溃疡性结肠炎Naïve患者接受或接受硫嘌呤和靶向治疗的癌症发病率——2007年至2022年的一项队列研究,与普通人群进行比较

IF 8.7
Åsa H Everhov, Johan Askling, Jonas Söderling, Jonas Halfvarson, Julia Eriksson, Karin E Smedby, Jonas F Ludvigsson, Henrik Toft Sørensen, Ola Olén
{"title":"溃疡性结肠炎Naïve患者接受或接受硫嘌呤和靶向治疗的癌症发病率——2007年至2022年的一项队列研究,与普通人群进行比较","authors":"Åsa H Everhov, Johan Askling, Jonas Söderling, Jonas Halfvarson, Julia Eriksson, Karin E Smedby, Jonas F Ludvigsson, Henrik Toft Sørensen, Ola Olén","doi":"10.1093/ecco-jcc/jjaf091","DOIUrl":null,"url":null,"abstract":"<p><strong>Background: </strong>Cancer incidence data including absolute risk differences are needed for clinical risk communication to patients receiving modern-day treatments for ulcerative colitis (UC).</p><p><strong>Methods: </strong>We linked nationwide Swedish health registers and assessed incident cancers in patients with UC in 2007-2022. We computed age-stratified incidence rates (IRs), IR differences, and hazard ratios (HRs) in a naïve cohort with no immunomodulatory treatment, and in cohorts treated with thiopurine or targeted therapies. General population comparator subjects were matched (by age, sex, calendar year, and area of residence) to each treatment cohort. We used a once-exposed-always-exposed design.</p><p><strong>Results: </strong>We identified 63 925 patients with UC in partly overlapping cohorts and 593 072 comparators with a total follow-up time of 5 800 089 years (median 8.1 years). The IRs were elevated compared to the general population in naïve patients: 2.7 extra cancer cases per 1000 person-years (HR: 1.12, 95% CI, 1.09-1.16), in thiopurine-treated patients: 3.4 extra cases (HR: 1.48;1.37-1.61), tumor necrosis factor inhibitor (TNFi)-treated: 2.7 extra cases (HR: 1.41;1.24-1.62), Thiopurine + TNFi-treated: 2.42 extra cases (HR: 1.44;1.19-1.75), vedolizumab-treated: 2.88 extra cases (HR: 1.27;0.90-1.79). The IR differences were not significantly increased in patients treated with ustekinumab 0.57 (HR: 0.87;0,39-1.93) and tofacitinib -0.69 (HR: 0.84;0.25-2.77). Across all treatment groups, the IR differences compared to the general population were highest in patients ≥ 60 years. The differences were driven by colorectal cancer, hepatobiliary cancer, lymphoma, and basal cell skin carcinoma.</p><p><strong>Conclusions: </strong>Elevated cancer incidence was observed in patients with UC amounting to around 3 extra cases of cancer per 1000 years. Cancer risks varied more among groups defined by age than by treatment.</p>","PeriodicalId":94074,"journal":{"name":"Journal of Crohn's & colitis","volume":" ","pages":""},"PeriodicalIF":8.7000,"publicationDate":"2025-06-04","publicationTypes":"Journal Article","fieldsOfStudy":null,"isOpenAccess":false,"openAccessPdf":"https://www.ncbi.nlm.nih.gov/pmc/articles/PMC12203221/pdf/","citationCount":"0","resultStr":"{\"title\":\"Cancer incidence in patients with ulcerative colitis naïve to or treated with thiopurine and targeted therapies-a cohort study 2007 to 2022 with comparison to the general population.\",\"authors\":\"Åsa H Everhov, Johan Askling, Jonas Söderling, Jonas Halfvarson, Julia Eriksson, Karin E Smedby, Jonas F Ludvigsson, Henrik Toft Sørensen, Ola Olén\",\"doi\":\"10.1093/ecco-jcc/jjaf091\",\"DOIUrl\":null,\"url\":null,\"abstract\":\"<p><strong>Background: </strong>Cancer incidence data including absolute risk differences are needed for clinical risk communication to patients receiving modern-day treatments for ulcerative colitis (UC).</p><p><strong>Methods: </strong>We linked nationwide Swedish health registers and assessed incident cancers in patients with UC in 2007-2022. We computed age-stratified incidence rates (IRs), IR differences, and hazard ratios (HRs) in a naïve cohort with no immunomodulatory treatment, and in cohorts treated with thiopurine or targeted therapies. General population comparator subjects were matched (by age, sex, calendar year, and area of residence) to each treatment cohort. We used a once-exposed-always-exposed design.</p><p><strong>Results: </strong>We identified 63 925 patients with UC in partly overlapping cohorts and 593 072 comparators with a total follow-up time of 5 800 089 years (median 8.1 years). The IRs were elevated compared to the general population in naïve patients: 2.7 extra cancer cases per 1000 person-years (HR: 1.12, 95% CI, 1.09-1.16), in thiopurine-treated patients: 3.4 extra cases (HR: 1.48;1.37-1.61), tumor necrosis factor inhibitor (TNFi)-treated: 2.7 extra cases (HR: 1.41;1.24-1.62), Thiopurine + TNFi-treated: 2.42 extra cases (HR: 1.44;1.19-1.75), vedolizumab-treated: 2.88 extra cases (HR: 1.27;0.90-1.79). The IR differences were not significantly increased in patients treated with ustekinumab 0.57 (HR: 0.87;0,39-1.93) and tofacitinib -0.69 (HR: 0.84;0.25-2.77). Across all treatment groups, the IR differences compared to the general population were highest in patients ≥ 60 years. The differences were driven by colorectal cancer, hepatobiliary cancer, lymphoma, and basal cell skin carcinoma.</p><p><strong>Conclusions: </strong>Elevated cancer incidence was observed in patients with UC amounting to around 3 extra cases of cancer per 1000 years. Cancer risks varied more among groups defined by age than by treatment.</p>\",\"PeriodicalId\":94074,\"journal\":{\"name\":\"Journal of Crohn's & colitis\",\"volume\":\" \",\"pages\":\"\"},\"PeriodicalIF\":8.7000,\"publicationDate\":\"2025-06-04\",\"publicationTypes\":\"Journal Article\",\"fieldsOfStudy\":null,\"isOpenAccess\":false,\"openAccessPdf\":\"https://www.ncbi.nlm.nih.gov/pmc/articles/PMC12203221/pdf/\",\"citationCount\":\"0\",\"resultStr\":null,\"platform\":\"Semanticscholar\",\"paperid\":null,\"PeriodicalName\":\"Journal of Crohn's & colitis\",\"FirstCategoryId\":\"1085\",\"ListUrlMain\":\"https://doi.org/10.1093/ecco-jcc/jjaf091\",\"RegionNum\":0,\"RegionCategory\":null,\"ArticlePicture\":[],\"TitleCN\":null,\"AbstractTextCN\":null,\"PMCID\":null,\"EPubDate\":\"\",\"PubModel\":\"\",\"JCR\":\"\",\"JCRName\":\"\",\"Score\":null,\"Total\":0}","platform":"Semanticscholar","paperid":null,"PeriodicalName":"Journal of Crohn's & colitis","FirstCategoryId":"1085","ListUrlMain":"https://doi.org/10.1093/ecco-jcc/jjaf091","RegionNum":0,"RegionCategory":null,"ArticlePicture":[],"TitleCN":null,"AbstractTextCN":null,"PMCID":null,"EPubDate":"","PubModel":"","JCR":"","JCRName":"","Score":null,"Total":0}
引用次数: 0

摘要

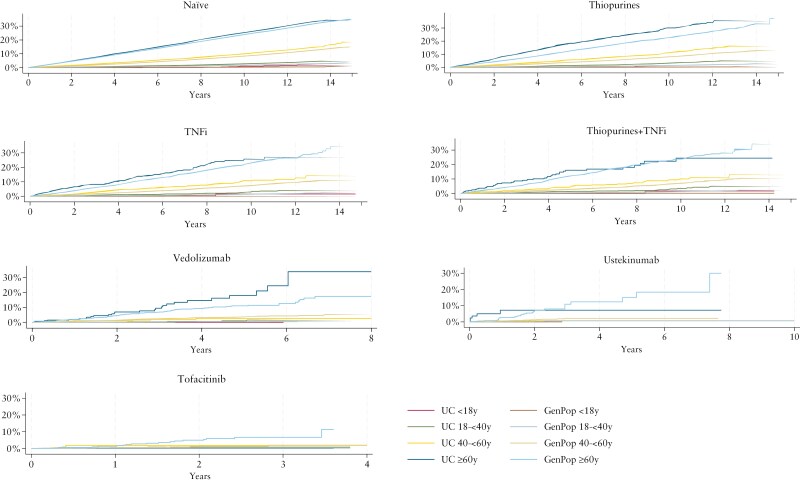
背景:对接受现代治疗的溃疡性结肠炎(UC)患者进行临床风险沟通需要包括绝对风险差异在内的癌症发病率数据。方法:我们联系了瑞典全国健康登记册,并评估了2007-2022年UC患者的癌症发病率。我们计算了未接受免疫调节治疗的naïve队列和接受硫嘌呤或靶向治疗的队列中年龄分层发病率(IRs)、IR差异和风险比(hr)。将一般人群比较受试者(按年龄、性别、日历年和居住地区)与每个治疗队列相匹配。我们使用了一次曝光-永远曝光的设计。结果:我们在部分重叠的队列中确定了63925名UC患者和593072名比较者,总随访时间为5,800,089年(中位8.1年)。与一般人群相比,naïve患者的IRs升高:每1000人年增加2.7例癌症病例(HR:1.12, 95%CI:1.09-1.16),硫嘌呤治疗患者的IRs增加3.4例(HR:1.48;1.37-1.61), tnfi治疗的IRs增加2.7例(HR:1.41;1.24-1.62),硫嘌呤+ tnfi治疗的IRs增加2.42例(HR:1.44;1.19-1.75), vedolizumab治疗的IRs增加2.88例(HR:1.27;0.90-1.79)。ustekinumab - 0.57 (HR:0.87; 0.39 -1.93)和tofacitinib -0.69 (HR:0.84;0.25-2.77)组IR差异无显著增加。在所有治疗组中,与一般人群相比,≥60岁患者的IR差异最大。这种差异是由结直肠癌、肝癌、淋巴瘤和基底细胞皮肤癌引起的。结论:UC患者的癌症发病率升高,每1000年大约增加3例癌症病例。癌症风险在按年龄而不是按治疗方式划分的人群中差异更大。
本文章由计算机程序翻译,如有差异,请以英文原文为准。

Cancer incidence in patients with ulcerative colitis naïve to or treated with thiopurine and targeted therapies-a cohort study 2007 to 2022 with comparison to the general population.

Cancer incidence in patients with ulcerative colitis naïve to or treated with thiopurine and targeted therapies-a cohort study 2007 to 2022 with comparison to the general population.

Cancer incidence in patients with ulcerative colitis naïve to or treated with thiopurine and targeted therapies-a cohort study 2007 to 2022 with comparison to the general population.

Cancer incidence in patients with ulcerative colitis naïve to or treated with thiopurine and targeted therapies-a cohort study 2007 to 2022 with comparison to the general population.

Background: Cancer incidence data including absolute risk differences are needed for clinical risk communication to patients receiving modern-day treatments for ulcerative colitis (UC).

Methods: We linked nationwide Swedish health registers and assessed incident cancers in patients with UC in 2007-2022. We computed age-stratified incidence rates (IRs), IR differences, and hazard ratios (HRs) in a naïve cohort with no immunomodulatory treatment, and in cohorts treated with thiopurine or targeted therapies. General population comparator subjects were matched (by age, sex, calendar year, and area of residence) to each treatment cohort. We used a once-exposed-always-exposed design.

Results: We identified 63 925 patients with UC in partly overlapping cohorts and 593 072 comparators with a total follow-up time of 5 800 089 years (median 8.1 years). The IRs were elevated compared to the general population in naïve patients: 2.7 extra cancer cases per 1000 person-years (HR: 1.12, 95% CI, 1.09-1.16), in thiopurine-treated patients: 3.4 extra cases (HR: 1.48;1.37-1.61), tumor necrosis factor inhibitor (TNFi)-treated: 2.7 extra cases (HR: 1.41;1.24-1.62), Thiopurine + TNFi-treated: 2.42 extra cases (HR: 1.44;1.19-1.75), vedolizumab-treated: 2.88 extra cases (HR: 1.27;0.90-1.79). The IR differences were not significantly increased in patients treated with ustekinumab 0.57 (HR: 0.87;0,39-1.93) and tofacitinib -0.69 (HR: 0.84;0.25-2.77). Across all treatment groups, the IR differences compared to the general population were highest in patients ≥ 60 years. The differences were driven by colorectal cancer, hepatobiliary cancer, lymphoma, and basal cell skin carcinoma.

Conclusions: Elevated cancer incidence was observed in patients with UC amounting to around 3 extra cases of cancer per 1000 years. Cancer risks varied more among groups defined by age than by treatment.

求助全文
通过发布文献求助,成功后即可免费获取论文全文。 去求助
来源期刊
自引率
0.00%
发文量
0
×
引用
GB/T 7714-2015
复制
MLA
复制
APA
复制
导出至
BibTeX EndNote RefMan NoteFirst NoteExpress
×
提示
您的信息不完整,为了账户安全,请先补充。
现在去补充
×
提示
您因"违规操作"
具体请查看互助需知
我知道了
×
提示
确定
请完成安全验证×
copy
已复制链接
快去分享给好友吧!
我知道了
右上角分享
点击右上角分享
0
联系我们:info@booksci.cn Book学术提供免费学术资源搜索服务,方便国内外学者检索中英文文献。致力于提供最便捷和优质的服务体验。 Copyright © 2023 布克学术 All rights reserved.
京ICP备2023020795号-1
ghs 京公网安备 11010802042870号
Book学术文献互助
Book学术文献互助群
群 号:604180095
Book学术官方微信