肺癌与皮疹的因果关系:一项双向孟德尔随机研究。

IF 1.9 4区 医学 Q3 ONCOLOGY
Clinical Medicine Insights-Oncology Pub Date : 2025-06-02 eCollection Date: 2025-01-01 DOI:10.1177/11795549251341559
Yang Xiao, Tian-Tian Li, Ming Li Yuan, Wen Yin, Jing Zhu
{"title":"肺癌与皮疹的因果关系:一项双向孟德尔随机研究。","authors":"Yang Xiao, Tian-Tian Li, Ming Li Yuan, Wen Yin, Jing Zhu","doi":"10.1177/11795549251341559","DOIUrl":null,"url":null,"abstract":"<p><strong>Background: </strong>Skin involvement is one of the many clinical manifestations of lung cancer patients. However, there are fewer in-depth studies exploring the causal relationship between skin rashes and lung cancer subtypes, and the causal relationship is unknown. This study aims to explore the potential causal relationship between rash development and lung cancer diagnosis.</p><p><strong>Methods: </strong>From the Genome-wide Association Studies (GWAS) database, we sourced comprehensive data on skin rash, lung cancer, and gene expression Quantitative Trait Loci (eQTL). Drawing from this, we conducted a comprehensive analysis that integrated Mendelian Randomization (MR), protein-protein network analysis, and enrichment analysis to explore the causal relationship and potential mechanisms between rash and lung cancer.</p><p><strong>Results: </strong>This study reveals an increased risk of rash in small and squamous cell lung cancer patients, with odds ratios of 1.08 and 1.26, respectively. However, no causal link between rash and lung cancer was found. Genetic analysis identified 3 genes positively associated with both conditions and 6 negatively associated, suggesting complex genetic interactions. Sensitivity analysis did not indicate heterogeneity or pleiotropy.</p><p><strong>Conclusions: </strong>Our study shows that squamous cell lung cancer patients are more likely to get skin rashes. But the rash is not directly linked to lung cancer. Future research should explore rashes as a therapeutic target and prognostic indicator.</p>","PeriodicalId":48591,"journal":{"name":"Clinical Medicine Insights-Oncology","volume":"19 ","pages":"11795549251341559"},"PeriodicalIF":1.9000,"publicationDate":"2025-06-02","publicationTypes":"Journal Article","fieldsOfStudy":null,"isOpenAccess":false,"openAccessPdf":"https://www.ncbi.nlm.nih.gov/pmc/articles/PMC12130657/pdf/","citationCount":"0","resultStr":"{\"title\":\"Causal Association Between Lung Cancer and Rash: A Bidirectional Mendelian Randomization Study.\",\"authors\":\"Yang Xiao, Tian-Tian Li, Ming Li Yuan, Wen Yin, Jing Zhu\",\"doi\":\"10.1177/11795549251341559\",\"DOIUrl\":null,\"url\":null,\"abstract\":\"<p><strong>Background: </strong>Skin involvement is one of the many clinical manifestations of lung cancer patients. However, there are fewer in-depth studies exploring the causal relationship between skin rashes and lung cancer subtypes, and the causal relationship is unknown. This study aims to explore the potential causal relationship between rash development and lung cancer diagnosis.</p><p><strong>Methods: </strong>From the Genome-wide Association Studies (GWAS) database, we sourced comprehensive data on skin rash, lung cancer, and gene expression Quantitative Trait Loci (eQTL). Drawing from this, we conducted a comprehensive analysis that integrated Mendelian Randomization (MR), protein-protein network analysis, and enrichment analysis to explore the causal relationship and potential mechanisms between rash and lung cancer.</p><p><strong>Results: </strong>This study reveals an increased risk of rash in small and squamous cell lung cancer patients, with odds ratios of 1.08 and 1.26, respectively. However, no causal link between rash and lung cancer was found. Genetic analysis identified 3 genes positively associated with both conditions and 6 negatively associated, suggesting complex genetic interactions. Sensitivity analysis did not indicate heterogeneity or pleiotropy.</p><p><strong>Conclusions: </strong>Our study shows that squamous cell lung cancer patients are more likely to get skin rashes. But the rash is not directly linked to lung cancer. Future research should explore rashes as a therapeutic target and prognostic indicator.</p>\",\"PeriodicalId\":48591,\"journal\":{\"name\":\"Clinical Medicine Insights-Oncology\",\"volume\":\"19 \",\"pages\":\"11795549251341559\"},\"PeriodicalIF\":1.9000,\"publicationDate\":\"2025-06-02\",\"publicationTypes\":\"Journal Article\",\"fieldsOfStudy\":null,\"isOpenAccess\":false,\"openAccessPdf\":\"https://www.ncbi.nlm.nih.gov/pmc/articles/PMC12130657/pdf/\",\"citationCount\":\"0\",\"resultStr\":null,\"platform\":\"Semanticscholar\",\"paperid\":null,\"PeriodicalName\":\"Clinical Medicine Insights-Oncology\",\"FirstCategoryId\":\"3\",\"ListUrlMain\":\"https://doi.org/10.1177/11795549251341559\",\"RegionNum\":4,\"RegionCategory\":\"医学\",\"ArticlePicture\":[],\"TitleCN\":null,\"AbstractTextCN\":null,\"PMCID\":null,\"EPubDate\":\"2025/1/1 0:00:00\",\"PubModel\":\"eCollection\",\"JCR\":\"Q3\",\"JCRName\":\"ONCOLOGY\",\"Score\":null,\"Total\":0}","platform":"Semanticscholar","paperid":null,"PeriodicalName":"Clinical Medicine Insights-Oncology","FirstCategoryId":"3","ListUrlMain":"https://doi.org/10.1177/11795549251341559","RegionNum":4,"RegionCategory":"医学","ArticlePicture":[],"TitleCN":null,"AbstractTextCN":null,"PMCID":null,"EPubDate":"2025/1/1 0:00:00","PubModel":"eCollection","JCR":"Q3","JCRName":"ONCOLOGY","Score":null,"Total":0}
引用次数: 0

摘要

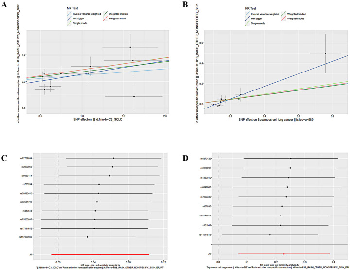
背景:皮肤受累是肺癌患者众多临床表现之一。然而,深入探讨皮疹与肺癌亚型之间因果关系的研究较少,因果关系尚不清楚。本研究旨在探讨皮疹发展与肺癌诊断之间的潜在因果关系。方法:从全基因组关联研究(GWAS)数据库中,我们获得了有关皮疹、肺癌和基因表达数量性状位点(eQTL)的综合数据。据此,我们综合运用孟德尔随机化(Mendelian Randomization, MR)、蛋白-蛋白网络分析、富集分析等方法进行综合分析,探讨皮疹与肺癌的因果关系及潜在机制。结果:本研究显示小细胞肺癌和鳞状细胞肺癌患者出现皮疹的风险增加,比值比分别为1.08和1.26。然而,没有发现皮疹和肺癌之间的因果关系。遗传分析发现,3个基因与这两种疾病呈正相关,6个基因呈负相关,表明存在复杂的遗传相互作用。敏感性分析未显示异质性或多效性。结论:我们的研究表明,鳞状细胞肺癌患者更容易出现皮疹。但这种皮疹与肺癌没有直接联系。未来的研究应探索皮疹作为治疗靶点和预后指标。
本文章由计算机程序翻译,如有差异,请以英文原文为准。

Causal Association Between Lung Cancer and Rash: A Bidirectional Mendelian Randomization Study.

Causal Association Between Lung Cancer and Rash: A Bidirectional Mendelian Randomization Study.

Causal Association Between Lung Cancer and Rash: A Bidirectional Mendelian Randomization Study.

Causal Association Between Lung Cancer and Rash: A Bidirectional Mendelian Randomization Study.

Background: Skin involvement is one of the many clinical manifestations of lung cancer patients. However, there are fewer in-depth studies exploring the causal relationship between skin rashes and lung cancer subtypes, and the causal relationship is unknown. This study aims to explore the potential causal relationship between rash development and lung cancer diagnosis.

Methods: From the Genome-wide Association Studies (GWAS) database, we sourced comprehensive data on skin rash, lung cancer, and gene expression Quantitative Trait Loci (eQTL). Drawing from this, we conducted a comprehensive analysis that integrated Mendelian Randomization (MR), protein-protein network analysis, and enrichment analysis to explore the causal relationship and potential mechanisms between rash and lung cancer.

Results: This study reveals an increased risk of rash in small and squamous cell lung cancer patients, with odds ratios of 1.08 and 1.26, respectively. However, no causal link between rash and lung cancer was found. Genetic analysis identified 3 genes positively associated with both conditions and 6 negatively associated, suggesting complex genetic interactions. Sensitivity analysis did not indicate heterogeneity or pleiotropy.

Conclusions: Our study shows that squamous cell lung cancer patients are more likely to get skin rashes. But the rash is not directly linked to lung cancer. Future research should explore rashes as a therapeutic target and prognostic indicator.

求助全文
通过发布文献求助,成功后即可免费获取论文全文。 去求助
来源期刊
CiteScore
2.40
自引率
4.50%
发文量
57
审稿时长
8 weeks
期刊介绍: Clinical Medicine Insights: Oncology is an international, peer-reviewed, open access journal that focuses on all aspects of cancer research and treatment, in addition to related genetic, pathophysiological and epidemiological topics. Of particular but not exclusive importance are molecular biology, clinical interventions, controlled trials, therapeutics, pharmacology and drug delivery, and techniques of cancer surgery. The journal welcomes unsolicited article proposals.
×
引用
GB/T 7714-2015
复制
MLA
复制
APA
复制
导出至
BibTeX EndNote RefMan NoteFirst NoteExpress
×
提示
您的信息不完整,为了账户安全,请先补充。
现在去补充
×
提示
您因"违规操作"
具体请查看互助需知
我知道了
×
提示
确定
请完成安全验证×
copy
已复制链接
快去分享给好友吧!
我知道了
右上角分享
点击右上角分享
0
联系我们:info@booksci.cn Book学术提供免费学术资源搜索服务,方便国内外学者检索中英文文献。致力于提供最便捷和优质的服务体验。 Copyright © 2023 布克学术 All rights reserved.
京ICP备2023020795号-1
ghs 京公网安备 11010802042870号
Book学术文献互助
Book学术文献互助群
群 号:604180095
Book学术官方微信