基于区域分解的随机基因调控网络马尔可夫状态模型的高效构建。

IF 3.3 3区 生物学 Q2 BIOCHEMICAL RESEARCH METHODS
Maryam Yousefian, Anna-Simone Frank, Marcus Weber, Susanna Röblitz
{"title":"基于区域分解的随机基因调控网络马尔可夫状态模型的高效构建。","authors":"Maryam Yousefian, Anna-Simone Frank, Marcus Weber, Susanna Röblitz","doi":"10.1186/s12859-025-06174-5","DOIUrl":null,"url":null,"abstract":"<p><strong>Background: </strong>The dynamics of many gene regulatory networks (GRNs) is characterized by the occurrence of metastable phenotypes and stochastic phenotype switches. The chemical master equation (CME) is the most accurate description to model such stochastic dynamics, whereby the long-time dynamics of the system is encoded in the spectral properties of the CME operator. Markov State Models (MSMs) provide a general framework for analyzing and visualizing stochastic multistability and state transitions based on these spectral properties. Until now, however, this approach is either limited to low-dimensional systems or requires the use of high-performance computing facilities, thus limiting its usability.</p><p><strong>Results: </strong>We present a domain decomposition approach (DDA) that approximates the CME by a stochastic rate matrix on a discretized state space and projects the multistable dynamics to a lower dimensional MSM. To approximate the CME, we decompose the state space via a Voronoi tessellation and estimate transition probabilities by using adaptive sampling strategies. We apply the robust Perron cluster analysis (PCCA+) to construct the final MSM. Measures for uncertainty quantification are incorporated. As a proof of concept, we run the algorithm on a single PC and apply it to two GRN models, one for the genetic toggle switch and one describing macrophage polarization. By comparing the results with reference solutions, we demonstrate that our approach correctly identifies the number and location of metastable phenotypes with adequate accuracy and uncertainty bounds. We show that accuracy mainly depends on the total number of Voronoi cells, whereas uncertainty is determined by the number of sampling points.</p><p><strong>Conclusions: </strong>A DDA enables the efficient computation of MSMs with quantified uncertainty. Since the algorithm is trivially parallelizable, it can be applied to larger systems, which will inevitably lead to new insights into cell-regulatory dynamics.</p>","PeriodicalId":8958,"journal":{"name":"BMC Bioinformatics","volume":"26 1","pages":"147"},"PeriodicalIF":3.3000,"publicationDate":"2025-06-02","publicationTypes":"Journal Article","fieldsOfStudy":null,"isOpenAccess":false,"openAccessPdf":"https://www.ncbi.nlm.nih.gov/pmc/articles/PMC12131593/pdf/","citationCount":"0","resultStr":"{\"title\":\"Efficient construction of Markov state models for stochastic gene regulatory networks by domain decomposition.\",\"authors\":\"Maryam Yousefian, Anna-Simone Frank, Marcus Weber, Susanna Röblitz\",\"doi\":\"10.1186/s12859-025-06174-5\",\"DOIUrl\":null,\"url\":null,\"abstract\":\"<p><strong>Background: </strong>The dynamics of many gene regulatory networks (GRNs) is characterized by the occurrence of metastable phenotypes and stochastic phenotype switches. The chemical master equation (CME) is the most accurate description to model such stochastic dynamics, whereby the long-time dynamics of the system is encoded in the spectral properties of the CME operator. Markov State Models (MSMs) provide a general framework for analyzing and visualizing stochastic multistability and state transitions based on these spectral properties. Until now, however, this approach is either limited to low-dimensional systems or requires the use of high-performance computing facilities, thus limiting its usability.</p><p><strong>Results: </strong>We present a domain decomposition approach (DDA) that approximates the CME by a stochastic rate matrix on a discretized state space and projects the multistable dynamics to a lower dimensional MSM. To approximate the CME, we decompose the state space via a Voronoi tessellation and estimate transition probabilities by using adaptive sampling strategies. We apply the robust Perron cluster analysis (PCCA+) to construct the final MSM. Measures for uncertainty quantification are incorporated. As a proof of concept, we run the algorithm on a single PC and apply it to two GRN models, one for the genetic toggle switch and one describing macrophage polarization. By comparing the results with reference solutions, we demonstrate that our approach correctly identifies the number and location of metastable phenotypes with adequate accuracy and uncertainty bounds. We show that accuracy mainly depends on the total number of Voronoi cells, whereas uncertainty is determined by the number of sampling points.</p><p><strong>Conclusions: </strong>A DDA enables the efficient computation of MSMs with quantified uncertainty. Since the algorithm is trivially parallelizable, it can be applied to larger systems, which will inevitably lead to new insights into cell-regulatory dynamics.</p>\",\"PeriodicalId\":8958,\"journal\":{\"name\":\"BMC Bioinformatics\",\"volume\":\"26 1\",\"pages\":\"147\"},\"PeriodicalIF\":3.3000,\"publicationDate\":\"2025-06-02\",\"publicationTypes\":\"Journal Article\",\"fieldsOfStudy\":null,\"isOpenAccess\":false,\"openAccessPdf\":\"https://www.ncbi.nlm.nih.gov/pmc/articles/PMC12131593/pdf/\",\"citationCount\":\"0\",\"resultStr\":null,\"platform\":\"Semanticscholar\",\"paperid\":null,\"PeriodicalName\":\"BMC Bioinformatics\",\"FirstCategoryId\":\"99\",\"ListUrlMain\":\"https://doi.org/10.1186/s12859-025-06174-5\",\"RegionNum\":3,\"RegionCategory\":\"生物学\",\"ArticlePicture\":[],\"TitleCN\":null,\"AbstractTextCN\":null,\"PMCID\":null,\"EPubDate\":\"\",\"PubModel\":\"\",\"JCR\":\"Q2\",\"JCRName\":\"BIOCHEMICAL RESEARCH METHODS\",\"Score\":null,\"Total\":0}","platform":"Semanticscholar","paperid":null,"PeriodicalName":"BMC Bioinformatics","FirstCategoryId":"99","ListUrlMain":"https://doi.org/10.1186/s12859-025-06174-5","RegionNum":3,"RegionCategory":"生物学","ArticlePicture":[],"TitleCN":null,"AbstractTextCN":null,"PMCID":null,"EPubDate":"","PubModel":"","JCR":"Q2","JCRName":"BIOCHEMICAL RESEARCH METHODS","Score":null,"Total":0}
引用次数: 0

摘要

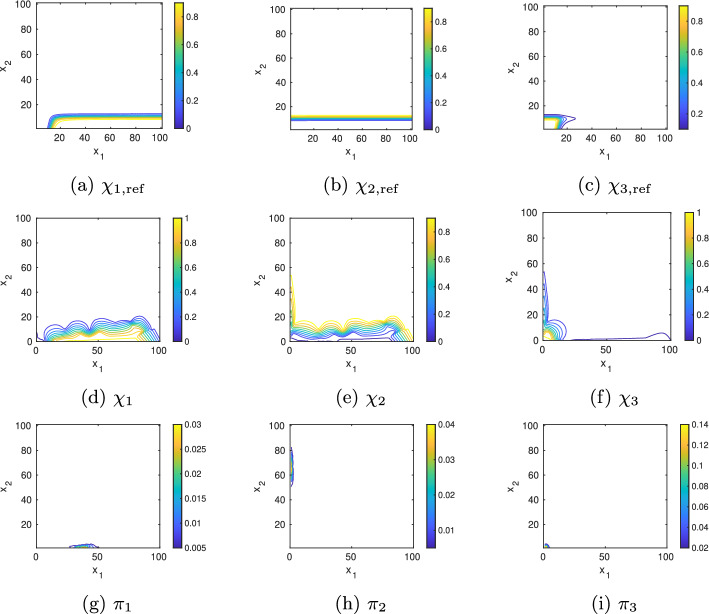
背景:许多基因调控网络(grn)的动力学特征是亚稳态表型和随机表型开关的发生。化学主方程(CME)是模拟这种随机动力学的最准确描述,其中系统的长期动力学被编码在CME算子的光谱特性中。马尔可夫状态模型(msm)为分析和可视化基于这些谱性质的随机多稳定性和状态转移提供了一个通用框架。然而,到目前为止,这种方法要么仅限于低维系统,要么需要使用高性能计算设施,从而限制了它的可用性。结果:我们提出了一种域分解方法(DDA),该方法通过离散状态空间上的随机速率矩阵逼近CME,并将多稳定动力学投影到低维MSM上。为了近似CME,我们通过Voronoi细分分解状态空间,并使用自适应采样策略估计跃迁概率。我们使用稳健的Perron聚类分析(PCCA+)来构建最终的MSM。纳入了不确定度量化的措施。作为概念验证,我们在单个PC上运行该算法,并将其应用于两个GRN模型,一个用于遗传拨动开关,另一个用于描述巨噬细胞极化。通过将结果与参考溶液进行比较,我们证明我们的方法正确地识别了亚稳态表型的数量和位置,具有足够的准确性和不确定性界限。我们表明,准确性主要取决于Voronoi细胞的总数,而不确定性由采样点的数量决定。结论:DDA能有效地计算出定量不确定度的均方根误差。由于该算法是可并行化的,它可以应用于更大的系统,这将不可避免地导致对细胞调节动力学的新见解。
本文章由计算机程序翻译,如有差异,请以英文原文为准。

Efficient construction of Markov state models for stochastic gene regulatory networks by domain decomposition.

Efficient construction of Markov state models for stochastic gene regulatory networks by domain decomposition.

Efficient construction of Markov state models for stochastic gene regulatory networks by domain decomposition.

Efficient construction of Markov state models for stochastic gene regulatory networks by domain decomposition.

Background: The dynamics of many gene regulatory networks (GRNs) is characterized by the occurrence of metastable phenotypes and stochastic phenotype switches. The chemical master equation (CME) is the most accurate description to model such stochastic dynamics, whereby the long-time dynamics of the system is encoded in the spectral properties of the CME operator. Markov State Models (MSMs) provide a general framework for analyzing and visualizing stochastic multistability and state transitions based on these spectral properties. Until now, however, this approach is either limited to low-dimensional systems or requires the use of high-performance computing facilities, thus limiting its usability.

Results: We present a domain decomposition approach (DDA) that approximates the CME by a stochastic rate matrix on a discretized state space and projects the multistable dynamics to a lower dimensional MSM. To approximate the CME, we decompose the state space via a Voronoi tessellation and estimate transition probabilities by using adaptive sampling strategies. We apply the robust Perron cluster analysis (PCCA+) to construct the final MSM. Measures for uncertainty quantification are incorporated. As a proof of concept, we run the algorithm on a single PC and apply it to two GRN models, one for the genetic toggle switch and one describing macrophage polarization. By comparing the results with reference solutions, we demonstrate that our approach correctly identifies the number and location of metastable phenotypes with adequate accuracy and uncertainty bounds. We show that accuracy mainly depends on the total number of Voronoi cells, whereas uncertainty is determined by the number of sampling points.

Conclusions: A DDA enables the efficient computation of MSMs with quantified uncertainty. Since the algorithm is trivially parallelizable, it can be applied to larger systems, which will inevitably lead to new insights into cell-regulatory dynamics.

求助全文
通过发布文献求助,成功后即可免费获取论文全文。 去求助
来源期刊
BMC Bioinformatics
BMC Bioinformatics 生物-生化研究方法
CiteScore
5.70
自引率
3.30%
发文量
506
审稿时长
4.3 months
期刊介绍: BMC Bioinformatics is an open access, peer-reviewed journal that considers articles on all aspects of the development, testing and novel application of computational and statistical methods for the modeling and analysis of all kinds of biological data, as well as other areas of computational biology. BMC Bioinformatics is part of the BMC series which publishes subject-specific journals focused on the needs of individual research communities across all areas of biology and medicine. We offer an efficient, fair and friendly peer review service, and are committed to publishing all sound science, provided that there is some advance in knowledge presented by the work.
×
引用
GB/T 7714-2015
复制
MLA
复制
APA
复制
导出至
BibTeX EndNote RefMan NoteFirst NoteExpress
×
提示
您的信息不完整,为了账户安全,请先补充。
现在去补充
×
提示
您因"违规操作"
具体请查看互助需知
我知道了
×
提示
确定
请完成安全验证×
copy
已复制链接
快去分享给好友吧!
我知道了
右上角分享
点击右上角分享
0
联系我们:info@booksci.cn Book学术提供免费学术资源搜索服务,方便国内外学者检索中英文文献。致力于提供最便捷和优质的服务体验。 Copyright © 2023 布克学术 All rights reserved.
京ICP备2023020795号-1
ghs 京公网安备 11010802042870号
Book学术文献互助
Book学术文献互助群
群 号:604180095
Book学术官方微信