应用深度学习进行疑似急性冠状动脉综合征心电图解读的院前风险分层研究。

IF 4.4 Q1 HEALTH CARE SCIENCES & SERVICES
Jesse P A Demandt, Thomas P Mast, Konrad A J van Beek, Arjan Koks, Marieke C V Bastiaansen, Pim A L Tonino, Marcel van 't Veer, Frederik M Zimmermann, Pieter-Jan Vlaar
{"title":"应用深度学习进行疑似急性冠状动脉综合征心电图解读的院前风险分层研究。","authors":"Jesse P A Demandt, Thomas P Mast, Konrad A J van Beek, Arjan Koks, Marieke C V Bastiaansen, Pim A L Tonino, Marcel van 't Veer, Frederik M Zimmermann, Pieter-Jan Vlaar","doi":"10.1136/bmjhci-2024-101292","DOIUrl":null,"url":null,"abstract":"<p><strong>Objectives: </strong>Most patients presenting with chest pain in the emergency medical services (EMS) setting are suspected of non-ST-elevation acute coronary syndrome (NSTE-ACS). Distinguishing true NSTE-ACS from non-cardiac chest pain based solely on the ECG is challenging. The aim of this study is to develop and validate a convolutional neural network (CNN)-based model for risk stratification of suspected NSTE-ACS patients and to compare its performance with currently available prehospital diagnostic tools.</p><p><strong>Methods: </strong>For this study, an internal training cohort and an external validation cohort were used, both consisting of suspected NSTE-ACS patients. A CNN (ECG interpretation by CNN (ECG-AI)) was trained and validated to detect NSTE-ACS. The diagnostic value of ECG-AI in detecting NSTE-ACS was compared with on-site ECG analyses by an EMS paramedic (ECG-EMS), point-of-care troponin assessment and a validated prehospital clinical risk score (prehospital History, ECG, Age, Risk factors and POC-troponin (preHEART)).</p><p><strong>Results: </strong>A total of 5645 patients suspected of NSTE-ACS were included. In the external validation cohort (n=754), 27% were diagnosed with NSTE-ACS. ECG-AI had a better diagnostic performance than ECG-EMS (area under the curve (AUROC) 0.70 (0.66 to 0.74) vs AUROC 0.65 (0.61 to 0.70), p=0.045) for diagnosing NSTE-ACS. The overall diagnostic accuracy of preHEART was AUROC 0.78 (0.74 to 0.82) and superior compared with ECG-AI (p=0.001). Incorporating ECG-AI into preHEART led to a significant improvement in diagnostic performance (AUROC 0.83 (0.79 to 0.86), p<0.001).</p><p><strong>Discussion: </strong>Correctly identifying patients who are at low risk for having NSTE-ACS is crucial for optimal triage in the prehospital setting. Recent studies have shown that these low-risk patients could potentially be left at home or transferred to a general practitioner, leading to less emergency department overcrowding and lower healthcare costs. Other studies demonstrated better overall diagnostic performance compared with our artificial intelligence (AI) model. However, these studies were aimed at a study population with a high prevalence of occlusive myocardial infarction, which could explain the differing levels of diagnostic performance.</p><p><strong>Conclusion: </strong>Integrating AI in prehospital ECG interpretation improves the identification of patients at low risk for having NSTE-ACS. Nonetheless, clinical risk scores currently yield the best diagnostic performance and their accuracy could be further enhanced through AI. Our results pave the way for new studies focused on exploring the role of AI in prehospital risk-stratification efforts.</p>","PeriodicalId":9050,"journal":{"name":"BMJ Health & Care Informatics","volume":"32 1","pages":""},"PeriodicalIF":4.4000,"publicationDate":"2025-06-06","publicationTypes":"Journal Article","fieldsOfStudy":null,"isOpenAccess":false,"openAccessPdf":"https://www.ncbi.nlm.nih.gov/pmc/articles/PMC12161418/pdf/","citationCount":"0","resultStr":"{\"title\":\"Towards prehospital risk stratification using deep learning for ECG interpretation in suspected acute coronary syndrome.\",\"authors\":\"Jesse P A Demandt, Thomas P Mast, Konrad A J van Beek, Arjan Koks, Marieke C V Bastiaansen, Pim A L Tonino, Marcel van 't Veer, Frederik M Zimmermann, Pieter-Jan Vlaar\",\"doi\":\"10.1136/bmjhci-2024-101292\",\"DOIUrl\":null,\"url\":null,\"abstract\":\"<p><strong>Objectives: </strong>Most patients presenting with chest pain in the emergency medical services (EMS) setting are suspected of non-ST-elevation acute coronary syndrome (NSTE-ACS). Distinguishing true NSTE-ACS from non-cardiac chest pain based solely on the ECG is challenging. The aim of this study is to develop and validate a convolutional neural network (CNN)-based model for risk stratification of suspected NSTE-ACS patients and to compare its performance with currently available prehospital diagnostic tools.</p><p><strong>Methods: </strong>For this study, an internal training cohort and an external validation cohort were used, both consisting of suspected NSTE-ACS patients. A CNN (ECG interpretation by CNN (ECG-AI)) was trained and validated to detect NSTE-ACS. The diagnostic value of ECG-AI in detecting NSTE-ACS was compared with on-site ECG analyses by an EMS paramedic (ECG-EMS), point-of-care troponin assessment and a validated prehospital clinical risk score (prehospital History, ECG, Age, Risk factors and POC-troponin (preHEART)).</p><p><strong>Results: </strong>A total of 5645 patients suspected of NSTE-ACS were included. In the external validation cohort (n=754), 27% were diagnosed with NSTE-ACS. ECG-AI had a better diagnostic performance than ECG-EMS (area under the curve (AUROC) 0.70 (0.66 to 0.74) vs AUROC 0.65 (0.61 to 0.70), p=0.045) for diagnosing NSTE-ACS. The overall diagnostic accuracy of preHEART was AUROC 0.78 (0.74 to 0.82) and superior compared with ECG-AI (p=0.001). Incorporating ECG-AI into preHEART led to a significant improvement in diagnostic performance (AUROC 0.83 (0.79 to 0.86), p<0.001).</p><p><strong>Discussion: </strong>Correctly identifying patients who are at low risk for having NSTE-ACS is crucial for optimal triage in the prehospital setting. Recent studies have shown that these low-risk patients could potentially be left at home or transferred to a general practitioner, leading to less emergency department overcrowding and lower healthcare costs. Other studies demonstrated better overall diagnostic performance compared with our artificial intelligence (AI) model. However, these studies were aimed at a study population with a high prevalence of occlusive myocardial infarction, which could explain the differing levels of diagnostic performance.</p><p><strong>Conclusion: </strong>Integrating AI in prehospital ECG interpretation improves the identification of patients at low risk for having NSTE-ACS. Nonetheless, clinical risk scores currently yield the best diagnostic performance and their accuracy could be further enhanced through AI. Our results pave the way for new studies focused on exploring the role of AI in prehospital risk-stratification efforts.</p>\",\"PeriodicalId\":9050,\"journal\":{\"name\":\"BMJ Health & Care Informatics\",\"volume\":\"32 1\",\"pages\":\"\"},\"PeriodicalIF\":4.4000,\"publicationDate\":\"2025-06-06\",\"publicationTypes\":\"Journal Article\",\"fieldsOfStudy\":null,\"isOpenAccess\":false,\"openAccessPdf\":\"https://www.ncbi.nlm.nih.gov/pmc/articles/PMC12161418/pdf/\",\"citationCount\":\"0\",\"resultStr\":null,\"platform\":\"Semanticscholar\",\"paperid\":null,\"PeriodicalName\":\"BMJ Health & Care Informatics\",\"FirstCategoryId\":\"1085\",\"ListUrlMain\":\"https://doi.org/10.1136/bmjhci-2024-101292\",\"RegionNum\":0,\"RegionCategory\":null,\"ArticlePicture\":[],\"TitleCN\":null,\"AbstractTextCN\":null,\"PMCID\":null,\"EPubDate\":\"\",\"PubModel\":\"\",\"JCR\":\"Q1\",\"JCRName\":\"HEALTH CARE SCIENCES & SERVICES\",\"Score\":null,\"Total\":0}","platform":"Semanticscholar","paperid":null,"PeriodicalName":"BMJ Health & Care Informatics","FirstCategoryId":"1085","ListUrlMain":"https://doi.org/10.1136/bmjhci-2024-101292","RegionNum":0,"RegionCategory":null,"ArticlePicture":[],"TitleCN":null,"AbstractTextCN":null,"PMCID":null,"EPubDate":"","PubModel":"","JCR":"Q1","JCRName":"HEALTH CARE SCIENCES & SERVICES","Score":null,"Total":0}
引用次数: 0

摘要

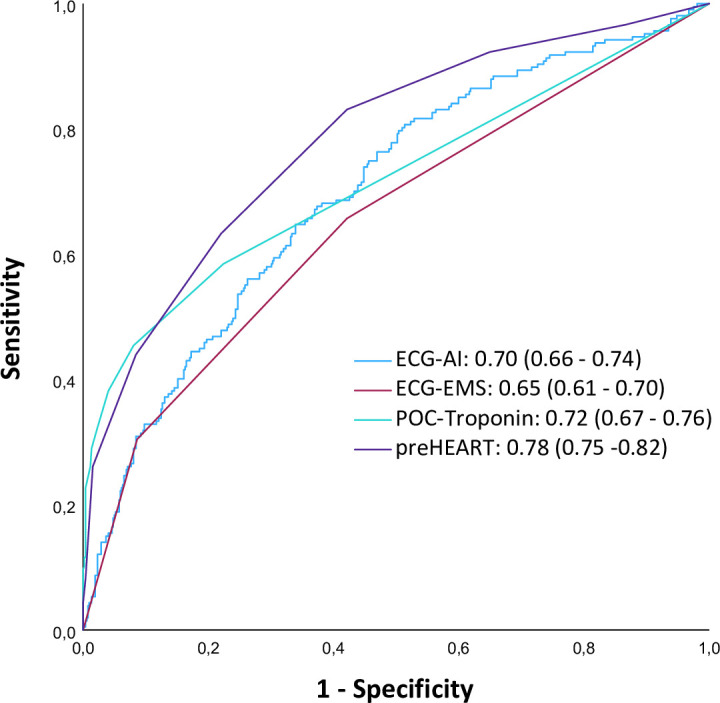
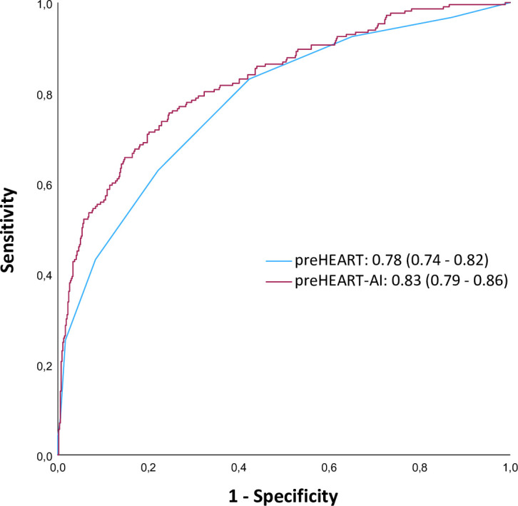
目的:大多数在急诊医疗服务(EMS)中出现胸痛的患者被怀疑为非st段抬高急性冠状动脉综合征(NSTE-ACS)。仅根据ECG来区分真正的NSTE-ACS和非心源性胸痛是具有挑战性的。本研究的目的是开发和验证基于卷积神经网络(CNN)的模型,用于疑似NSTE-ACS患者的风险分层,并将其性能与目前可用的院前诊断工具进行比较。方法:本研究采用内部训练队列和外部验证队列,均由疑似NSTE-ACS患者组成。训练并验证CNN(通过CNN (ECG- ai)解读心电图)检测NSTE-ACS。将ECG- ai检测NSTE-ACS的诊断价值与EMS护理人员现场心电图分析(ECG-EMS)、护理点肌钙蛋白评估和经验证的院前临床风险评分(院前病史、心电图、年龄、危险因素和poc -肌钙蛋白(preHEART))进行比较。结果:共纳入疑似NSTE-ACS患者5645例。在外部验证队列(n=754)中,27%被诊断为NSTE-ACS。ECG-AI对NSTE-ACS的诊断效果优于ECG-EMS (AUROC曲线下面积0.70 (0.66 ~ 0.74)vs AUROC 0.65 (0.61 ~ 0.70), p=0.045)。preHEART的总体诊断准确率为AUROC 0.78(0.74 ~ 0.82),优于ECG-AI (p=0.001)。将ECG-AI纳入preHEART可显著提高诊断性能(AUROC为0.83(0.79 - 0.86))。讨论:正确识别低nest - acs风险的患者对于院前环境的最佳分诊至关重要。最近的研究表明,这些低风险患者可能被留在家中或转到全科医生那里,从而减少急诊室的拥挤程度,降低医疗成本。其他研究表明,与我们的人工智能(AI)模型相比,整体诊断性能更好。然而,这些研究针对的是闭塞性心肌梗死患病率高的研究人群,这可以解释不同水平的诊断表现。结论:在院前心电图解读中整合人工智能可提高对NSTE-ACS低危患者的识别。尽管如此,临床风险评分目前的诊断效果最好,其准确性可以通过人工智能进一步提高。我们的研究结果为探索人工智能在院前风险分层工作中的作用的新研究铺平了道路。
本文章由计算机程序翻译,如有差异,请以英文原文为准。

Towards prehospital risk stratification using deep learning for ECG interpretation in suspected acute coronary syndrome.

Towards prehospital risk stratification using deep learning for ECG interpretation in suspected acute coronary syndrome.

Towards prehospital risk stratification using deep learning for ECG interpretation in suspected acute coronary syndrome.

Towards prehospital risk stratification using deep learning for ECG interpretation in suspected acute coronary syndrome.

Objectives: Most patients presenting with chest pain in the emergency medical services (EMS) setting are suspected of non-ST-elevation acute coronary syndrome (NSTE-ACS). Distinguishing true NSTE-ACS from non-cardiac chest pain based solely on the ECG is challenging. The aim of this study is to develop and validate a convolutional neural network (CNN)-based model for risk stratification of suspected NSTE-ACS patients and to compare its performance with currently available prehospital diagnostic tools.

Methods: For this study, an internal training cohort and an external validation cohort were used, both consisting of suspected NSTE-ACS patients. A CNN (ECG interpretation by CNN (ECG-AI)) was trained and validated to detect NSTE-ACS. The diagnostic value of ECG-AI in detecting NSTE-ACS was compared with on-site ECG analyses by an EMS paramedic (ECG-EMS), point-of-care troponin assessment and a validated prehospital clinical risk score (prehospital History, ECG, Age, Risk factors and POC-troponin (preHEART)).

Results: A total of 5645 patients suspected of NSTE-ACS were included. In the external validation cohort (n=754), 27% were diagnosed with NSTE-ACS. ECG-AI had a better diagnostic performance than ECG-EMS (area under the curve (AUROC) 0.70 (0.66 to 0.74) vs AUROC 0.65 (0.61 to 0.70), p=0.045) for diagnosing NSTE-ACS. The overall diagnostic accuracy of preHEART was AUROC 0.78 (0.74 to 0.82) and superior compared with ECG-AI (p=0.001). Incorporating ECG-AI into preHEART led to a significant improvement in diagnostic performance (AUROC 0.83 (0.79 to 0.86), p<0.001).

Discussion: Correctly identifying patients who are at low risk for having NSTE-ACS is crucial for optimal triage in the prehospital setting. Recent studies have shown that these low-risk patients could potentially be left at home or transferred to a general practitioner, leading to less emergency department overcrowding and lower healthcare costs. Other studies demonstrated better overall diagnostic performance compared with our artificial intelligence (AI) model. However, these studies were aimed at a study population with a high prevalence of occlusive myocardial infarction, which could explain the differing levels of diagnostic performance.

Conclusion: Integrating AI in prehospital ECG interpretation improves the identification of patients at low risk for having NSTE-ACS. Nonetheless, clinical risk scores currently yield the best diagnostic performance and their accuracy could be further enhanced through AI. Our results pave the way for new studies focused on exploring the role of AI in prehospital risk-stratification efforts.

求助全文
通过发布文献求助,成功后即可免费获取论文全文。 去求助
来源期刊
CiteScore
6.10
自引率
4.90%
发文量
40
审稿时长
18 weeks
×
引用
GB/T 7714-2015
复制
MLA
复制
APA
复制
导出至
BibTeX EndNote RefMan NoteFirst NoteExpress
×
提示
您的信息不完整,为了账户安全,请先补充。
现在去补充
×
提示
您因"违规操作"
具体请查看互助需知
我知道了
×
提示
确定
请完成安全验证×
copy
已复制链接
快去分享给好友吧!
我知道了
右上角分享
点击右上角分享
0
联系我们:info@booksci.cn Book学术提供免费学术资源搜索服务,方便国内外学者检索中英文文献。致力于提供最便捷和优质的服务体验。 Copyright © 2023 布克学术 All rights reserved.
京ICP备2023020795号-1
ghs 京公网安备 11010802042870号
Book学术文献互助
Book学术文献互助群
群 号:604180095
Book学术官方微信