境内流离失所的以色列人个人促进健康行为的有害变化。

IF 2.4 3区 医学 Q2 PUBLIC, ENVIRONMENTAL & OCCUPATIONAL HEALTH
International Journal of Public Health Pub Date : 2025-05-21 eCollection Date: 2025-01-01 DOI:10.3389/ijph.2025.1607794
Naomi Fliss Isakov, Miri Levi-Shahar, Yulia Balmakov, Ranaa Mahajni Yunis, Ronit Endevelt, Moran Blaychfeld Magnazi
{"title":"境内流离失所的以色列人个人促进健康行为的有害变化。","authors":"Naomi Fliss Isakov, Miri Levi-Shahar, Yulia Balmakov, Ranaa Mahajni Yunis, Ronit Endevelt, Moran Blaychfeld Magnazi","doi":"10.3389/ijph.2025.1607794","DOIUrl":null,"url":null,"abstract":"<p><strong>Objectives: </strong>Israel has forcibly displaced more than 200,000 people to hotels or apartments, due to armed conflict. Our study aimed to identify changes in health-promoting behaviors during displacement.</p><p><strong>Methods: </strong>Two online surveys were conducted assessing health-promoting behaviors and body weight before and during displacement. Univariate and multivariate analyses were performed to compare displaced and non-displaced respondents.</p><p><strong>Results: </strong>A total of 997 and 153 participants completed the first and second surveys respectively. A significant decrease in diet quality (P < 0.001), physical activity frequency (P = 0.016), and an increase in diet quantity (P < 0.001) and weight (P = 0.001) were reported among displaced individuals, compared to non-displaced individuals. Living with children, and a healthy pre-war lifestyle were found to be independently protective of detrimental lifestyle change (OR = 0.46, 95% CI0.28-0.76 and OR = 0.63, 95% CI0.40-0.97), risk factors (OR = 2.40, 95% CI1.30-4.43 and OR = 3.54, 95% CI1.71-7.32), for detrimental lifestyle changes.</p><p><strong>Conclusion: </strong>Detrimental changes to health promoting behaviors were reported in all study groups, although they were significantly higher in displaced individuals. Immediate changes did not differ between respondents staying in hotels or apartments, but were sustained only in hotels.</p>","PeriodicalId":14322,"journal":{"name":"International Journal of Public Health","volume":"70 ","pages":"1607794"},"PeriodicalIF":2.4000,"publicationDate":"2025-05-21","publicationTypes":"Journal Article","fieldsOfStudy":null,"isOpenAccess":false,"openAccessPdf":"https://www.ncbi.nlm.nih.gov/pmc/articles/PMC12133527/pdf/","citationCount":"0","resultStr":"{\"title\":\"Detrimental Changes in Individual Health-Promoting Behaviors Among Internally Displaced Israelis.\",\"authors\":\"Naomi Fliss Isakov, Miri Levi-Shahar, Yulia Balmakov, Ranaa Mahajni Yunis, Ronit Endevelt, Moran Blaychfeld Magnazi\",\"doi\":\"10.3389/ijph.2025.1607794\",\"DOIUrl\":null,\"url\":null,\"abstract\":\"<p><strong>Objectives: </strong>Israel has forcibly displaced more than 200,000 people to hotels or apartments, due to armed conflict. Our study aimed to identify changes in health-promoting behaviors during displacement.</p><p><strong>Methods: </strong>Two online surveys were conducted assessing health-promoting behaviors and body weight before and during displacement. Univariate and multivariate analyses were performed to compare displaced and non-displaced respondents.</p><p><strong>Results: </strong>A total of 997 and 153 participants completed the first and second surveys respectively. A significant decrease in diet quality (P < 0.001), physical activity frequency (P = 0.016), and an increase in diet quantity (P < 0.001) and weight (P = 0.001) were reported among displaced individuals, compared to non-displaced individuals. Living with children, and a healthy pre-war lifestyle were found to be independently protective of detrimental lifestyle change (OR = 0.46, 95% CI0.28-0.76 and OR = 0.63, 95% CI0.40-0.97), risk factors (OR = 2.40, 95% CI1.30-4.43 and OR = 3.54, 95% CI1.71-7.32), for detrimental lifestyle changes.</p><p><strong>Conclusion: </strong>Detrimental changes to health promoting behaviors were reported in all study groups, although they were significantly higher in displaced individuals. Immediate changes did not differ between respondents staying in hotels or apartments, but were sustained only in hotels.</p>\",\"PeriodicalId\":14322,\"journal\":{\"name\":\"International Journal of Public Health\",\"volume\":\"70 \",\"pages\":\"1607794\"},\"PeriodicalIF\":2.4000,\"publicationDate\":\"2025-05-21\",\"publicationTypes\":\"Journal Article\",\"fieldsOfStudy\":null,\"isOpenAccess\":false,\"openAccessPdf\":\"https://www.ncbi.nlm.nih.gov/pmc/articles/PMC12133527/pdf/\",\"citationCount\":\"0\",\"resultStr\":null,\"platform\":\"Semanticscholar\",\"paperid\":null,\"PeriodicalName\":\"International Journal of Public Health\",\"FirstCategoryId\":\"3\",\"ListUrlMain\":\"https://doi.org/10.3389/ijph.2025.1607794\",\"RegionNum\":3,\"RegionCategory\":\"医学\",\"ArticlePicture\":[],\"TitleCN\":null,\"AbstractTextCN\":null,\"PMCID\":null,\"EPubDate\":\"2025/1/1 0:00:00\",\"PubModel\":\"eCollection\",\"JCR\":\"Q2\",\"JCRName\":\"PUBLIC, ENVIRONMENTAL & OCCUPATIONAL HEALTH\",\"Score\":null,\"Total\":0}","platform":"Semanticscholar","paperid":null,"PeriodicalName":"International Journal of Public Health","FirstCategoryId":"3","ListUrlMain":"https://doi.org/10.3389/ijph.2025.1607794","RegionNum":3,"RegionCategory":"医学","ArticlePicture":[],"TitleCN":null,"AbstractTextCN":null,"PMCID":null,"EPubDate":"2025/1/1 0:00:00","PubModel":"eCollection","JCR":"Q2","JCRName":"PUBLIC, ENVIRONMENTAL & OCCUPATIONAL HEALTH","Score":null,"Total":0}
引用次数: 0

摘要

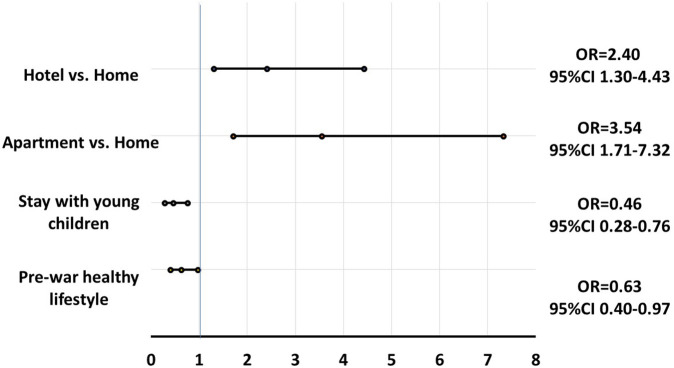
目标:由于武装冲突,以色列强迫20多万人迁往旅馆或公寓。我们的研究旨在确定流离失所期间健康促进行为的变化。方法:通过两项在线调查评估迁移前和迁移期间的健康促进行为和体重。进行单变量和多变量分析来比较流离失所和非流离失所的受访者。结果:共997名参与者完成了第一次调查,153名参与者完成了第二次调查。据报道,与非流离失所者相比,流离失所者的饮食质量(P < 0.001)、身体活动频率(P = 0.016)显著下降,饮食量(P < 0.001)和体重(P = 0.001)增加。与儿童一起生活和战前健康的生活方式被发现是有害生活方式改变的独立保护因素(OR = 0.46, 95% CI0.28-0.76和OR = 0.63, 95% CI0.40-0.97),有害生活方式改变的危险因素(OR = 2.40, 95% CI1.30-4.43和OR = 3.54, 95% CI1.71-7.32)。结论:所有研究组都报告了促进健康行为的有害变化,尽管流离失所者的这种变化明显更高。住在酒店或公寓的受访者之间的即时变化没有差异,但只有在酒店中才持续。
本文章由计算机程序翻译,如有差异,请以英文原文为准。

Detrimental Changes in Individual Health-Promoting Behaviors Among Internally Displaced Israelis.

Detrimental Changes in Individual Health-Promoting Behaviors Among Internally Displaced Israelis.

Detrimental Changes in Individual Health-Promoting Behaviors Among Internally Displaced Israelis.

Detrimental Changes in Individual Health-Promoting Behaviors Among Internally Displaced Israelis.

Objectives: Israel has forcibly displaced more than 200,000 people to hotels or apartments, due to armed conflict. Our study aimed to identify changes in health-promoting behaviors during displacement.

Methods: Two online surveys were conducted assessing health-promoting behaviors and body weight before and during displacement. Univariate and multivariate analyses were performed to compare displaced and non-displaced respondents.

Results: A total of 997 and 153 participants completed the first and second surveys respectively. A significant decrease in diet quality (P < 0.001), physical activity frequency (P = 0.016), and an increase in diet quantity (P < 0.001) and weight (P = 0.001) were reported among displaced individuals, compared to non-displaced individuals. Living with children, and a healthy pre-war lifestyle were found to be independently protective of detrimental lifestyle change (OR = 0.46, 95% CI0.28-0.76 and OR = 0.63, 95% CI0.40-0.97), risk factors (OR = 2.40, 95% CI1.30-4.43 and OR = 3.54, 95% CI1.71-7.32), for detrimental lifestyle changes.

Conclusion: Detrimental changes to health promoting behaviors were reported in all study groups, although they were significantly higher in displaced individuals. Immediate changes did not differ between respondents staying in hotels or apartments, but were sustained only in hotels.

求助全文
通过发布文献求助,成功后即可免费获取论文全文。 去求助
来源期刊
International Journal of Public Health
International Journal of Public Health 医学-公共卫生、环境卫生与职业卫生
CiteScore
4.20
自引率
2.20%
发文量
269
审稿时长
12 months
期刊介绍: The International Journal of Public Health publishes scientific articles relevant to global public health, from different countries and cultures, and assembles them into issues that raise awareness and understanding of public health problems and solutions. The Journal welcomes submissions of original research, critical and relevant reviews, methodological papers and manuscripts that emphasize theoretical content. IJPH sometimes publishes commentaries and opinions. Special issues highlight key areas of current research. The Editorial Board''s mission is to provide a thoughtful forum for contemporary issues and challenges in global public health research and practice.
×
引用
GB/T 7714-2015
复制
MLA
复制
APA
复制
导出至
BibTeX EndNote RefMan NoteFirst NoteExpress
×
提示
您的信息不完整,为了账户安全,请先补充。
现在去补充
×
提示
您因"违规操作"
具体请查看互助需知
我知道了
×
提示
确定
请完成安全验证×
copy
已复制链接
快去分享给好友吧!
我知道了
右上角分享
点击右上角分享
0
联系我们:info@booksci.cn Book学术提供免费学术资源搜索服务,方便国内外学者检索中英文文献。致力于提供最便捷和优质的服务体验。 Copyright © 2023 布克学术 All rights reserved.
京ICP备2023020795号-1
ghs 京公网安备 11010802042870号
Book学术文献互助
Book学术文献互助群
群 号:604180095
Book学术官方微信