术后肠内补充蛋白对危重患儿氮平衡的影响。

IF 3.6 Q1 PEDIATRICS
Clinical and Experimental Pediatrics Pub Date : 2025-10-01 Epub Date: 2025-05-30 DOI:10.3345/cep.2025.00227
Irene Yuniar, Kadek Apik Lestari, Antonius Hocky Pudjiadi, Fatima Safira Alatas, Yoga Devaera
{"title":"术后肠内补充蛋白对危重患儿氮平衡的影响。","authors":"Irene Yuniar, Kadek Apik Lestari, Antonius Hocky Pudjiadi, Fatima Safira Alatas, Yoga Devaera","doi":"10.3345/cep.2025.00227","DOIUrl":null,"url":null,"abstract":"<p><strong>Background: </strong>Critically ill children are at risk of postoperative malnutrition. Thus, optimal nutritional therapy is essential for preventing morbidity development and reducing mortality rates among this population. An adequate protein intake increases anabolism. However, data on the effect of enteral protein supplementation on nitrogen balance (NB) and intestinal fatty acid-binding protein (I-FABP) levels in postoperative critically ill children remain limited.</p><p><strong>Purpose: </strong>This study aimed to analyze whether an increased protein intake via enteral nutrition improves NB and reduces serum I-FABP levels among postoperative critically ill children.</p><p><strong>Methods: </strong>This double-blind randomized controlled trial examined critically ill children aged 1-5 years who received early postoperative enteral nutrition. A total of 76 subjects were randomized into a standard-protein group (3.0 g/100 mL) or a high-protein group (4.35 g/100 mL). NB was assessed on days 1 and 3, while I-FABP levels were measured before and after 72 h of enteral feeding.</p><p><strong>Results: </strong>The high-protein group showed a significantly greater increase in average NB (283.4 [standard deviation, 82.5] mg/kg/day) compared to the standard-protein group (114.7 [standard deviation, 53] mg/kg/day) (P<0.0001). However, no significant decrease in I-FABP levels was noted in either group despite the above- and below-average NB improvements.</p><p><strong>Conclusion: </strong>High-protein enteral supplementation improves NB in postoperative critically ill children without causing adverse side effects.</p>","PeriodicalId":36018,"journal":{"name":"Clinical and Experimental Pediatrics","volume":" ","pages":"790-800"},"PeriodicalIF":3.6000,"publicationDate":"2025-10-01","publicationTypes":"Journal Article","fieldsOfStudy":null,"isOpenAccess":false,"openAccessPdf":"https://www.ncbi.nlm.nih.gov/pmc/articles/PMC12488283/pdf/","citationCount":"0","resultStr":"{\"title\":\"Effect of postoperative enteral protein supplementation on nitrogen balance in critically ill children.\",\"authors\":\"Irene Yuniar, Kadek Apik Lestari, Antonius Hocky Pudjiadi, Fatima Safira Alatas, Yoga Devaera\",\"doi\":\"10.3345/cep.2025.00227\",\"DOIUrl\":null,\"url\":null,\"abstract\":\"<p><strong>Background: </strong>Critically ill children are at risk of postoperative malnutrition. Thus, optimal nutritional therapy is essential for preventing morbidity development and reducing mortality rates among this population. An adequate protein intake increases anabolism. However, data on the effect of enteral protein supplementation on nitrogen balance (NB) and intestinal fatty acid-binding protein (I-FABP) levels in postoperative critically ill children remain limited.</p><p><strong>Purpose: </strong>This study aimed to analyze whether an increased protein intake via enteral nutrition improves NB and reduces serum I-FABP levels among postoperative critically ill children.</p><p><strong>Methods: </strong>This double-blind randomized controlled trial examined critically ill children aged 1-5 years who received early postoperative enteral nutrition. A total of 76 subjects were randomized into a standard-protein group (3.0 g/100 mL) or a high-protein group (4.35 g/100 mL). NB was assessed on days 1 and 3, while I-FABP levels were measured before and after 72 h of enteral feeding.</p><p><strong>Results: </strong>The high-protein group showed a significantly greater increase in average NB (283.4 [standard deviation, 82.5] mg/kg/day) compared to the standard-protein group (114.7 [standard deviation, 53] mg/kg/day) (P<0.0001). However, no significant decrease in I-FABP levels was noted in either group despite the above- and below-average NB improvements.</p><p><strong>Conclusion: </strong>High-protein enteral supplementation improves NB in postoperative critically ill children without causing adverse side effects.</p>\",\"PeriodicalId\":36018,\"journal\":{\"name\":\"Clinical and Experimental Pediatrics\",\"volume\":\" \",\"pages\":\"790-800\"},\"PeriodicalIF\":3.6000,\"publicationDate\":\"2025-10-01\",\"publicationTypes\":\"Journal Article\",\"fieldsOfStudy\":null,\"isOpenAccess\":false,\"openAccessPdf\":\"https://www.ncbi.nlm.nih.gov/pmc/articles/PMC12488283/pdf/\",\"citationCount\":\"0\",\"resultStr\":null,\"platform\":\"Semanticscholar\",\"paperid\":null,\"PeriodicalName\":\"Clinical and Experimental Pediatrics\",\"FirstCategoryId\":\"1085\",\"ListUrlMain\":\"https://doi.org/10.3345/cep.2025.00227\",\"RegionNum\":0,\"RegionCategory\":null,\"ArticlePicture\":[],\"TitleCN\":null,\"AbstractTextCN\":null,\"PMCID\":null,\"EPubDate\":\"2025/5/30 0:00:00\",\"PubModel\":\"Epub\",\"JCR\":\"Q1\",\"JCRName\":\"PEDIATRICS\",\"Score\":null,\"Total\":0}","platform":"Semanticscholar","paperid":null,"PeriodicalName":"Clinical and Experimental Pediatrics","FirstCategoryId":"1085","ListUrlMain":"https://doi.org/10.3345/cep.2025.00227","RegionNum":0,"RegionCategory":null,"ArticlePicture":[],"TitleCN":null,"AbstractTextCN":null,"PMCID":null,"EPubDate":"2025/5/30 0:00:00","PubModel":"Epub","JCR":"Q1","JCRName":"PEDIATRICS","Score":null,"Total":0}
引用次数: 0

摘要

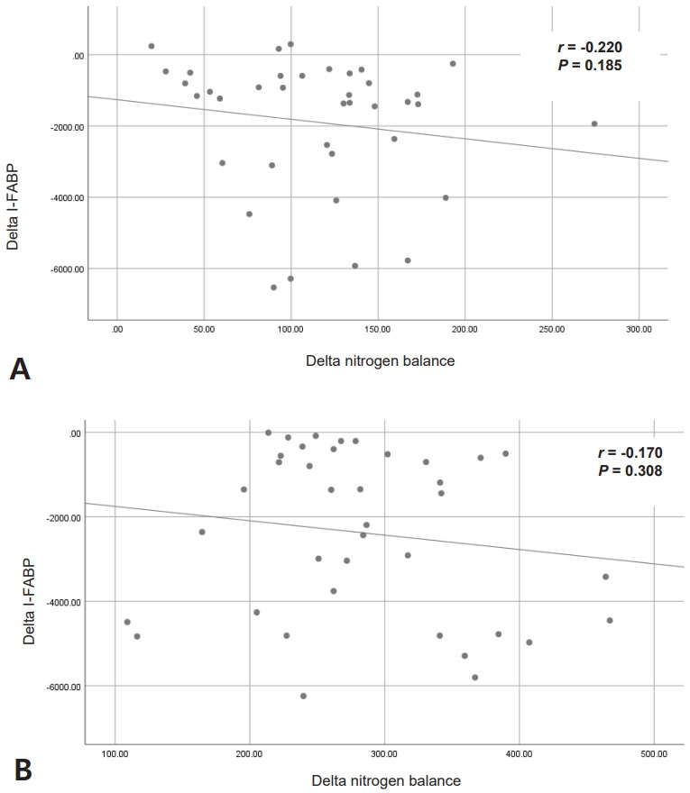
背景:危重儿童有术后营养不良的危险。因此,最佳营养疗法对于预防这一人群的发病发展和降低死亡率至关重要。摄入足够的蛋白质可以促进合成代谢。然而,关于肠内蛋白补充对术后危重患儿氮平衡和肠道脂肪酸结合蛋白(I-FABP)水平影响的数据仍然有限。目的:本研究旨在分析通过肠内营养增加蛋白质摄入是否能改善术后危重患儿的氮平衡并降低血清I-FABP水平。方法:本双盲随机对照试验对术后早期接受肠内营养的1-5岁危重患儿进行研究。76名受试者随机分为标准蛋白组(3.0 g/100 mL)和高蛋白组(4.35 g/100 mL)。在第1天和第3天评估氮平衡,并在肠内喂养72 h前后测量I-FABP水平。结果:高蛋白组平均氮平衡(283.4[标准差,82.5]mg/kg/day)明显高于标准蛋白组(114.7[标准差,53]mg/kg/day) (p < 0.0001)。然而,尽管氮平衡改善高于或低于平均水平,但两组的I-FABP水平均未显著下降。结论:高蛋白肠内补充可改善危重症患儿术后氮平衡,且无不良反应。
本文章由计算机程序翻译,如有差异,请以英文原文为准。

Effect of postoperative enteral protein supplementation on nitrogen balance in critically ill children.

Effect of postoperative enteral protein supplementation on nitrogen balance in critically ill children.

Effect of postoperative enteral protein supplementation on nitrogen balance in critically ill children.

Effect of postoperative enteral protein supplementation on nitrogen balance in critically ill children.

Background: Critically ill children are at risk of postoperative malnutrition. Thus, optimal nutritional therapy is essential for preventing morbidity development and reducing mortality rates among this population. An adequate protein intake increases anabolism. However, data on the effect of enteral protein supplementation on nitrogen balance (NB) and intestinal fatty acid-binding protein (I-FABP) levels in postoperative critically ill children remain limited.

Purpose: This study aimed to analyze whether an increased protein intake via enteral nutrition improves NB and reduces serum I-FABP levels among postoperative critically ill children.

Methods: This double-blind randomized controlled trial examined critically ill children aged 1-5 years who received early postoperative enteral nutrition. A total of 76 subjects were randomized into a standard-protein group (3.0 g/100 mL) or a high-protein group (4.35 g/100 mL). NB was assessed on days 1 and 3, while I-FABP levels were measured before and after 72 h of enteral feeding.

Results: The high-protein group showed a significantly greater increase in average NB (283.4 [standard deviation, 82.5] mg/kg/day) compared to the standard-protein group (114.7 [standard deviation, 53] mg/kg/day) (P<0.0001). However, no significant decrease in I-FABP levels was noted in either group despite the above- and below-average NB improvements.

Conclusion: High-protein enteral supplementation improves NB in postoperative critically ill children without causing adverse side effects.

求助全文
通过发布文献求助,成功后即可免费获取论文全文。 去求助
来源期刊
CiteScore
8.00
自引率
2.40%
发文量
88
审稿时长
60 weeks
×
引用
GB/T 7714-2015
复制
MLA
复制
APA
复制
导出至
BibTeX EndNote RefMan NoteFirst NoteExpress
×
提示
您的信息不完整,为了账户安全,请先补充。
现在去补充
×
提示
您因"违规操作"
具体请查看互助需知
我知道了
×
提示
确定
请完成安全验证×
copy
已复制链接
快去分享给好友吧!
我知道了
右上角分享
点击右上角分享
0
联系我们:info@booksci.cn Book学术提供免费学术资源搜索服务,方便国内外学者检索中英文文献。致力于提供最便捷和优质的服务体验。 Copyright © 2023 布克学术 All rights reserved.
京ICP备2023020795号-1
ghs 京公网安备 11010802042870号
Book学术文献互助
Book学术文献互助群
群 号:604180095
Book学术官方微信