p><strong>Results: </strong>Among atopic patients, t-IgE levels peaked in children, decreasing with age, with a slight increase in the elderly, mirroring eosinophil trends. Females consistently exhibited lower t-IgE and eosinophil levels than males, regardless of atopic status. High t-IgE and eosinophils were the most common in patients ≥12 years with respiratory symptoms. Dust mites often caused respiratory symptoms. Egg allergies typically affected the ear, nose, and throat (ENT). Seafood/peanut allergies were linked to skin symptoms. Interestingly, elevated t-IgE and eosinophil levels did not consistently correlate with positive allergen tests. Among atopic patients, 44.5% exhibited normal t-IgE, and 41.4% had normal eosinophils. In the subgroup (22.8%) with both markers normal, more were females (62.5%). Sensitization to allergens like soy, shrimp, mold combination, Artemisia argyi, common ragweed, and willow/aspen/elm may fail to elevate t-IgE and eosinophils.</p><p><strong>Conclusion: </strong>Characteristics such as older age, female, skin and ENT symptoms, and allergens may correlate with lower t-IgE and eosinophils in the allergic populations which means we should pay more attention to these population, even if their t-IgE and eosinophils are normal, the allergen test is necessary for treatment strategies.</p><p><strong>Clinical trial registration: </strong>ChiCTR2300067700 (Date of Registration: 2023-01-18).</p>\",\"PeriodicalId\":15079,\"journal\":{\"name\":\"Journal of Asthma and Allergy\",\"volume\":\"18 \",\"pages\":\"915-926\"},\"PeriodicalIF\":3.0000,\"publicationDate\":\"2025-06-03\",\"publicationTypes\":\"Journal Article\",\"fieldsOfStudy\":null,\"isOpenAccess\":false,\"openAccessPdf\":\"https://www.ncbi.nlm.nih.gov/pmc/articles/PMC12145109/pdf/\",\"citationCount\":\"0\",\"resultStr\":null,\"platform\":\"Semanticscholar\",\"paperid\":null,\"PeriodicalName\":\"Journal of Asthma and Allergy\",\"FirstCategoryId\":\"3\",\"ListUrlMain\":\"https://doi.org/10.2147/JAA.S519591\",\"RegionNum\":3,\"RegionCategory\":\"医学\",\"ArticlePicture\":[],\"TitleCN\":null,\"AbstractTextCN\":null,\"PMCID\":null,\"EPubDate\":\"2025/1/1 0:00:00\",\"PubModel\":\"eCollection\",\"JCR\":\"Q2\",\"JCRName\":\"ALLERGY\",\"Score\":null,\"Total\":0}","platform":"Semanticscholar","paperid":null,"PeriodicalName":"Journal of Asthma and Allergy","FirstCategoryId":"3","ListUrlMain":"https://doi.org/10.2147/JAA.S519591","RegionNum":3,"RegionCategory":"医学","ArticlePicture":[],"TitleCN":null,"AbstractTextCN":null,"PMCID":null,"EPubDate":"2025/1/1 0:00:00","PubModel":"eCollection","JCR":"Q2","JCRName":"ALLERGY","Score":null,"Total":0}
引用次数: 0

摘要

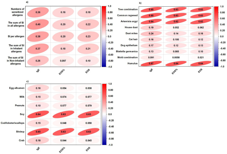
背景:总免疫球蛋白E (t-IgE)和嗜酸性粒细胞作为中心效应分子和细胞是过敏性疾病的重要生物标志物。年龄、性别和过敏症状可能影响这些生物标志物,t-IgE、嗜酸性粒细胞和特应性疾病之间的关系尚不清楚。方法:一项为期五年的回顾性研究,纳入7654例有过敏症状的患者进行过敏原检测。我们收集了年龄、性别、症状和全血细胞计数,并探讨了t-IgE和嗜酸性粒细胞在人口统计学和临床参数中的变化。结果:在特应性患者中,t-IgE水平在儿童中达到峰值,随着年龄的增长而下降,老年人略有上升,反映了嗜酸性粒细胞的趋势。无论过敏性状态如何,女性始终表现出低于男性的t-IgE和嗜酸性粒细胞水平。高t-IgE和嗜酸性粒细胞在≥12岁有呼吸道症状的患者中最常见。尘螨常引起呼吸道症状。鸡蛋过敏通常会影响耳朵、鼻子和喉咙(ENT)。海鲜/花生过敏与皮肤症状有关。有趣的是,升高的t-IgE和嗜酸性粒细胞水平与过敏原测试阳性并不一致相关。在特应性患者中,44.5%的t-IgE正常,41.4%的嗜酸性粒细胞正常。在两种标记物均正常的亚组(22.8%)中,女性较多(62.5%)。对大豆、虾、霉菌组合、艾草、普通豚草和柳树/白杨/榆树等过敏原致敏可能无法提高t-IgE和嗜酸性粒细胞。结论:老年、女性、皮肤及耳鼻喉科症状、过敏原等特征可能与过敏人群的t-IgE和嗜酸性粒细胞降低有关,应引起我们的重视,即使这些人群的t-IgE和嗜酸性粒细胞正常,也需要进行过敏原检测以制定治疗策略。临床试验注册:ChiCTR2300067700(注册日期:2023-01-18)。
本文章由计算机程序翻译,如有差异,请以英文原文为准。

Age, Sex, and Symptom-Dependent Variations in Total IgE and Eosinophils in Atopic Patients: A Five-Year Retrospective Study.

Age, Sex, and Symptom-Dependent Variations in Total IgE and Eosinophils in Atopic Patients: A Five-Year Retrospective Study.

Age, Sex, and Symptom-Dependent Variations in Total IgE and Eosinophils in Atopic Patients: A Five-Year Retrospective Study.

Age, Sex, and Symptom-Dependent Variations in Total IgE and Eosinophils in Atopic Patients: A Five-Year Retrospective Study.

Background: Total immunoglobulin E (t-IgE) and eosinophils as central effector molecular and cells are crucial biomarkers for allergic diseases. Age, sex and allergic symptoms may influence these biomarkers and the relationship among t-IgE, eosinophils, and atopic diseases remained unknown.

Methods: A five-year retrospective study enrolled 7654 patients with allergic symptoms underwent allergen testing. We collected age, sex, symptoms, and complete blood counts and explored variations in t-IgE and eosinophil across demographic and clinical parameters.

Results: Among atopic patients, t-IgE levels peaked in children, decreasing with age, with a slight increase in the elderly, mirroring eosinophil trends. Females consistently exhibited lower t-IgE and eosinophil levels than males, regardless of atopic status. High t-IgE and eosinophils were the most common in patients ≥12 years with respiratory symptoms. Dust mites often caused respiratory symptoms. Egg allergies typically affected the ear, nose, and throat (ENT). Seafood/peanut allergies were linked to skin symptoms. Interestingly, elevated t-IgE and eosinophil levels did not consistently correlate with positive allergen tests. Among atopic patients, 44.5% exhibited normal t-IgE, and 41.4% had normal eosinophils. In the subgroup (22.8%) with both markers normal, more were females (62.5%). Sensitization to allergens like soy, shrimp, mold combination, Artemisia argyi, common ragweed, and willow/aspen/elm may fail to elevate t-IgE and eosinophils.

Conclusion: Characteristics such as older age, female, skin and ENT symptoms, and allergens may correlate with lower t-IgE and eosinophils in the allergic populations which means we should pay more attention to these population, even if their t-IgE and eosinophils are normal, the allergen test is necessary for treatment strategies.

Clinical trial registration: ChiCTR2300067700 (Date of Registration: 2023-01-18).

求助全文
通过发布文献求助,成功后即可免费获取论文全文。 去求助
来源期刊
Journal of Asthma and Allergy
Journal of Asthma and Allergy Medicine-Immunology and Allergy
CiteScore
5.30
自引率
6.20%
发文量
185
审稿时长
16 weeks
期刊介绍: An international, peer-reviewed journal publishing original research, reports, editorials and commentaries on the following topics: Asthma; Pulmonary physiology; Asthma related clinical health; Clinical immunology and the immunological basis of disease; Pharmacological interventions and new therapies. Although the main focus of the journal will be to publish research and clinical results in humans, preclinical, animal and in vitro studies will be published where they shed light on disease processes and potential new therapies.
×
引用
GB/T 7714-2015
复制
MLA
复制
APA
复制
导出至
BibTeX EndNote RefMan NoteFirst NoteExpress
×
提示
您的信息不完整,为了账户安全,请先补充。
现在去补充
×
提示
您因"违规操作"
具体请查看互助需知
我知道了
×
提示
确定
请完成安全验证×
copy
已复制链接
快去分享给好友吧!
我知道了
右上角分享
点击右上角分享
0
联系我们:info@booksci.cn Book学术提供免费学术资源搜索服务,方便国内外学者检索中英文文献。致力于提供最便捷和优质的服务体验。 Copyright © 2023 布克学术 All rights reserved.
京ICP备2023020795号-1
ghs 京公网安备 11010802042870号
Book学术文献互助
Book学术文献互助群
群 号:604180095
Book学术官方微信